Методика поверки «Системы измерения дебита скважин "СИДС.С"» (МП 0963-9-2019)
ФЕДЕРАЛЬНОЕ АГЕНТСТВО ПО ТЕХНИЧЕСКОМУ РЕГУЛИРОВАНИЮ И МЕТРОЛОГИИ Федеральное государственное унитарное предприятие «Всероссийский научно-исследовательский институт расходометрии»
Государственный научный метрологический центр
ФГУП «ВНИИР»

ИНСТРУКЦИЯ
Государственная система обеспечения единства измерений.
Системы измерения дебита скважин «СИДС.С».
Методика поверки
МП 0963-9-2019
Начальн:
0-9
_______// К.А. Левин
Тел. от#ЛаТ+7 (843) 272-41-60
г. Казань
2019
РАЗРАБОТАНА
ФГУП «ВНИИР»
ИСПОЛНИТЕЛИ
УТВЕРЖДЕНА
Тонконог М.И.
ФГУП «ВНИИР»
Настоящая инструкция распространяется на системы измерения дебита скважин «СИДС.С» (далее по тексту - системы), предназначенные для измерений массы и массового расхода скважинной жидкости в составе нефтегазоводяной смеси, массы и массового расхода скважинной жидкости за вычетом массы воды в составе нефтегазоводяной смеси, объема и объемного расхода свободного попутного нефтяного газа, приведенного к стандартным условиям, в составе нефтегазоводяной смеси, после предварительного сепарирования, а также отображения, архивирования и передачи результатов измерений и аварийных сигналов на диспетчерский пункт нефтяного промысла.
Поверку систем проводят в диапазоне измерений, указанном в описании типа, или фактически обеспечивающимся при поверке диапазоне измерений с обязательным указанием в свидетельстве о поверке информации об объеме проведения поверки.
Если очередной срок поверки средств измерений из состава систем наступает до очередного срока поверки систем, поверяется только это средство измерений, при этом поверку систем не проводят.
Системы применяются в качестве составной части измерительных установок-реципиентов (далее по тексту - ИУ-реципиенты).
Интервал между поверками - четыре года.
1. Операции поверкиПри проведении поверки выполняют операции, приведенные в таблице 1.
Таблица! - Операции поверки
|
Наименование операции |
Номер пункта документа по поверке |
Проведение операции при | |
|
первичной поверке |
периодической поверке | ||
|
Проверка комплектности технической документации |
6.1 |
Да |
Да |
|
Внешний осмотр |
6.2 |
Да |
Да |
|
Проверка идентификационных данных программного обеспечения (ПО) |
6.3 |
Да |
Да |
|
Опробование |
6.4 |
Да |
Да |
|
Определение метрологических характеристик |
6.5 |
Да |
Да |
-
2.1. Первичную и периодическую поверку проводят с использованием Государственного первичного специального эталона массового расхода газожидкостных смесей ТЭТ 195-2011 или эталонов 1-го и 2-го разряда по ГОСТ 8.637-2013 «ГСП. Государственная поверочная схема для средств измерений массового расхода многофазных потоков» (далее по тексту -эталоны).
-
2.2. Если специфика эксплуатации систем или ИУ-реципиента, либо отсутствие передвижных эталонов по ГОСТ 8.637 не допускают возможности проведения первичной или периодической поверок систем проливным способом, то допускается проводить поверку поэлементным способом согласно п. 6.5.3.
-
2.3. При проведении поверки систем поэлементным способом используются средства поверки, указанные в методиках поверки средств измерений (далее по тексту - СИ), входящих в состав систем.
-
2.4. Для различных модификаций систем допускается проводить поверку в меньшем диапазоне расхода нефтегазовой смеси согласно паспортам на систему и на ИУ-реципиента.
-
2.5. Допускается поверка в рабочих диапазонах расхода нефтегазоводяной смеси или в диапазоне расхода газожидкостной смеси, фактически обеспечивающимся применяемым эталоном.
-
3.1. При проведении поверки соблюдают требования безопасности, определяемые:
-
- в области охраны труда - Трудовой кодекс РФ;
-
- в области промышленной безопасности - ФНиП в области промышленной безопасности «Правила безопасности в нефтяной и газовой промышленности», Руководство по безопасности «Рекомендации по устройству и безопасной эксплуатации технологических трубопроводов», а также другими действующими отраслевыми документами;
-
- в области пожарной безопасности - «Правила противопожарного режима в РФ» (утверждены постановление Правительства РФ от 25 апреля 2012 № 390) а также другими действующими отраслевыми документами;
-
- в области соблюдения правильной и безопасной эксплуатации электроустановок - ПОТ Р М-016-2001 РД 153-34.0-03.150-2000 с изменениями 2003 г. «Межотраслевые правила по охране труда (правила безопасности) при эксплуатации электроустановок», «Правила технической эксплуатации электроустановок потребителей», VI-ое издание, 2003 г.;
-
- в области охраны окружающей среды - Федеральный закон «Об охране окружающей среды» № 7-ФЗ от 10.01.2002 г. (в ред. от 13.07.2015) и другими действующими законодательными актами на территории РФ;
-
- правилами безопасности при эксплуатации используемых средств измерений (далее по тексту - СИ), приведенными в их эксплуатационной документации.
-
3.2. Требования к квалификации поверителей:
-
- поверку осуществляют аккредитованные в соответствии с законодательством Российской Федерации об аккредитации в национальной системе аккредитации на проведение поверки СИ юридические лица и индивидуальные предприниматели;
-
- поверку систем должен выполнять поверитель, изучивший эксплуатационную документацию систем, а также технологическую схему и принцип работы систем;
-
- поверитель, выполняющий работы по проверке защиты программного обеспечения, должен пройти обучение по методам проверки защиты программного обеспечения СИ в соответствии с приказом Росстандарта № 2938 от 17 июня 2011 г.
-
4.1. При проливной поверке систем с использованием эталонов по ГОСТ 8.637 соблюдаются условия:
-
- температура воздуха в помещении, °C от +15 до +30
-
- относительная влажность, % от 30 до 80
-
- атмосферное давление, кПа от 84 до 106,7
-
4.2. При проведении поверки систем с использованием эталонов по ГОСТ 8.637 соблюдают условия, указанные в правилах хранения и применения эталонов.
-
4.3. Также при проведении поверки соблюдают условия, указанные в разделах «Условия поверки» в методиках поверки соответствующих СИ, входящих в состав систем.
При подготовке к поверке проводят работы в соответствии с эксплуатационными документами систем и методиками поверки СИ, входящих в состав систем.
6. Проведение поверки-
6.1. Проводят идентификацию ПО систем. ПО должно иметь идентификационные признаки, соответствующие указанным в таблице 2.
Таблица2 - Идентификационные данные ПО систем:
|
Идентификационные данные (признаки) |
Значение |
|
Идентификационное наименование ПО |
FM.S-GR8.615 |
Продолжение таблицы 2
|
Идентификационные данные (признаки) |
Значение |
|
Номер версии (идентификационный номер) ПО |
1.2.1.XX.YYYY.ZZ.ZZZZ.VV (*) |
|
Цифровой идентификатор ПО |
435520027AFABCB0 |
|
Алгоритм ассиметричной криптографии |
OpenPGP/RSA2048 |
|
Примечание: (*) символы X. Y , Z, V представляют собой номер подверсии метрологически незначимой части ПО из 14 шестнадцатеричных цифр, может быть любым. | |
Для того, чтобы проверить идентификационные данные ПО необходимо сверить с таблицей 2 значения, представленные в окне «Об ИВК» терминальной панели оператора, предназначенной для отображения данных СОИ.
Описание способа проверки подлинности и целостности файлов ПО указано в документе 42808331.425270.010. РО «Шкаф управления Автоматической групповой замерной установкой. Руководство оператора».
-
6.2. Если идентификационные данные ПО не соответствуют указанным в таблице 2, результаты поверки считают отрицательными.
-
6.3. Внешний осмотр
При внешнем осмотре должно быть установлено соответствие системы следующим требованиям:
- комплектность систем должна соответствовать эксплуатационной документации; на компонентах систем не должно быть механических повреждений и дефектов покрытия, препятствующих их применению по назначению;
надписи и обозначения на компонентах систем должны быть четкими и соответствовать эксплуатационной документации.
-
6.4. Опробование
-
6.4.1. Опробование при поверке с использованием эталонов по ГОСТ 8.637 с применением имитатора нефтегазоводяной смеси проводят тестовыми испытаниями в составе ИУ-реципиента.
-
6.4.2. Опробование при поверке поэлементным способом проводят тестовыми испытаниями в соответствии с методиками поверки на СИ, входящих в состав систем.
-
6.4.3. Проверяют действие и взаимодействие компонентов системы в соответствии с эксплуатационн ыми документами.
-
-
6.5. Определение метрологических характеристик проводят проливным способом с использованием эталонов по ГОСТ 8.637 (п.6.5.1) или поэлементным способом (п.6.5.3).
-
6.5.1. Определение метрологических характеристик системы в составе ИУ-реципиента при первичной или периодической поверке проливным способом с использованием эталонов по ГОСТ 8.637.
-
6.5.2. Определение относительной погрешности системы в составе ИУ-реципиента при измерении массового расхода скважинной жидкости в составе нефтегазоводяной смеси, массового расхода скважинной жидкости за вычетом массы воды в составе нефтегазоводяной смеси, объемного расхода попутного свободного нефтяного газа, приведенного к стандартным условиям, в составе нефтегазоводяной смеси проводится с использованием эталонов по ГОСТ 8.637.
-
6.5.2.1. Для поверки систем в составе ИУ-реципиента подключается к эталону, и на эталоне создается газожидкостный поток с параметрами, соответствующими таблице 3. В каждой i-й точке проводят не менее трех измерений.
-
-
ТаблицаЗ- Параметры газожидкостного потока при поверке.
|
№ |
Расход жидкости, Q,, т/ч |
Объемная доля воды в жидкой фазе, WLR, % об.доли |
Объемный расход газа, приведенный к стандартным условиям, Qg > м’/ч |
|
1 |
(0.01 -0,35)07 |
от 0 до 35 |
(0,0 -0,35) 07 |
|
2 |
от 35 до 70 |
(0,35 -0,7) 07 | |
|
3 |
от 70 до 100 |
(0,7 -1,0) 07 | |
|
4 |
(0,35 -О,7)-07 |
от 0 до 35 |
(0,0 -0,35) 07 |
|
5 |
от 35 до 70 |
(0,35 -0,7) 07 | |
|
6 |
от 70 до 100 |
(0,7 -1,0) 07 | |
|
7 |
(0,7 -1,о)ег |
от 0 до 35 |
(0,0 -О,35)-07 |
|
8 |
от 35 до 70 |
(0,35 -0,7) 07 | |
|
9 |
от 70 до 100 |
(0,7 -1,0) 07 |
рих - максимальный расход жидкости, воспроизводимый эталоном или максимальный расход, измеряемый системой согласно описанию типа и эксплуатационной документации системы и ИУ-реципиента, т/ч
>тах _ максимальный расход газа, приведенный к стандартным условиям, воспроизводимый эталоном или максимальный расход, измеряемый системой согласно описанию типа и эксплуатационной документации системы и ИУ-репипиента, м-7ч
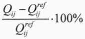
При каждом i-м измерении в j-й точке расхода относительная погрешность определяется по формуле


(1)
где 6Q - относительная погрешность системы при измерении расхода;
Q - показания или значения выходного сигнала системы при i-м измерении в j-й точке расхода, т/ч
Qr' - показания или значения выходного сигнала эталона при i-м измерении в j-й точке расхода, т/ч
Результаты поверки считаются удовлетворительными, если ни одно из значений относительной погрешности не превышает:
|
Пределы допускаемой относительной погрешности измерений массы и массового расхода скважинной жидкости в составе нефтегазоводяной смеси, % |
±2,5 |
|
Пределы допускаемой относительной погрешности измерений массы и массового расхода скважинной жидкости за вычетом массы воды в составе нефтегазоводяной смеси, %: до 70% (объемная доля воды) от 70 до 95 % (объемная доля воды) от 95 % (объемная доля воды) |
±6 ±15 не нормируется |
|
Пределы допускаемой относительной погрешности измерений объема и объемного расхода свободного попутного нефтяного газа, приведенного к стандартным условиям, в составе нефтегазоводяной смеси % |
±5,0 |
|
Лримечание: Погрешности указаны для нормальных условий испытаний на эталонах, аттестованных в | |
установленном порядке.
-
6.5.2.2. Если условие не выполняется хотя бы для одного измерения соответствующей величины, то проводят дополнительное измерение и повторно определяют относительную погрешность измерения соответствующей величины. Если это условие продолжает не выполняться, го ловерку прекращают до выявления и устранения причин невыполнения данного условия. После устранения причин заново проводят серию из не менее трех измерений соответствующей величины, и определяют относительную погрешность ее измерения. В случае если условие повторно не выполняется, результаты поверки считают отрицательными.
-
6.5.3. Определение метрологических характеристик систем при первичной или периодической поверке поэлементным способом.
-
6.5.3.1. Определение метрологических характеристик СИ, входящих в состав систем, проводят в соответствии с методиками поверки, приведенными в описании типа на СИ.
-
Таблица4 - СИ и методики их поверки
|
Наименование средства измерений |
Методика поверки |
|
Средства измерений массы и массового расхода: | |
|
Счетчики-расходомеры массовые Micro Motion |
МП 208-014-2018 «ГСИ. Счетчики-расходомеры массовые Micro Motion. Методика поверки», утверждено ФГУП «ВНИИМС» 12 апреля 2018г. |
|
Расходомеры массовые Promass (мод. Promass 300, Promass 500) |
МП 208-020-2017 "ГСИ. Расходомеры массовые Promass (модификации Promass 300, Promass 500). Методика поверки", утверждено ФГУП "ВНИИМС" 07.07.2017г. |
|
Расходомеры-счетчики массовые кориолисовые Rotamass мод. RC |
МП 208-008-2019 «ГСИ. Расходомеры-счетчики массовые кориолисовые ROTAMASS модели RC. Методика поверки», утверждено ФГУП «ВНИМС» 26.03.2019 г. |
|
Расходомеры-счетчики массовые OPTIMASS х400 |
МП РТ 1902-2013 «ГСИ. Расходомеры-счётчики массовые OPTIMASS. Методика поверки», утверждено ГЦИ СИ ФБУ «Ростест-Москва» 12 апреля 2013 г. |
|
Счетчики-расходомеры массовые ЭМИС-МАСС 260 |
ЭМ-260.000.000.000.01 МП «Инструкция. ГСИ. Счетчик-расходомер массовый «ЭМИС-МАСС 260». Методика поверки», утверждено ГЦИ СИ ЗАО КИП «МЦЭ» 20 октября 2014 г. |
|
Счетчики-расходомеры массовые СКАТ |
МП 0249-1-2015 «Инструкция. ГСИ. Счетчики-расходомеры массовые СКАТ. Методика поверки», утверждено ФГУП «ВНИИР» 31.03.2015г.; МИ 3272-2010 «Счетчики-расходомеры массовые. Методика поверки на месте эксплуатации компакт-прувером в комплекте с турбинным преобразователем расхода и поточным преобразователем плотности»; |
|
МИ 3151-2008 «Рекомендация. ГСИ. Преобразователи массового расхода. Методика поверки на месте эксплуатации трубопоршневой поверочной установкой в комплекте с поточным преобразователем плотности». | |
|
Счетчики-расходомеры массовые ЭЛМЕТРО-Фломак |
3124.0000.00-01 МП «Счетчики-расходомеры массовые ЭЛМЕТРО-Фломак. Методика поверки», утверждено ФГУП «ВНИИМС» 28 июня 2016 г. |
|
Счетчики-расходомеры массовые Штрай-Масс |
МП 208-004-2018 «Инструкция. ГСИ. Счетчики-расходомеры массовые Штрай-Масс. Методика поверки», утверждено ФГУП «ВНИИМС» 06.02.2018; МИ 3272-2010 «ГСИ. Счетчики-расходомеры массовые. Методика поверки на месте эксплуатации компакт прувером в комплекте с турбинным преобразователем расхода и поточным преобразователем плотности»; МИ 3151-2008 «ГСИ. Счетчики-расходомеры массовые. Методика поверки на месте эксплуатации трубопоршневой поверочной установкой, в комплекте с поточным преобразователем плотности». |
|
Счетчики-расходомеры массовые МИР |
МП 0580-1-2017 «Инструкция. ГСИ. Счетчики-расходомеры массовые МИР. Методика поверки», утверждено ФГУП «ВНИИР» 15.03.2017 г. |
|
Счетчики-расходомеры массовые СКАТ-С |
МП 0931-1-2019 «Инструкция ГСИ. Счетчики-расходомеры массовые СКАТ-С. Методика поверки», утверждено ФГУП «ВНИИР» 10.03.2019 г. |
|
Расходомеры массовые кориолисовые ГКС FC410, ГКС FC430 |
РТ-МП-2445-449-2015 «ГСИ. Расходомеры массовые кориолисовые ГКС FC410, ГКС FC430. Методика поверки», утверждено ФБУ «Ростест-Москва» 31.08.2015 г. |
|
Средства измерении объема и объемного расхода газа: | |
|
Счетчики газа вихревые СВГ |
311.00.00.000-03 МИ «ГСИ. Счетчики газа вихревые СВГ. Методика поверки», утверждено ГЦИ СИ ФБУ «Тюменский ЦСМ» в августе 2012г. |
|
Датчики расхода газа ДРГ.М |
311.01.00.000 МИ «Рекомендация. ГСИ. Датчики расхода газа ДРГ.М. Методика поверки» угв. ВНИИМС в июне 2006 г. |
|
1 Счетчики газа ультразвуковые СГУ |
373.00.00.000 МИ «Инструкция. ГСИ. Счётчики газа ультразвуковые СГУ. Методика поверки», утверждено ГЦИ СИ ФБУ «Тюменский ЦСМ» 18 марта 2013 г. |
|
Расходомеры-счетчики ультразвуковые OPTISONIC 7300 |
МП 208-015-2017 «ГСИ. Расходомеры-счётчики ультразвуковые OPTISONIC 7300. Методика поверки», утверждено ФГУП «ВНИИМС» 15.06.2017 г. |
|
Датчики расхода-счетчики ДАЙМЕТИК-1261 |
1261.00.00.000 МП «ГСИ. Датчик расхода-счётчик «ДАЙМЕТИК-1261». Методика поверки», утверждено ФБУ «Тюменский ЦСМ» 26.12.2016 г. |
|
Счетчики расхода газа КТМ600 РУС |
МП 0302-13-2015 «Инструкция. ГСИ. Счётчики газа КТМ600 РУС. Методика поверки», утверждено ФГУП «ВНИИР» 1 июля 2015 г. |
|
Расходомеры-счетчики вихревые ИРВИС-РС4М ■ |
Первичная поверка осуществляется по документу: «Инструкция. ГСИ. Расходомеры-счетчики вихревые ИРВИС-РС4М. Методика |
|
поверки. ИРВС 9100.0000.00 МП5», согласованному ГЦИ СИ ООО «Метрологический центр СТП» в июне 2013 г. Периодическая поверка осуществляется по документу: «Расходомеры-счетчики вихревые ИРВИС-РС4М. Руководство по эксплуатации. ИРВС 9100.0000.00 РЭ5. Раздел 5», согласованному ГЦИ СИ ООО «Метрологический центр СТП» в части «Методика периодической поверки» в июне 2013 г. | |
|
Расходомеры-счетчики ультразвуковые ИРВИС- РС4М-Ультра |
Первичная поверка осуществляется по документу ИРВС 9100.0000.00 МП6 «Инструкция. ГСИ. Расходомеры-счетчики ультразвуковые ИРВИС-РС4М-Ультра. Методика поверки», утвержденному ГЦИ СИ ООО «Метрологический центр СТП» в июне 2014 г. Периодическая поверка осуществляется по документу ИРВС 9100.0000.00 РЭ6 «Расходомеры-счетчики ультразвуковые ИРВИС-РС4М-Ультра. Руководство по эксплуатации. Раздел 5», утвержденному ГЦИ СИ ООО «Метрологический центр СТП» в части «Методика периодической поверки» в июне 2014г. |
|
Расходомеры-счетчики вихревые OPTISWIRL 4200 |
РТ-МП-5494-449-2018 «ГСИ. Расходомеры-счетчики вихревые OPTISWIRL 4200. Методика поверки», утверждено ФБУ «Ростест-Москва» 15 ноября 2018 г. |
|
Расходомеры-счетчики Вега-Соник ВС-12 |
МП 0614-1-2017 «Инструкция. Государственная система обеспечения единства измерений. Расходомеры-счетчики «Вега-Соник ВС-12». Методика поверки», утверждено ФГУП «ВНИИР» 10 июля 2017 г. |
|
Расходомеры вихревые Prowirl 200 |
МП 58533-14 "ГСИ. Расходомеры вихревые Prowirl 200. Методика поверки" с изменением № 1, утверждено ФГУП "ВИИИМС" 30.06.2017 г. |
|
Расходомеры-счетчики вихревые 8800, исп. 8800DW, 8800DF, 8800DR, 8800DD |
МП 64613-16 «Расходомеры-счётчики вихревые 8800. Методика поверки» утверждено ФГУП «ВНИИМС» 14 апреля 2016 года. |
|
Расходомеры вихревые Ирга-РВ |
«ГСИ. Расходомер вихревой «Ирга-РВ» Методика поверки 03.1.01.00.00 МП Часть 1. Проходное исполнение» и «ГСИ. Расходомер вихревой «Ирга-РВ» Методика поверки 03.1.01.00.00 МП Часть 2. Погружное исполнение», утвержденной ГЦИ СИ ОАО «НИИТеплоприбор» 18 ноября 2012 г. |
|
Расходомеры ультразвуковые Ирга-РУ |
МП 2550-0293-2017 «ГСИ. Расходомеры ультразвуковые Ирга-РУ. Методика поверки», утверждено ФГУП «ВНИИМ им. Д.И. Менделеева» 29 августа 2017 г. |
|
Преобразователи расхода вихревые ЭМИС- ВИХРЬ 200 (ЭВ-200) |
ЭВ-200.000.000.000.00 МП «Инструкция. Преобразователи расхода вихревые «ЭМИС-ВИХРЬ 200 (ЭВ-200)», утверждено ГЦИ СИ ЗАО КИП «МЦЭ» 3 июня 2014 г. |
|
Расходомеры-счетчики вихревые ЭРВИП.НТ.М |
МП 0628-1-2017 «Расходомеры-счетчики вихревые ЭРВИП.НТ.М. Методика поверки», утверждено ФГУП «ВНИИР» 4 августа 2017 г. |
|
Средства измерений объема и объемного расхода жидкости: | |
|
Счетчики жидкости турбинные ТОР-Т |
МП 0624-1-2017 «Инструкция. ГСИ. Счетчики жидкости турбинные ТОР-Т. Методика поверки», утверждено ФГУП «ВНИИР» 09 августа 2017 г. |
|
Счетчики жидкости ДЕБИТ-2 |
МП 0921-1-2019 «Инструкция. ГСИ. Счетчики жидкости ДЕБИТ-2. Методика поверки», утверждено ФГУП «ВНИИР» 01.03.2019 г. |
|
Счетчики турбинные ТОР |
Ха1.490.016Д «Инструкция. ГСИ. Счетчики турбинные «ТОР». Методика поверки», утверждено ФГУП «ВНИИР» 24.03.2016 г. |
|
Расходомеры-счетчики вихревые ЭРВИП.НТ.М |
МП 0628-1-2017 «Расходомеры-счетчики вихревые ЭРВИП.НТ.М. Методика поверки», утверждено ФГУП «ВНИИР» 4 августа 2017 г. |
|
Датчики расхода ДРС 1 |
МП 0596-1-2017 «Инструкция. ГСИ. Датчики расхода ДРС. Методика поверки», утверждено ФГУП «ВНИИР» 6 июня 2017 г. |
|
Средства измерений плотности жидкости: | |
|
Плотномеры ПЛОТ-3 |
МП 2302-0060-2012 «Плотномеры ПЛОТ-3. Методика поверки», утверждено ГЦИ СИ ФГУП «ВНИИМ им. Д.И. Менделеева» 22.05.2012 г. |
|
Плотномеры 804 |
МП № 2302-0051-2010 «Плотномеры 804. Методика поверки», утверждено ГЦИ СИ ФГУП «ВНИИМ им. Д.И. Менделеева» 02.12.2010 г. МИ 3240-2009 Рекомендация. ГСИ. Преобразователи плотности жидкости поточные. Методика поверки. ФГУП «ВНИИМ им. Д.И. Менделеева», 19 октября 2009 г. МИ 2816-3003 Рекомендация. Государственная система обеспечения единства измерений. Преобразователи плотности поточные. Методика поверки на месте эксплуатации. ГМНЦ ФГУП «ВНИИМ им. Д.И. Менделеева». |
|
Средства измерений содержания объемной доли воды в жидкости: | |
|
Влагомеры сырой нефти ВОЕСН |
Инструкция ВОЕСН-4.00.00.000МП «ГСИ. Влагомер сырой нефти ВОЕСН. Методика поверки», утверждено ГЦИ СИ ОП ГНМЦ ОАО «Нефтеавтоматика» в г. Казань 15.06.2011 г. |
|
Влагомеры сырой нефти ВСН-2БН |
ВСН-2БН 5.00.00.000 МП «ГСИ. Инструкция. Влагомер сырой нефти ВСН-2БН. Методика поверки», утверждено ГЦИ СИ ФБУ «ЦСМ Татарстан» 15.09.2014 г. |
|
Измерители обводненности Red Eye® мод. Red Eye® 2G и Red Eve® Multiphase |
МП 47355-1 1 «Инструкция. Измерители обводненности Red Eye® модели Red Eye® 2G и Red Eye® Multiphase. Методика поверки», утв. ВНИИМС в 2011 г. |
|
Влагомеры сырой нефти ВСН-ПИК-Т |
МИ 3303-2011 ГСИ. «Влагомеры нефти поточные. Методика поверки» утвержденная ФГУП «ВНИИР» 31.10.2016 г. |
|
Влагомеры сырой нефти ВСН-2 |
«Инструкция. ГСИ. Влагомеры сырой нефти ВСН-2. Методика поверки. МП 0016-2-2012», утвержденным ГЦИ СИ ФГУП ВНИИР 15.10.2012. |
|
Влагомеры поточные ВСН-АТ |
МП 0310-6-2015 «Инструкция. ГСИ. Влагомеры поточные ВСН-АТ. Методика поверки», утверждено ФГУП «ВНИИР» 08.09.2015 г. |
|
Влагомеры поточные L и F |
МП 0090-6-2013 «Инструкция. ГСИ. Влагомеры поточные моделей L и F. Методика поверки», утверждено ГЦИ СИ ФГУП «ВНИИР» 2 декабря 2013 года. |
|
Влагомеры нефти поточные ПВН-615Ф |
МП 0329-6-2015 «Инструкция. ГСИ. Влагомеры нефти поточные ПВН-615Ф. Методика поверки», утверждено ФГУП «ВНИИР» 21.09.2015 г. |
|
Влагомеры САТЕЛ - РВВЛ |
НА.ГНМЦ.0121-16 МП ’’Инструкция. ГСИ. «Влагомеры САТЕЛ - РВВЛ». Методика поверки", утверждено ОП ГНМЦ АО «Нефтеавтоматика» 27.10.2016 г. |
|
Влагомеры микроволновые поточные МПВ700 |
МП 0413-6-2016 «Инструкция. ГСИ. Влагомеры микроволновые поточные МПВ700. Методика поверки», утверждено ФГУП «ВНИИР» 02 марта 2016 г. |
|
Средства измерений давления: | |
|
Датчики давления Метран-55 |
МИ 4212-012-2001 «Датчики (измерительные преобразователи) давления типа «Метран». Методика поверки» утверждено ФГУП «ВНИИМС» в 03.12.2001 г. |
|
Датчики давления Метран-75 |
МИ 4212-023-2011 «Датчики давления Метран- 75. Методика поверки» утверждено ФГУП «ВНИИМС» 18.04.2011 г. |
|
Датчики давления Метран-150 |
МИ 4212-012-2013 «Датчики давления типа Метран-150. Методика поверки» утверждено ФГУП «ВНИИМС» утверждено ГЦИ СИ ФБУ «Челябинский ЦСМ» в ноябре 2013 г. |
|
Датчики избыточного давления ДМ5007 |
МИ 1997-89 «ГСИ. Преобразователи давления измерительные. Методика поверки» |
|
Преобразователи давления измерительные АИР- 10 |
НКГЖ.406233.018МП «Преобразователи давления измерительные АИР-10. Методика поверки», утверждено ФГУП «ВНИИМС» 23.01.2014 г. |
|
Преобразователи давления измерительные АИР-20/М2 |
НКГЖ.406233.028МП «Преобразователи давления измерительные АИР-20/М2. Методика поверки», утвержденному ФГУП «ВНИИМС» 12.10.2015 г. |
|
Датчики давления МТ101 |
МИ 1997-89 «ГСИ. Преобразователи давления измерительные. Методика поверки» |
|
Датчики давления МТ 100 |
МИ 1997-89 «ГСИ. Преобразователи давления измерительные. Методика поверки» |
|
Датчики давления Агат-ЮОМТ |
МП-03-2018-20. «ГСИ. Датчики давления Агат-ЮОМТ. Методика поверки» |
|
С рвдствэ измерении температуры: | |
|
Преобразователи температуры Метран-280, Метран-280-Ех |
МИ 280.01.00-2013 «Преобразователи температуры Метран-280, Метран-280-Ех. Методика поверки», утверждено ГЦИ СИ ФБУ «Челябинский ЦСМ» в июне 2013 г. |
|
Термопреобразователи с унифицированным выходным сигналом Метран-2700 |
МИ 4211-018-2013 «Термопреобразователи с унифицированным выходным сигналом Метран-2700. Методика поверки», утверждено ГЦИ СИ ФБУ «Челябинский ЦСМ» в июне 2013 г. |
|
Термопреобразователи универсальные ТПУ 0304 |
МП 207.1-009-2017 «Термопреобразователи универсальные ТПУ 0304. Методика поверки», утверждено ФГУП «ВНИИМС» 17.03.2017 г. |
|
Термопреобразователи с унифицированным выходным сигналом- ТххУ-205 |
МП 207.1-002-2017 «Термопреобразователи с унифицированным выходным сигналом ТххУ-205. Методика поверки», утверждено ФГУП «ВНИИМС» 19.01.2017 г. |
|
Датчик температуры ТС5008 |
5Ш0.283.000 РЭ, утверждено ГЦИ СИ ФГУП «ВНИИМС», 19.12.2011г. |
|
Датчики температуры ТСПТ Ex, ТСМТ Ех |
ГОСТ 8.461-2209 - для датчиков температуры ТСПТ Ех, ТСМТ Ех без измерительных преобразователей; МП РТ 2026-2013 «Датчики температуры КТХА, КТНН. КТХК, КТЖК, КТМК, КТХА Ex, КТНН Ех, КТХК Ех, КТЖК Ех, КТМК Ех с измерительными преобразователями. Датчики температуры ТСПТ, ТСМТ, ТСПТ Ех, ТСМТ Ех с измерительными преобразователями. Методика поверки», утвержденной ГЦИ СИ ФБУ «Ростест-Москва» 27 февраля 2014 г. - для датчиков температуры ТСПТ Ех, ТСМТ Ех с установленными измерительными преобразователями |
|
ПЛК и измерительные модули: | |
|
Системы управления модульные B&R Х20 |
МИ 2539-99 «ГСИ. Измерительные каналы контроллеров, измерительно-вычислительных, управляющих, программно-технических комплексов. Методика поверки» |
|
Контроллеры программируемые DirectLOGIC, CLICK, Productivity 2000, Productivity 3000, Protos X, Terminator |
МП 201-001-2016 «Контроллеры программируемые DirectLOGIC, CLICK, Productivity 2000, Productivity 3000, Protos X, Terminator. Методика поверки», утверждено ФГУП «ВНИИМС» 19 августа 2016 г. |
|
Контроллеры SCADAPack 32/32P, 314/314E, 330/334 (330E/334E). 350/357 (350E/357E), 312, 313,337E, 570/575 |
МП 201-062-2017 «Контроллеры SCADAPack 32/32Р, 314/314Е, 330/334 (330Е/334Е), 350/357 (350Е/357Е), 312, 313, 337Е, 570/575. Методика поверки» утверждено ФГУП «ВНИИМС» 14.09.2017 г. |
|
Модули аналоговые 1-7000, M-7000, tM, 1-8000, 1-87000,1-9000. 1-9700, ET-7000. РЕТ-7000, ET- 1 7200. PET-7200 |
МП 201-079-2017 «Модули аналоговые серий I-7000, М-7000. tM, 1-8000, 1-87000,1-9000,1-9700, ЕТ-7000, РЕТ-7000, ЕТ-7200, РЕТ-7200. Методика поверки» утверждено ФГУП «ВНИИМС» 29.11.2017 г. |
|
Контроллеры измерительные ADAM-3600 |
МП 201-011-2018 «Контроллеры измерительные серии ADAM-3600. Методика поверки», утверждено ФГУП «ВНИИМС» 12.03.2018 г. |
|
Системы ввода-вывода распределенные Fastwel I/O |
МП- 1840/550-2014 «ГСИ. системы ввода-вывода распределенные Fastwel I/O. Методика поверки», утверждено ГЦИ СИ ФБУ «Ростест-Москва» 16 июля 2014 г. |
|
Модули измерительные контроллеров программируемых S1MATIC S7-1500 Контроллеры программируемые SIMATIC S7-1200 Контроллеры программируемые SIMATIC S7-300 |
МИ 2539-99 «ГСИ. Измерительные каналы контроллеров, измерительно-вычислительных, управляющих, программно-технических комплексов. Методика поверки», утвержденной ВНИИМС 16 июня 1999 г. |
|
Устройства распределенного ввода-вывода SIMATIC ET200SP/SP НА |
МП 201-053-2018 «Устройства распределенного ввода-вывода SIMATIC ET200SP/SP НА. Методика поверки», утверждено ФГУП «ВНИИМС» 03.08.2018 г. |
|
Модули автоматики NL |
ИЦРМ-МП-056-19 «Модули автоматики серии NL. Методика поверки», утверждено ООО «ИЦРМ» 24.05.2019 года |
|
Модули аналоговые ВМХ, ВМЕ, РМЕ |
МП 201-011-2017 «Модули аналоговые серий ВМХ, ВМЕ, РМЕ. Методика поверки», утверждено ФГУП «ВНИИМС» 07.04.2017 г. |
|
Модули ввода-вывода ЭЛМЕТРО-МВВ, Метран-970 | |
3095.000 МП «Модули ввода-вывода ЭЛМЕТРО-МВВ. Метран-970. Методика поверки», утверждено ФГУП «ВНИИМС» 02.06.2015 г. |
|
Модули ввода-выводаЭЛМЕТРО-МВВ-02, Метран-980 |
3133.000 МП «Модули ввода-вывода ЭЛМЕТРО-МВВ-02, Мет-ран-980. Методика поверки», утверждено ФГУП «ВНИИМС» 10.09.2015 г. |
|
Контроллеры измерительные АТ-8000 |
МИ 2539-99 «ГСИ. Измерительные каналы контроллеров, измерительно-вычислительных, управляющих, программно-технических комплексов. Методика поверки». |
|
Контроллеры измерительные R.-AT-MM |
МИ 2539-99 «ГСИ. Измерительные каналы контроллеров, измерительно-вычислительных, управляющих, программно-технических комплексов. Методика поверки». |
-
6.5.3.2 Если по результатам поверки всех СИ, входящих в состав систем, их метрологические характеристики соответствуют описаниям типа данных СИ, система является поверенной и пригодной к эксплуатации.
-
7.1 При положительном результате поверки оформляют свидетельство о поверке в соответствии с Приказом Минпромторга России от 02.07.2015 № 1815 «Об утверждении Порядка проведения поверки средств измерений, требования к знаку поверки и содержанию свидетельства о поверке» и допускают систему к эксплуатации.
-
7.2 При отрицательном результате поверки выясняют и устраняют причины отрицательного результата или проводят калибровку системы в соответствии с эксплуатационной документацией. Затем проводят повторную поверку в соответствии с данным документом.
-
7.3 При отрицательных результатах повторной поверки систему к эксплуатации не допускаюз, выдают извещение о непригодности согласно Приказу Минпромторга России от 02.07.2015 № 1815 «Об утверждении Порядка проведения поверки средств измерений, требования к знаку поверки и содержанию свидетельства о поверке» с указанием причин, система после выдачи извещения о непригодности направляется в ремонт, утилизируется, либо используется для целей, не входящих в сферу государственного регулирования обеспечения единства измерений.
13
