Методика поверки «Дозаторы пипеточные одно- и многоканальные, "ТЕХНО"» (МП 2301-0146-2014)
, П^Лп₽и«ГИв .
X** * >44
«ВНИИМ им.
УТВЕРЖДАЮ Директор ФГУП (, И. Менделеева» ’.В.Гоголинский
**21”'апреля 2016г.
" . С1’ * >?//
МЕТОДИКА ПОВЕРКИ
МП 2301-0146-2014
(С ИЗМЕНЕНИЕМ №1)

Руководитель лаборатории госэталонов в области измерений массы и силы ФГУП «ВНИИ м, Д.И. Менделеева»
А. Ф. Остривной

|
■ , | |||
Санкт-Петербург 2016
СОДЕРЖАНИЕ
Настоящая методика поверки распространяется на дозаторы пипеточные, одно- и многоканальные, «Техно» (далее - дозаторы), выпускаемые ЗАО «Термо Фишер Сайентифик», г. Санкт-Петербург, и устанавливает методы и средства их первичной и периодических поверок.
Дозаторы предназначены для дозирования жидкостей, динамическая вязкость которых не превышает 1,3x10'3 Па-с.
Интервал между поверками - 1 год.
-
1 ОПЕРАЦИИ И СРЕДСТВА ПОВЕРКИ
-
1.1 При проведении поверки должны быть выполнены следующие операции и применены средства измерений с характеристиками, указанными в табл. 1.
-
Таблица 1
|
Наименование операции |
Номер пункта методики |
Средства поверки и их технические характеристики |
Обязательность проведения операции при первичной и периодической поверке |
|
1. Внешний осмотр |
5.1 |
да | |
|
2. Опробование |
5.2 |
да | |
|
3.1 Определение значения систематической составляющей основной относительной погрешности |
5.3 |
Весы специального класса точности по ГОСТ OIML R76-1-2011; вода бидистиллированная по ГОСТ 6709-72, ГСССД 98-2000; термометр с диапазоном измерения от 0 до 50 °C с погрешностью не более ±0,1 °C; барометр с диапазоном измерения от 80 до 160 кПа с погрешностью не более ±200 Па; стаканчик СВ 19/19 по ГОСТ 7148 (или другая посуда мерная лабораторная). | |
|
да | |||
|
3.2 Определение значения среднеквадратичного отклонения (СКО) случайной составляющей относительной погрешности |
5.4 |
да |
Примечание: Средства поверки, на которые дана ссылка в таблице 1, могут быть заменены аналогичными, обеспечивающими требуемую точность и пределы измерений.
Требования к весам приведены в таблице 2.
Таблица 2 - Требования к весам, используемым для поверки дозаторов.
|
Диапазон объемов дозирования |
Дискретность весов, мг, не более |
Стандартная неопределенность, мг |
|
От 1 мкл до 10 мкл вкл. |
0,001 |
0,002 |
|
Св. 10 мкл до 100 мкл вкл. |
0,01 |
0,02 |
|
Св. 100 мкл до 1000 мкл вкл. |
0,1 |
0,2 |
|
Св. 1 мл до 10 мл вкл. |
0,1 |
0,2 |
|
Св. 10 мл до 200 мл вкл. |
1 |
2 |
Примечания:
1. Конструкция чашки весов (грузоприемной платформы) должна быть такова, чтобы испарения были незначительны.
2. Под стандартной неопределенностью понимают неопределенность результата измерения, выраженную в виде среднего квадратичного отклонения (СКО) показаний весов. Стандартная неопределенность приводится в сертификате о калибровке весов. Если стандартная неопределенность не известна, то СКО показаний весов, S', можно определить по формуле:
, где
где Lt - i -ое показание весов,
i -порядковый номер измерения (z =1,2,3,......10)
L - среднее арифметическое значение показаний нагруженных весов.
1.2 Пределы допускаемых значений метрологических характеристик дозаторов приведены в таблице 3.
Таблица 3
|
Наименование модификаций дозаторов |
Диапазон объемов дозирования, мкл |
Дискретность установки, мкл |
Число каналов |
Пределы допускаемой систематической составляющей основной относительной погрешности при температуре (20±2) °C, % |
Предел допускаемого среднеквадратичного отклонения случайной составляющей относительной погрешности, % |
|
ДПОФ-1-1 |
1 |
1 |
±8,0 |
7,0 | |
|
ДПОФ-1-5 |
5 |
1 |
±5,0 |
5,0 | |
|
ДПОФ-1-10 |
10 |
1 |
±2,5 |
3,0 | |
|
ДПОФ-1-25 |
25 |
1 |
±2,0 |
3,0 | |
|
ДПОФ-1-50 |
50 |
1 |
±2,0 |
2,5 | |
|
ДПОФ-1-100 |
100 |
1 |
±1,5 |
2,0 | |
|
ДПОФ-1-250 |
250 |
1 |
±1,5 |
2,0 | |
|
ДПОФ-1-500 |
500 |
1 |
±1,0 |
1,0 | |
|
ДПОФ-1-1 ООО |
1000 |
1 |
±1,0 |
1,0 | |
|
ДПОФ-1-2000 |
2000 |
1 |
±1,0 |
1,0 | |
|
ДПОФ-1-3000 |
3000 |
1 |
±1,0 |
1,0 | |
|
ДПОФ-1-5000 |
5000 |
1 |
±1,0 |
1,0 | |
|
ДПОФ-1-10000 |
10000 |
1 |
±1,0 |
1,0 | |
|
ДПОП-1-0,2-2 |
0,2 2 |
0,002 |
1 |
±8,0 ±8,0 |
7,0 6,0 |
Окончание таблицы 1
|
Наименование |
Диапазон |
Дискретность |
Число |
Пределы |
Предел |
|
модификаций |
объемов |
установки, |
каналов |
допускаемой |
допускаемого |
|
дозаторов |
дозирования, |
мкл |
системати- |
среднеквадра- | |
|
мкл |
ческой |
тичного | |||
|
составляющей |
отклонения | ||||
|
основной |
случайной | ||||
|
относительной |
составляющей | ||||
|
погрешности |
относительной | ||||
|
при |
погрешности, | ||||
|
температуре Г20±2) С°. % |
% | ||||
|
ДПОП-1-0,5-5 |
0,5 |
0,01 |
1 |
±8,0 |
7,0 |
|
5 |
±5,0 |
5,0 | |||
|
ДПОП-1-1-Ю |
1 |
0,01 |
1 |
±8,0 |
7,0 |
|
10 |
±2.5 |
3.0 | |||
|
ДПОП-1-2-20 |
2 |
0,1 |
1 |
±8,0 |
6,0 |
|
20 |
±2.0 |
3.0 | |||
|
ДПОП-1-Ю-ЮО |
10 |
0,2 |
1 |
±2,5 |
3,0 |
|
100 |
±1.5 |
2.0 | |||
|
ДПОП-1-20-200 |
20 |
1,0 |
1 |
±2,0 |
3,0 |
|
200 |
±1.5 |
2.0 | |||
|
ДПОП-1-30-3 00 |
30 |
1,0 |
1 |
±2,0 |
3,0 |
|
300 |
±1.5 |
2.0 | |||
|
ДПОП-1-100-1000 |
100 |
1,0 |
1 |
±1,5 |
2,0 |
|
1000 |
±1.0 |
1.0 | |||
|
ДПОП-1-500-5000 |
500 |
10,0 |
1 |
±1,0 |
1,0 |
|
5000 |
±1.0 |
1.0 | |||
|
ДПОП-1-1000-Ю000 |
1000 |
20,0 |
1 |
±1,0 |
1,0 |
|
10000 |
±1.0 |
1.0 | |||
|
ДПМП-8-1-10 |
1 |
0,01 |
8 |
±8,0 |
7,0 |
|
10 |
±2.5 |
3.0 | |||
|
ДПМП-8-5-50 |
5 |
0,1 |
8 |
±5,0 |
5,0 |
|
50 |
±2,0 |
2,5 | |||
|
ДПМП-8-10-100 |
10 |
0,2 |
8 |
±2,5 |
3,0 |
|
100 |
±1,5 |
2,0 | |||
|
ДПМП-8-30-300 |
30 |
1,0 |
8 |
±2,0 |
3,0 |
|
300 |
±1,5 |
2,0 | |||
|
ДПМП-12-1-10 |
1 |
0,01 |
12 |
±8,0 |
7,0 |
|
10 |
±2,5 |
3,0 | |||
|
ДПМП-12-5-50 |
5 |
0,1 |
12 |
±5,0 |
5,0 |
|
50 |
±2,0 |
2,5 | |||
|
ДПМП-12-10-100 |
10 |
0,2 |
12 |
±2,5 |
3,0 |
|
100 |
±1,5 |
2,0 | |||
|
ДПМП-12-30-300 |
30 |
1,0 |
12 |
±2,0 |
3,0 |
|
300 |
±1,5 |
2,0 | |||
|
ДПМП-16-1-10 |
1 |
0,01 |
16 |
±8,0 |
7,0 |
|
10 |
±2,5 |
3,0 | |||
|
ДПМП-16-5-50 |
5 |
0,1 |
16 |
±5,0 |
5,0 |
|
50 |
±2,0 |
2,5 |
(Измененная редакция, Изм. № 1).
-
2 ТРЕБОВАНИЯ БЕЗОПАСНОСТИ
При проведении поверки должны соблюдаться правила, определяемые:
-
- правилами безопасности труда, действующими на объекте, на котором проводится поверка;
-
- правилами безопасности при эксплуатации поверяемого устройства и используемых образцовых средств измерений, приведенных в эксплуатационной документации;
-
- правилами технической эксплуатации и правил техники безопасности при работе на электроустановках.
-
3 УСЛОВИЯ ПОВЕРКИ
-
3.1 При проведении поверки должны быть соблюдены следующие условия:
-
-
- температура воздуха в помещении должна быть (20±2) °C;
-
- атмосферное давление (101,3±4) кПа;
-
- относительная влажность воздуха (65± 15) %.
-
3.2 До начала испытаний дозаторы, посуда и бидистиллированная должны быть выдержаны в помещении, где проводятся испытания, не менее 2 часов.
-
3.3 Место проведения испытаний должно быть защищено от воздействия прямых солнечных лучей.
-
4 ПОДГОТОВКА К ПОВЕРКЕ
-
4.1 При подготовке к проведению поверки должны быть выполнены следующие операции:
-
весы должны быть подготовлены (проведена юстировка) согласно эксплуатационной документации;
дозаторы должны быть подготовлены согласно эксплуатационной документации.
-
5 ПРОВЕДЕНИЕ ПОВЕРКИ
-
5.1 Внешний осмотр
-
При внешнем осмотре должно быть установлено соответствие дозаторов следующим требованиям:
-
- комплектность должна соответствовать требованиям эксплуатационной документации;
-
- отсутствие механических повреждений и неисправностей, мешающих нормальной работе;
-
- надписи и обозначения должны быть четкими и соответствовать эксплуатационной документации;
-
- наконечники должны быть ровные, отверстия для выдачи дозы не должно иметь облоя.
-
5.2 Опробование
При опробовании необходимо проверить работоспособность дозаторов в соответствии с эксплуатационной документации.
-
5.3 Определение метрологических характеристик
Определение систематической составляющей основной относительной погрешности и СКО случайной составляющей относительной погрешности проводят в начале и в конце диапазона дозирования. В случае многоканальных дозаторов определение проводят для любых двух крайних каналов.
5.3.1. Устанавливают стеклянный стаканчик с крышкой, наполовину заполненный бидистиллированной водой на стол рядом с весами.
-
5.3.2 Устанавливают на дозаторах начальное значение дозируемого объема и скорость дозирования.
-
5.3.3 Надевают наконечник на посадочный корпус дозатора (для дозаторов ДПМПц наконечник надевают на каждый проверяемый канал) и выполняют забор воды с цель формирования дозы данного объема, для чего опускают наконечник дозатора в стеклянный стакан с бидистиллированной водой на глубину от 3 до 5 мм, нажимают (однократно) на операционную кнопку, вынимают дозатор с наполненным наконечником из воды. При заборе воды ось дозатора не должна отклоняться от вертикального положения более чем на угол, равный 10 °.
-
5.3.4 Убедившись, что после выполнения первого цикла дозирования в течение 30 с не происходит истечение воды из наконечника, первую сформированную дозу сливают, нажав и удерживая операционную кнопку. Для возврата в исходное положение операционную кнопку отпускают.
-
5.3.5 Повторно выполняют забор воды дозатором для формирования следующей дозы, сливают сформированную дозу в стаканчик или бюкс массой не более 2 г, установленный на грузоприемной платформе весов.
-
5.3.6 Взвешивают сформированную дозу воды и фиксируют показания весов.
-
5.3.7 Операцию формирования дозы, определения ее массы повторяют не менее 10 раз.
-
5.3.8 Используя результаты взвешивания, определяют для каждого канала дозирования в каждой из проверяемых точек диапазона дозирования среднее арифметическое объема дозы
vср , (мкл) по формуле
и п
v.P = -— = -----. (1)
п п- р
где Vy - объем ' -ой дозы в J -том значении выбранного объема дозирования, мкл;
п - число измерений (п =10);
у - масса ‘ -ой дозы воды, сформированная каналом дозатора в J -ой точке диапазона, мг;
Р - плотность бидистиллированной воды, значение которой при температуре от + 14 до + 23 °C принимается равным 0,998 мг/мкл.
-
5.3.9 Используя полученное значение vсР , определяют значение систематической составляющей основной относительной погрешности дозаторов ^<> , (%) для каждого проверяемого канала по формуле
= Vcp ~ V"0M -100, (2)
V у ном
где v ном - номинальное значение объема дозы, мкл.
-
5.3.10 Повторяют операции по п.5.3.2-5.3.9 для конца диапазона.
-
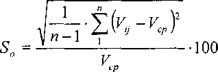
5.3.11 СКО случайной составляющей основной относительной погрешности рассчитывают по формуле

Значения систематической составляющей основной относительной погрешности для каждого канала дозирования и СКО случайной составляющей основной относительной погрешности не должны превышать значений по таблице 2.
-
6 ОФОРМЛЕНИЕ РЕЗУЛЬТАТОВ ПОВЕРКИ
-
6.1 Положительные результаты поверки должны оформляться выдачей свидетельства.
-
В свидетельстве о поверке могут быть указаны наибольшие по абсолютной величине значения метрологических характеристик, полученные при поверке.
-
6.2 В случае отрицательных результатов поверки дозаторы к выпуску и применению не допускаются, выдаётся извещение о непригодности.
8
