Методика поверки «Датчики силоизмерительные НЕТ 038» (СДАИ.404179.008 МП)
УТВЕРЖДАЮ
Руководитель ГЦИ СИ ФГУ
-/7
«32 ГНИИИ Минобороны России» FT? ''
В.В. Швыдун
W
2011 г.
'$4
■
Инструкция
Датчики силоизмерительные НЕТ 038 (СДАИ.404179.008)Методика поверки
СДАИ.404179.008 МП
г. Мытищи 2011 г.
1 ВВЕДЕНИЕ
-
1.1 Настоящая методика поверки распространяется на датчики силоизмерительные НЕТ 038 (СДАИ.404179.008) (далее - датчики), и устанавливает методы и средства их первичной поверки.
-
1.2 Датчики подлежат первичной поверке при выпуске из производства.
2 ОПЕРАЦИИ ПОВЕРКИ
-
2.1 При поверке выполняют операции, представленные в таблице 1.
Таблица 1 - Операции поверки
|
Наименование операции |
Номер пункта методики по поверке |
Проведение операции при |
|
первичной поверке | ||
|
Внешний осмотр |
7.1 |
да |
|
Опробование |
7.2 |
да |
|
Определение электрического сопротивления изоляции в нормальных климатических условиях (НКУ) |
7.3 |
да |
|
Определение входного и выходного сопротивлений |
7.4 |
да |
|
Определение приведенного начального выходного сигнала |
7.5 |
да |
|
Определение выходного сигнала и градуировочной характеристики |
7.6 |
да |
|
Определение погрешности измерений |
7.7 |
да |
-
2.2 При получении отрицательного результата при проведении любой операции поверка прекращается.
-
3.1 При проведении поверки рекомендуется применять средства поверки, указанные в таблице 2.
Таблица 2
|
Номера пункта методики поверки |
Наименование и тип (условное обозначение) основного или вспомогательного средства поверки; обозначение нормативного документа, регламентирующего технические требования, и (или) метрологические и основные технические характеристики средства поверки |
|
7.3 |
Тераомметр Е6-13А (диапазон измеряемых сопротивлений от 106 до 1014 Ом, пределы допускаемой основной погрешности измерений сопротивления ±(2,5-10)%) |
|
7.4 |
Прибор комбинированный цифровой Щ300 (диапазон измеряемого напряжения от 0,1 мкВ до 1 кВ, класс точности (0,05/0,02 - 0,2/0,1)) |
|
7.5 |
Прибор комбинированный цифровой Щ300 |
|
Источник питания постоянного тока Б5-49 (диапазон задаваемых напряжений от 0,01 до 99,9 В, пределы допускаемой погрешности измерений ± 0,5 %) | |
|
7.6 |
Прибор комбинированный цифровой ЩЗОО |
|
Источник питания постоянного тока Б5-49 | |
|
Приспособление для градуировки датчиков силы Г 007 СДАИ.441543.002 методом прямого нагружения при помощи набора грузов КГО-2-20 |
-
3.2 Все средства поверки должны быть исправны, применяемые при поверке средства измерений и рабочие эталоны должны быть поверены и иметь свидетельства о поверке с неистекшим сроком действия на время проведения поверки или в документации.
-
3.3 Допускается замена средств поверки, указанных в таблице 2, другими средствами поверки с равным или более высоким классом точности.
-
4.1 При проведении поверки необходимо соблюдать общие требования безопасности по ГОСТ 12.3.019-80 и требования на конкретное поверочное оборудование.
-
5.1 При проведении поверки должны соблюдаться следующие условия, если не оговорено иное:
-
- температура окружающего воздуха от 15 до 35 °C;
-
- относительная влажность воздуха от 45 до 75 %;
-
- атмосферное давление от 8,6-104 до 10,6-104 Па (от 645 до 795 мм рт. ст.).
Примечание - При температуре воздуха выше 30 °C относительная влажность воздуха не должна превышать 70 %.
6 ПОДГОТОВКА К ПОВЕРКЕ-
6.1 Перед проведением поверки испытательные установки, стенды, аппаратура и электроизмерительные приборы, должны иметь формуляры (паспорта) и соответствовать стандартам или техническим условиям на них.
-
6.2 Не допускается применять средства поверки, срок обязательных поверок, которых истек.
-
6.3 Предварительный прогрев контрольно-измерительных приборов должен соответствовать требованиям технических описаний и инструкций по эксплуатации на них.
-
6.4 Контрольно-измерительные приборы должны быть надежно заземлены с целью исключения влияния электрических полей на результаты измерений.
-
6.5 Все операции по поверке, если нет особых указаний, проводить после прогрева датчика в течении 10 мин.
-
6.6 В процессе поверки датчика менять средства измерений не рекомендуется.
-
6.7 Порядок проведения испытаний должен соответствовать порядку изложения видов испытаний в таблице 1.
-
7.1.1 При проведении внешнего осмотра проверить:
-
- паяльные швы - должны соответствовать требованиям ОСТ 92-1190-88;
-
- поверхность заливки клеем В К-9 - требованиям ОСТ 92-1006-77;
-
- на поверхности датчика не должно быть вмятин, царапин, забоин и других дефектов. Допускается наличие царапин и вмятин глубиной не более 0,2 мм.
-
7.1.2 Результаты проверки записать в таблицу, выполненную по форме таблицы А.1.
-
7.2.1 Перед установкой датчика на изделие:
вскрыть пломбу и снять защитную крышку с вилки датчика (рисунок Б.1 Приложение А);
-
- навинтить на датчик упор СДАЙ.714511.002 или серьгу СДАЙ.304595.003 (цилиндрический поясок на сфере внутреннего кольца подшипника установить перпендикулярно направлению действующей силы с точностью + 10°);
-
7.2.2 Установить датчик на изделие:
-
- измерить сопротивление изоляции мостовой схемы датчика по методике п. 7.3;
-
- измерить входной и выходной сигнал мостовой схемы датчика по методике п. 7.4;
-
- измерить приведенное значение начального выходного сигнала мостовой схемы датчика по методике п. 7.5.
-
7.2.3 Результаты опробования считать положительными, если сопротивление изоляции мостовой схемы датчика составило не менее 500 МОм, входное и выходное сопротивление находится в пределах (400 ± 12) Ом, приведенное значение начального выходного сигнала находится в пределах от 0 до 0,12 мВ/В.
-
7.3.1 Определение электрического сопротивления изоляции в НКУ проводить тераомметром Е6-13А с испытательным напряжением (100 ± 10) В, путем измерения сопротивления между корпусом датчика и каждым из контактов 1-4 вилки РСГ10ТВ.
-
7.3.2 Результаты измерений записать в таблицу, выполненную по форме таблицы А.1.
-
7.3.3 Результаты считать положительными, если электрическое сопротивление изоляции в НКУ не менее 500 МОм.
-
7.4.1 Определение входного и выходного сопротивлений мостовой схемы датчика проводить прибором комбинированным цифровым Щ300:
-
- входное сопротивление измерять между контактами 2-4 вилки;
-
- выходное сопротивление измерять между контактами 1 - 3 вилки.
-
7.4.2 Результаты измерений записать в таблицу, выполненную по форме таблицы А.1.
-
7.4.3 Результаты считать положительными, если входное и выходное сопротивление мостовой схемы находится в пределах (400 ±12) Ом.
-
7.5.1 Собрать схему в соответствии с рисунком 1.

Рисунок 1 - Схема для определения выходного сигнала датчика
-
7.5.2 Установить на источнике питания постоянного тока Б5-49 напряжение Unum = (6 ± 0,3) В, измерить его значение прибором Щ300 с точностью до 0,001 В.
-
7.5.3 Подать на датчик напряжение питания и измерить начальный выходной сигнал Uo с точностью до 0,001 мВ.
-
7.5.4 Определить приведенный начальный выходной сигнал Vo по формуле (1):
U
пит.
где Ао - начальный сигнал, мВ;
- напряжение питания, при котором определялся начальный сигнал, В.
-
7.5.5 Результат записать в таблицу, выполненную по форме таблицы А.1.
-
7.5.6 Результаты считать положительными, если значение приведенного начального выходного сигнала датчика находится в пределах от 0 до 0,12 мВ/В.
-
7.6.1 Установить датчик на приспособление для градуировки датчиков силы Г 007 (СДАИ.441543.002) методом прямого нагружения при помощи набора грузов КГО-2-20 согласно рисунка 2.
-
7.6.2 Собрать схему в соответствии с рисунком 1.
Датчик НЕТ 038-01
Рисунок 2 - Установка датчика при приложении силы сжатия
-
7.6.3 Подать на датчик напряжение питания (6 ± 0,3) В и через 10 минут измерить его значение Uo с точностью до 0,001 В.
Результат записать в таблицу, выполненную по форме таблицы А2.
-
7.6.4 Приложить к датчику силу сжатия Рном-
Проверить при нагружении изменение потенциала выходного сигнала мостовой схемы датчика. Увеличение выходного сигнала в положительную сторону соответствует правильной полярности.
-
7.6.5 Нагрузку с датчика снять.
-
7.6.6 Замерить начальный выходной сигнал датчика с точностью до 0,001 мВ. Результат записать в таблицу, выполненную по форме таблицы А2.
-
7.6.7 Последовательно приложить к датчику силу сжатия 0,1Рном,; 0,2Рном; 0,ЗРном; 0,4Рном; 0,5Рном; 0,6Рном; 0,7Рном; 0,8Рном; 0,9Рном; Рном (прямой ход); 0,9Рном,; 0,8Рном; 0,7Рном; 0,6Рном; 0,5Рном; 0,4Рном; 0,ЗРном; 0,2Рном; 0,1 Рном ; Рном (обратный ход). При каждом значении силы измерять выходные сигналы и Y^j с точностью до 0,001 мВ.
Значения выходных сигналов записать в таблицу, выполненную по форме таблицы А.2.
-
7.6.8 Нагрузку снять. Замерить начальный выходной сигнал с точностью до 0,001 мВ.
Значение начального выходного сигнала записать в таблицу, выполненную по форме таблицы А.2.
-
7.6.9 Операции по п.п. 7.6.6 - 7.6.8 провести дополнительно 3 раза, при этом, каждый раз поворачивая датчик вокруг его оси относительно первоначального положения на 90°, 180°, 270°.
-
7.6.10 Замерить напряжение питания Uoi с точностью до 0,001 В.
Результат записать в таблицу, выполненную по форме таблицы А2.
-
7.6.11 Отключить напряжение питания, схему испытаний разобрать.
-
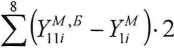
7.6.12 Определить приведенное значение выходного сигнала от номинальной силы сжатия по формуле (2):

И = у-------V— , (2)
где Y^,B - значения выходного сигнала, соответствующие Рном, при прямом (М) и обратном (Б) ходе градуирования, мВ;
Y^ - значение начального выходного сигнала при прямом ходе градуирования, мВ;
Uo - значение напряжения питания датчика до снятия градуировочной характеристики, В;
Uoi - значение напряжения питания датчика после снятия градуировочной характеристики, В;
z - общее число циклов нагружения и разгружения (z = 8).
Приведенное значение выходного сигнала датчика от номинальной силы РНОм без учета знака должно быть: (1,65 ± 0,3) мВ/B для датчика НЕТ 038-01 и (1,3 ± 0,2) мВ/B для датчика НЕТ 038.
Приведенное значение выходного сигнала датчика от номинальной силы Рном записать в таблицу, выполненную по форме таблицы А.2.
-
7.6.13 Установить датчик на приспособление Г007 согласно рисунка 3.
Датчик НЕТ 038-01
Рисунок 3 - Установка датчика при приложении силы растяжения
-
7.6.14 Провести операции по п.п. 7.6.2, 7.6.3, 7.6.6 - 7.6.12, приложив к датчику силу растяжения.
Результаты измерений записать в таблицу, выполненную по форме таблицы А.З.
-
7.6.15 Определить приведенное значение выходного сигнала от номинальной силы растяжения по формуле (2).
Приведенное значение выходного сигнала датчика от номинальной силы Рном без учета знака должно быть: (1,65 ± 0,3) мВ/B для датчика НЕТ 038-01 и (1,3 ± 0,2) мВ/B для датчика НЕТ 038.
Приведенное значение выходного сигнала датчика от номинальной силы Рном записать в таблицу, выполненную по форме таблицы А.З.
7.7 Определение погрешности измерений-
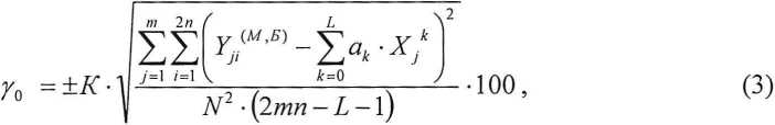
7.7.1 Величину погрешности датчика у о определить по градуировочным характеристикам согласно ОСТ 92-4279 (при доверительной вероятности 0,90) по формуле (3). Расчет проводить на ЭВМ, используя программу обсчета метрологических характеристик 783.00207:

где К - коэффициент, зависящий от заданной вероятности оценки и закона распределения погрешности, К=1,6;
N - нормирующее значение выходного сигнала;
- выходной сигнал датчика при прямом (М) и обратном ходе (Б) градуирования;
- коэффициенты функции преобразования;
Xj - входной сигнал;
j=l,2...,m - индекс значения входного (выходного) сигнала в диапазоне измерений при градуировании, m =11;
i= l,2,..,n - порядковый номер повторения опыта, п = 4;
k=0,l,2,...L - показатель степени входного сигнала и индекс соответствующего коэффициента в полиноме, выражающем функцию преобразования, L=l.
-
7.7.2 Значение погрешности записать в таблицу, выполненную по форме таблицы А.1.
-
7.7.3 Результаты считать положительными, если значение допускаемой погрешности измерений для датчика НЕТ 038 находится в пределах ± 0,2 % и ± 0,1 % для датчика НЕТ 038-01.
-
8.1 При положительных результатах поверки датчиков выдается свидетельство установленной формы.
-
8.2 На оборотной стороне свидетельства о поверке записываются результаты поверки.
-
8.3 Параметры, определенные при поверке, заносят в формуляр на датчик.
-
8.4 В случае отрицательных результатов поверки, поверяемый датчик к дальнейшему применению не допускается. На него выдается извещение о непригодности к дальнейшей эксплуатации с указанием причин, а в формуляре делаются соответствующие записи.
С.В. Маринко
Начальник отдела
ГЦИ СИ ФГУ «32 ГНИИИ Минобороны России»
Приложение А
(рекомендуемое)
Формы таблиц для результатов поверки датчиков
|
Заводской номер датчика |
Внешний вид |
Электрическое сопротивление изоляции, МОм |
Входное сопротивление, Ом |
Выходное сопротивление, Ом |
Приведенный начальный выходной сигнал, Vo, мВ/В |
Основная погрешность, % | |
|
при приложении силы сжатия |
при приложении силы растяжения | ||||||
|
Заводской номер датчика |
Точка нагружен ИЯ, j |
Входной сигнал |
Выходной сигнал от силы сжатия, мВ | |||||||
|
1 цикл |
2 цикл |
3 цикл |
4 цикл | |||||||
|
Прямой ход |
Обратный ход |
Прямой ход |
Обратный ход |
Прямой ход |
Обратный ход |
Прямой ход |
Обратный ход | |||
|
1 |
0 | |||||||||
|
2 |
ОД Вном | |||||||||
|
3 |
0,2 Рном | |||||||||
|
4 |
0,3 Рном | |||||||||
|
5 |
0,4 Рном | |||||||||
|
6 |
0,5 Рном | |||||||||
|
7 |
0,6 Рном | |||||||||
|
8 |
0,7 Рном | |||||||||
|
9 |
0,8 Рном | |||||||||
|
10 |
0,9 Рном | |||||||||
|
И |
Р ном | |||||||||
|
U0,B | ||||||||||
|
Uoi,B | ||||||||||
|
V, мВ/B | ||||||||||
|
Заводской номер датчика |
Точка нагружен ия, j |
Входной сигнал |
Выходной сигнал от силы растяжения, мВ | |||||||
|
1 цикл |
2 цикл |
3 цикл |
4 цикл | |||||||
|
Прямой ход |
Обратный ход |
Прямой ход |
Обратный ход |
Прямой ход |
Обратный ход |
Прямой ход |
Обратный ход | |||
|
1 |
0 | |||||||||
|
2 |
0,1 Рном | |||||||||
|
3 |
0,2 Рном | |||||||||
|
4 |
0,3 Рном | |||||||||
|
5 |
0,4 Рном | |||||||||
|
6 |
0,5 Рном | |||||||||
|
7 |
0,6 Рном | |||||||||
|
8 |
0,7 Рном | |||||||||
|
9 |
0,8 Рном | |||||||||
|
10 |
0,9 Рном | |||||||||
|
11 |
Р ном | |||||||||
|
и0,в | ||||||||||
|
и01,в | ||||||||||
|
V мВ/В | ||||||||||

Рисунок Б.1 - Схема пломбировки датчика НЕТ 038
