Методика поверки «ГСИ.Система измерительная СИ-1/НР-3, ИМ-ЗА» (УРАБ.ИНС.73СТ.046 МП)
УТВЕРЖДАЮ
Первый заместитель генерального директора-заместитель по научной работе ФГУП «ВНИИФТРИ»
Система измерительная СИ-1/НР-3, ИМ-ЗА
Методика поверки
УРАБ.НИС.73СТ.046 МП
2019 г.-
СОДЕРЖАНИЕ
МП - методика поверки;
ИК - измерительный канал;
MX - метрологические характеристики;
НСП - неисключенная систематическая погрешность;
ВП - верхний предел измерений;
НЗ - нормированное значение
ПИП - первичный измерительный преобразователь;
ТСП - термопреобразователь сопротивления платиновый;
ТСМ - термопреобразователь сопротивления медный;
РЭ - руководство по эксплуатации;
РЭТ - рабочий эталон;
СИ - средство измерений;
Per. № - регистрационный номер в Федеральном информационном фонде по обеспечению единства измерений
у- приведенная погрешность измерений;
А - абсолютная погрешность измерений;
5 - относительная погрешность измерений;
ПО - программное обеспечение
ВВЕДЕНИЕ
Настоящая МП распространяется на систему измерительную СИ-1/НР-3, ИМ-ЗА (далее -система), зав.№ 001, изготовленную обществом с ограниченной ответственностью «ПТМ Автоматизация»» (ООО «ПТМ Автоматизация»), г. Екатеринбург, и устанавливает порядок и объем первичной и периодической поверок.
Интервал между поверками - 1 год.
1 ОПЕРАЦИИ ПОВЕРКИ
-
1.1 Поверка ИК систем осуществляется двумя способами:
-
- комплектным способом с оценкой MX ИК в целом (по результатам сквозной градуировки ИК);
-
- поэлементным способом с оценкой MX ИК по MX элементов, входящих в состав ИК.
Примечание - Перечень документов на поверку элементов ИК приведен в приложении д.
-
1.2 При поверке систе^м выполнить операции, приведенные в таблице 1.
Таблица 1
|
Наименование операции |
Номер пункта МП |
Проведение операции при | |
|
первичной поверке(после ремонта) |
периодической поверке | ||
|
1 Внешний осмотр |
7.1 |
+ |
+ |
|
2 Опробование |
7.2 |
+ |
+ |
|
3 Определение метрологических характеристик |
7.3 |
+ |
+ |
|
3.1 Определение приведенных погрешностей измерений давления воздуха (газов) и жидкостей1),2) |
7.3.1 |
+ |
+ |
|
3.2 Определение приведенных погрешностей измерений температуры, измеряемой термопреобразователями сопротивления1,2 * |
7.3.2 |
+ |
+ |
|
3.3 Определение погрешностей измерений температуры, измеряемой термоэлектрическим преобразователем ТХК1’ |
7.3.3 |
+ |
+ |
|
3.4 Определение приведенной погрешности измерений массового расхода топлива2* |
7.3.4 |
+ |
+ |
|
3.5 Определение приведенных погрешностей измерений частоты электрических сигналов, соответствующей частоте вращения привода турбины 1),2) |
7.3.5 |
+ |
+ |
|
3.6 Определение приведенных погрешностей измерений напряжения и силы постоянного тока1) 2) |
7.3.6 |
+ |
+ |
|
4 Идентификация ПО |
7.4 |
+ |
+ |
|
п Поверка осуществляется комплектным способом 2) Поверка осуществляется поэлементным способом | |||
-
1.3 Не допускается проведение поверки отдельных ИК или отдельных автономных блоков или меньшего числа измерительных величин или на меньшем числе поддиапазонов измерений.
-
1.4 В случае получения отрицательных результатов поверки по любому пункту таблицы 1 система бракуется и к дальнейшей эксплуатации не допускается.
2 СРЕДСТВА ПОВЕРКИ
-
2.1 При проведении поверки использовать рабочие эталоны и вспомогательные средства поверки, приведенные в таблице 2.
Таблица2
|
Номер пункта методики поверки |
Наименование и тип (условное обозначение) основного или вспомогательного средства поверки; обозначение нормативного документа, регламентирующего технические требования, и (или) метрологические и основные характеристики средства поверки |
|
7.3.1 |
Преобразователи давления эталонный ПДЭ-010 моделей:
|
|
7.3.2; 7.3.3 |
Термостат Элемер-Т-150, диапазон воспроизведения температуры от минус 30 до плюс 150 °C, нестабильность поддержания температуры за 30 мин не более ±0,05°С |
|
7.3.5 |
Фототахометр электронный Testo-470, пределы допускаемой относительной погрешности ±0,05% в диапазоне измерения от 1 до 99999 об/мин |
|
7.3.5 |
Генератор сигналов специальной формы SFG-2004, диапазон частот выходных сигналов от 0,1 Гц до 4 МГц, пределы допускаемой абсолютной погрешности установки частоты ±(2-10’5 F+0,0001 Гц), где F - заданное значение частоты |
|
7.3.6 |
Калибратор универсальный Н4-101, пределы допускаемой основной погрешности ±( 0,03U + 0,003 Uk) в диапазоне воспроизведения (1,0 - 200,0) В; ±( 0,051 + 0,005 К) в диапазоне воспроизведения (0,001 - 2,0) А; ±( 0,151 + 0,01 Ik) в диапазоне воспроизведения (1,0 - 50,0) А, где U - воспроизводимое значение напряжение постоянного тока; Uk - верхний предел поддиапазона воспроизведения напряжения постоянного тока; I - воспроизводимое значение силы постоянного тока; К - верхний предел поддиапазона воспроизведения силы постоянного тока |
|
Вспомогательные средства поверки | |
|
7.3 |
Барометр рабочий сетевой БРС-1М, диапазон измерений абсолютного давления от 600 до 1100 гПа, пределы допускаемой абсолютной погрешности ±33 Па |
|
7.3 |
Измеритель влажности и температуры ИВТМ-7, диапазон измерений относительной влажности воздуха от 0 до 99 %, пределы допускаемой абсолютной погрешности измерений относительной влажности воздуха ±2,0 %, диапазон измерений температуры воздуха от минус 20 до плюс 60 °C, пределы допускаемой абсолютной погрешности измерений температуры воздуха ±0,2 °C |
-
2.2 Вместо указанных в таблице 2 средств поверки допускается применять другие аналогичные эталоны, обеспечивающие определение MX с требуемой точностью.
-
2.3 Применяемые средства поверки должны быть исправны, поверены и иметь действующие свидетельства о поверке (отметки в формулярах или паспортах).
-
3 ТРЕБОВАНИЯ К КВАЛИФИКАЦИИ ПОВЕРИТЕЛЕЙ
-
3.1 К поверке допускаются лица, квалифицированные в качестве поверителей, изучившие РЭ системы, знающие принцип действия используемых СИ, имеющие навыки работы на персональном компьютере.
-
3.2 Поверитель должен пройти инструктаж по технике безопасности (первичный и на рабочем месте) в установленном в организации порядке и иметь удостоверение на право работы на электроустановках с напряжением до 1000 В с группой допуска не ниже 3.
-
4 ТРЕБОВАНИЯ БЕЗОПАСНОСТИ
-
4.1 При проведении поверки системы необходимо соблюдать:
правила безопасности, действующие на предприятии-эксплуатанте систем, ГОСТ 12.1.019-2009, ГОСТ 12.1.030-81, ГОСТ 12.1.038-82, ГОСТ 12.1.004-91, а также "Правила технической эксплуатации электроустановок потребителей", введенные приказом Минэнерго РФ от 13.01.2003 г., и "Межотраслевыми правилами по охране труда (правилами безопасности) при эксплуатации электроустановок" ПОТ Р М-016-2001, РД 153-34.0-03.150-00, утвержденные Министерством энергетики 27.12.2000. и Министерством труда и социального развития РФ 05.01.2001;
-
- общие правила выполнения работ в соответствии с эксплуатационной документацией по требованиям безопасности изготовителя.
-
4.2 К работе по выполнению поверки системы допускаются лица не моложе 18 лет, ознакомленные с эксплуатационной документацией на систему и с настоящей МП.
-
4.3 Работы по выполнению поверки системы должны проводиться по согласованию с лицом, ответственным за их эксплуатацию.
5 УСЛОВИЯ ПОВЕРКИ
-
5.1 Поверку проводить при следующих условиях:
-
- температура окружающего воздуха, °C (К).................... от 15 до 25 (от 288 до 298);
-
- относительная влажность окружающего воздуха при температуре 25 °C, %... от 30 до 80;
-
- атмосферное давление, мм рт.ст. (кПа)............................от 720 до 780 (от 96 до 104);
параметры электропитания:
-
- напряжение сети переменного тока, В.............................................. от 198 до 242;
-
- частота переменного тока, Гц........................................................ от 49,6 до 50,4.
Примечание - При проведении поверочных работ рабочие условия применения РЭТ должны соответствовать требованиям, указанным в их РЭ.
6. ПОДГОТОВКА К ПОВЕРКЕ
-
6.1 При подготовке к поверке провести следующие работы:
-
- проверить комплектность эксплуатационной документации системы;
-
- проверить наличие поверочных клейм, а также свидетельств о поверке на эталонные и вспомогательные средства поверки;
-
- проверить наличие поверочных клейм, а также свидетельств о поверке на средства измерений утвержденного типа, входящих в состав системы;
-
- подготовить к работе все приборы и аппаратуру согласно их РЭ;
-
- собрать схемы поверки ИК, приведенные ниже, проверить целостность электрических цепей;
-
- обеспечить оперативную связь оператора у монитора с оператором, задающим контрольные значения эталонных сигналов на входе ИК;
-
- включить вентиляцию и освещение в испытательных помещениях;
-
- включить питание ПИП и аппаратуры системы не менее чем за 30 мин до начала проведения поверки;
-
- создать, проконтролировать и записать в протокол условия проведения поверки.
7 ПРОВЕДЕНИЕ ПОВЕРКИ
-
7.1 Внешний осмотр
-
7.1.1 При внешнем осмотре установить соответствие системы следующим требованиям:
-
- комплектность системы должна соответствовать формуляру УРАБ.ИИС.73СТ.046 ФО;
-
- маркировка согласно УРАБ.ИИС.73СТ.046 РЭ;
-
- наличие и сохранность пломб (согласно сборочным чертежам);
-
- герметичность линий измерения давлений.
-
7.1.2 СИ, входящие в состав системы, не должны иметь внешних повреждений, которые могут влиять на работу системы, при этом должно быть обеспечено: надежное крепление соединителей и разъемов, отсутствие нарушений экранировки кабелей, качественное заземление;
-
7.1.3 Результаты внешнего осмотра считать положительными, если выполняются вышеприведенные требования.
-
7.2 Опробование
-
7.2.1 Перед началом работ проверить оборудование и включить систему, руководствуясь документом УРАБ.ИИС.73СТ.046 РЭ.
-
7.2.2 При опробовании проверить правильность функционирования ИК системы.
Для этого необходимо задать на входе ИК с помощью РЭТ физическую величину, соответствующую минимальному и максимальному значениям параметра контролируемого диапазона измерений. Оператору ПК проконтролировать измеренные системой значения физической величины. Убедиться в правильности функционирования ИК.
-
7.2.3 Результаты опробования считать положительными, если измеренные значения физической величины совпадают с заданными эталонными значениями в пределах допускаемой погрешности измерений ИК системы.
-
7.3 Определение MX
Определение MX проводить по программе «Поверка» в последовательности, изложенной в руководстве оператора УРАБ.ИИС.73СТ.046 РО.
-
7.3.1 Определение приведенных погрешностей измерений давления воздуха (газов) и жидкостей
-
7.3.1.1 Погрешности измерений давления воздуха (газов) и жидкостей определить одним из следующих способов:
• комплектным способом (прямые измерения) с оценкой MX по результатам сквозной градуировки ИК в следующей последовательности:
-отсоединить вход ПИП давления (Метран-55-Ех-ДИ, Метран-150СО4, ДМ5007АЕх) от измерительной пневмомагистрали испытательного стенда и соединить его с РЭТ давления
(ПДЭ-010). Схемы подключения РЭТ приведены на рисунке 1;
Рисунок 1
-
- провести градуировку ИК давления в диапазонах, указанных в таблице А. 1 приложения А, по методике, приведенной в разделе 1 приложения Б;
-
- оценить MX ИК давления в соответствии с алгоритмом, приведенным в разделе 2 приложения Б.
• поэлементным способом (прямые измерения) с оценкой MX ИК по MX элементов ИК в следующей последовательности:
-
- провести с помощью РЭТ (ПДЭ-010) в аккредитованной на право поверки организации поверку ПИП (Метран-55-Ех-ДИ, Метран-150СО4, ДМ5007АЕх) по утвержденным методикам поверки;
-
- провести в аккредитованной на право поверки организации поверку модуля ввода аналоговых сигналов 6ES7331-7NF00 контроллера Simatic S7-300 в соответствии с документом МИ 2539-99;
-
- оценить MX ИК давления в соответствии с алгоритмом, приведенным в разделе 2 приложения Б.
-
7.3.1.2 Результаты поверки считать положительными, если полученные значения приведенных погрешностей измерений давления воздуха (газов) и жидкостей находятся в пределах:
-
- ±1,0 % (погрешность приведена к ВП) в диапазонах от 0 до 63 кгс/см2;
-
- ±0,5 % (погрешность приведена к НЗ = 6 кгс/см2) в диапазоне от минус 1 до плюс 5 кгс/см2.
-
7.3.2 Определение приведенных погрешностей измерений температуры, измеряемой термопреобразователями сопротивления
-
7.3.2.1 Погрешности измерений температуры воздуха (газов) и жидкостей, измеряемой термопреобразователями сопротивления, определить одним из следующих способов:
• комплектным способом (прямые измерения) с оценкой MX по результатам сквозной градуировки ИК в следующей последовательности:
-подключить РЭТ (термостат Элемер-Т-150) к ИК температуры. Схема подключения РЭТ, приведена на рисунке 2;
-провести градуировку ИК температуры в диапазонах, указанных в таблице А.1 приложения А, по методике, приведенной в разделе 1 приложения Б;
-оценить MX ИК в соответствии с алгоритмом, приведенным в разделе 2 приложения Б.
Рисунок 2
• поэлементным способом (прямые измерения) с оценкой MX ИК по MX элементов ИК в следующей последовательности:
- провести в аккредитованной на право поверки организации поверку термопреобразователя сопротивления (ТСМ-Метран-253) по ГОСТ 8.461-2009;
-
- провести в аккредитованной на право поверки организации поверку прибора Термодат-11М5 в соответствии с документом МП 2411 - 0106 - 2014 «Приборы для измерения и регулирования температуры многоканальные «Термодат». Методика поверки», утвержденному ГЦИ СИ ФГУП «ВНИИМ им. Д.И. Менделеева» в октябре 2014 г.
-
- оценить MX ИК температуры в соответствии с алгоритмом, приведенным в разделе 2 приложения Б.
-
7.3.2.2 Результаты поверки считать положительными, если полученные значения приведенных (к ВП) погрешностей измерений температуры, измеряемой термопреобразователями сопротивления, в диапазоне от 0 до 100 °C находятся в пределах ±1,5 %.
-
7.3.3 Определение погрешностей измерений температуры, измеряемой термоэлектрическим преобразователем ТХК
-
7.3.3.1 Погрешности измерений температуры, измеряемой термоэлектрическим преобразователем ТХК, определить комплектным способом (прямые измерения) с оценкой MX по результатам сквозной градуировки ИК в следующей последовательности:
-
- подключить РЭТ (термостат Элемер-Т-150) к ИК температуры. Схема подключения РЭТ показана на рисунке 3;

Рисунок 3
-
- провести градуировку ИК температуры в диапазонах, указанных в таблице А. 1 приложения А, по методике, приведенной в разделе 1 приложения Б;
-
- оценить MX ИК температуры в соответствии с алгоритмом, приведенным в разделе 2 приложения Б.
-
7.3.3.2 Результаты поверки считать положительными, если полученные значения приведенных (к ВП) погрешностей измерений температуры, измеряемой термоэлектрическим преобразователем ТХК, в диапазоне от 0 до 100 °C находятся в пределах ±1,5 %.
-
7.3.4 Определение приведенной погрешности измерений массового расхода топлива
-
7.3.4.1 Погрешности измерений массового расхода топлива определить поэлементным способом (прямые измерения) с оценкой MX ИК по MX элементов ИК в следующей последовательности:
-
- провести в аккредитованной на право поверки организации поверку счетчика-расходомера ROTAMASS RCCS33 по методике поверки МП 27054-09 «ГСИ. Счетчики - расходомеры массовые кориолисовые ROTAMASS. Методика поверки расходомерной поверочной установки», утвержденой ГЦИ СИ ФГУП «ВНИИР» 10 апреля 2009 г.
-
- провести в аккредитованной на право поверки организации поверку модуля ввода аналоговых сигналов 6ES7331-7NF00 контроллера Simatic S7-300 в соответствии с документом МИ 2539-99;
-
- оценить MX ИК массового расхода топлива в соответствии с алгоритмом, приведенным в разделе 2 приложения Б:
-
7.3.4.2 Результаты поверки считать положительными, если полученные значения приведенной (к ВП) погрешности измерений массового расхода топлива находятся в пределах ±1,0 % от ВП в диапазоне от 0 до 1000 кг/ч.
-
7.3.5 Определение приведенных погрешностей измерений частоты электрических сигналов, соответствующей частоте вращения привода турбины
-
7.3.5.1 Погрешности измерений частоты электрических сигналов, соответствующей частоте вращения привода турбины, определить одним из следующих способов:
• комплектным способом (прямые измерения) с оценкой MX по результатам сквозной градуировки ПК в следующей последовательности:
-
- подключить РЭТ (фототахометр Testo-470) к ИК частоты электрических сигналов, соответствующей значениям частоты вращения привода турбины, по схеме, приведенной на рисунке 4;
-
- провести градуировку ИК частоты электрических сигналов, соответствующей значениям частоты вращения привода турбины в диапазонах, указанных в таблице А.1 приложения А, по методике, приведенной в разделе 1 приложения Б;
-
- оценить MX ИК в соответствии с алгоритмом, приведенным в разделе 2 приложения Б.

Рисунок 4
• поэлементным способом (прямые измерения) с оценкой MX ИК по MX элементов ИК в следующей последовательности:
-
- провести в аккредитованной на право поверки организации поверку датчика тахометрического МЭД-1 по документу ПЕ3.259.003 ПМ1 "Датчик тахометрический МЭД-1. Методика поверки, утвержденному ГЦИ СИ "ВНИИМ им. Д.И. Менделеева" 14.03.2005 г.;
-
- провести в аккредитованной на право поверки организации поверку преобразователя тахометрического ПТ-01 по документу ПБКМ.468162.006 ПМ1 "Преобразователь тахометрический ПТ. Методика поверки", утверждённому ФГУ "УРАЛТЕСТ" 29 апреля 2011 г.;
-
- подключить РЭТ (генератор сигналов специальной формы SFG-2004) к ИК частоты электрических сигналов, соответствующей значениям частоты вращения привода турбины, по схеме, приведенной на рисунке 5;

Рисунок 5
-
- провести градуировку ИК частоты электрических сигналов, соответствующей значениям частоты вращения привода турбины в диапазонах, указанных в таблице А.1 приложения А, по методике, приведенной в разделе 1 приложения Б;
-
- оценить MX ИК в соответствии с алгоритмом, приведенным в разделе 2 приложения Б.
-
7.3.5.2 Результаты поверки считать положительными, если полученные значения приведенных (к ВП) погрешностей измерений частоты вращения привода турбины в диапазоне от 200 до 4700 об/мин находятся в пределах ±0,15 %.
-
7.3.6 Определение приведенных погрешностей измерений силы и напряжения постоянного тока
-
7.3.6.1 Погрешности измерений силы постоянного тока определить одним из следующих способов:
• комплектным способом (прямые измерения) с оценкой MX по результатам сквозной градуировки ИК в следующей последовательности:
-подключить РЭТ (калибратор универсальный Н4-101) к ИК силы постоянного тока по схеме, приведенной на рисунке 6;
-провести градуировку ИК в диапазонах, указанных в таблице А.1 приложения А, по методике, приведенной в разделе 1 приложения Б;
-оценить MX ИК в соответствии с алгоритмом, приведенным в разделе 2.
Рисунок 6
• поэлементным способом (прямые измерения) с оценкой MX ИК по MX элементов ИК в следующей последовательности:
-провести в аккредитованной на право поверки организации поверку измерительного преобразователя постоянного тока MCR-S-1-5-UI-SW-DCI по документу «Преобразователи переменного тока измерительные МАСХ MCR-SL, MCR-S, MCR-SL, MCRSLP, преобразователь напряжения переменного тока измерительный MCRVAC-UI-O-DC, преобразователь напряжения постоянного тока измерительный MCR-VDC-UI-B-DC. Методика поверки.» 2813000 МП, утвержденным ГЦИ СИ ФГУП «ВНИИФТРИ» 15.09.2008.
-провести в аккредитованной на право поверки организации поверку модуля ввода аналоговых сигналов 6ES7331-7KF02 контроллера Simatic S7-300 в соответствии с документом МИ 2539-99
-оценить MX ИК давления в соответствии с алгоритмом, приведенным в разделе 2 приложения Б.
-
7.3.6.2 Результаты поверки считать положительными, если полученные значения приведенных (к ВП) погрешностей измерений силы постоянного тока в диапазоне от 0 до 2,5 А находятся в пределах ±2,0 %.
-
7.3.6.3 Погрешность измерений напряжения постоянного тока определить одним из следующих способов:
• комплектным способом (прямые измерения) с оценкой MX по результатам сквозной градуировки ИК в следующей последовательности:
-подключить РЭТ (калибратор универсальный Н4-101) к ИК напряжения постоянного тока по схеме, приведенной на рисунке 7;
-провести градуировку ИК в диапазонах, указанных в таблице А.1 приложения А, по методике, приведенной в разделе 1 приложения Б;
-оценить MX ИК в соответствии с алгоритмом, приведенным в разделе 2
Рисунок 7
• поэлементным способом (прямые измерения) с оценкой MX ИК по MX элементов ИК в следующей последовательности:
-провести в аккредитованной на право поверки организации поверку измерительного преобразователя постоянного тока MCR-VDC по документу «Преобразователи переменного тока измерительные МАСХ MCR-SL, MCR-S, MCR-SL, MCRSLP, преобразователь напряжения переменного тока измерительный MCRVAC-UI-O-DC, преобразователь напряжения постоянного тока измерительный MCR-VDC-UI-B-DC. Методика поверки.» 2813000 МП, утвержденным ГЦИ СИ ФГУП «ВНИИФТРИ» 15.09.2008.
-провести в аккредитованной на право поверки организации поверку модуля ввода аналоговых сигналов 6ES7331-7KF02 контроллера Simatic S7-300 в соответствии с документом МИ 2539-99;
-оценить MX ИК давления в соответствии с алгоритмом, приведенным в разделе 2 приложения Б.
-
7.3.6.4 Результаты поверки считать положительными, если полученные значения приведенной (к ВП) погрешности измерений напряжения постоянного тока в диапазоне от 0 до 36 В и находятся в пределах ±2,0 %.
-
7.4 Идентификация ПО
7.4.1 Проверку идентификационных данных (признаков) метрологически значимой части ПО провести в соответствии с документом УРАБ.ИИС.73СТ.046 ПО.
Таблица 3 - Идентификационные данные ПО
|
Наименование ПО |
Значение | |||
|
Операционная система |
Служба Simatic NET для обеспечения связи с контроллером S7-300 |
Служба WinCC Runtime |
Программный пакет для создания и печати протоколов | |
|
Идентификационное наименование ПО |
Windows 7 |
Simatic NET PC Software |
WinCC Runtime |
Excel 2007 |
|
Номер версии (идентификационный номер) ПО |
- |
14.0 SP1 |
v7.4 SP1 |
- |
|
Цифровой идентификатор ПО |
- |
- |
- |
- |
-
7.4.2 Убедиться в соответствии идентификационных признаков метрологически значимой части ПО данным, указанным в таблице 3. В случае несоответствия идентификационных признаков данным, приведенным в таблице 3 ПО направляется для проведения настройки.
8 ОФОРМЛЕНИЕ РЕЗУЛЬТАТОВ ПОВЕРКИ
-
8.1 Результаты поверки системы занести в протокол (приложение Г).
-
8.2 При положительных результатах поверки системы оформить свидетельство о поверке и нанести знак поверки на лицевую панель АРМ испытателя-механика.
-
8.3 При отрицательных результатах поверки система к дальнейшему применению не допускается, на нее оформляется извещение о непригодности к применению с указанием причин забракования.
После выявления и устранения причины производится повторная поверка системы.
Ф.И. Храпов
/ Заместитель генерального директора - начальник НПО-10 ФГУП «ВНИИФТРИ»
Заместитель начальника НПО-10
В.В. Мороз
ФГУП «ВНИИФТРИ
Приложение А
Таблица А.1 - Состав и метрологические характеристики ИК системы, включающих ПИП и вторичную часть ИК
|
Характеристики ИК |
Состав ИК | ||||||
|
Наименование ИК |
Коли чество ИК |
Диапазон измерений |
Пределы допускаемой погрешности (нормированы для рабочих условий) |
ПИН |
Вторичная часть И К | ||
|
тип |
пределы допускаемой основной погрешности |
тип аппаратуры |
пределы допускаемой основной погрешности | ||||
|
ИК давления воздуха (газов) и жидкостей |
3 |
от 0 до 6 кгс/см2 |
±1,0 %(г) |
Метран-55-Ех-ДИ 6 кгс/см2 |
±0,25 % (у)* |
Модуль ввода аналоговых сиг-налов 6ES7331-7NF00 |
±0,05 % (у) |
|
1 |
от 0 до 10 кгс/см2 |
Мегран-55-Ех-ДИ 10 кгс/см2 | |||||
|
2 |
от 0 до 16 кгс/см2 |
Метран-55-Ех-ДИ 16 кгс/см2 | |||||
|
1 |
от 0 до 25 кгс/см2 |
Метран-55-Ех-ДИ 25 кгс/см2 | |||||
|
1 |
от 0 до 60 кгс/см2 |
Метран-55-Ех-ДИ 60 кгс/см2 | |||||
|
2 |
от 0 до 16 кгс/см2 |
Метран-150СО4 (0-16 кгс/см2) |
±0,2 % (у) | ||||
|
2 |
от 0 до 60 кгс/см2 |
Метран-150С05(0-60 кгс/см2) | |||||
|
1 |
от 0 до 63 кгс/см2 |
Метран-150СО5 (0-63 кгс/см2) | |||||
|
2 |
jt -1 до +5кгс/см2 |
±0,5 % от диапазона измерений |
ЦМ5007АЕх (-100...+500) кПа |
±0,25 % (у) | |||
|
ИК массового расхода топлива |
1 |
от 0 до 1 000 кг/ч |
± 1,0% от ВП |
RCCS33-M02D4SH |
±0,5% (у) |
6ES7331-7NF00 |
±0,05 % (у) |
|
ИК температуры, измеряемой:
|
5 |
от 0 до 100 °C |
±1,5% (7) |
ГСМ-Метран-253-02-100-С |
±(0,6+0,ОН)** |
Термодат-11М5/2УВ/2Р/ 485/2М |
±0,25 % (у) |
|
1 |
Термопара Т49-3 гр.ХК |
— | |||||
|
ИК напряжения постоянного тока |
1 |
от 0 до 36 В |
±2,0 % (у) |
МАСХ MCR-VDC |
±1 % (у) |
Модуль ввода аналоговых сигналов 6ES7331-7KF02 |
±0,5 % (у) |
|
ИК силы постоянного тока |
1 |
от 0 до 1 А |
МАСХ MCR-S-1-5-UI-SW-DCI |
±0,5 % (у) | |||
|
1 |
от 0 до 1,25 А | ||||||
|
1 |
от 0 до 2,5 А | ||||||
|
ИК частоты электрических сигналов, соответствующей частоте вращения привода турбины |
2 |
от 200 до 4700 об/мин |
±0,15% (у) |
Датчик тахометрический ИЭД-1, преобразователь тахометрический ПТ-01 |
±0,11 %(у) |
Модуль счета 6ES7350-2AH01 |
— |
|
* у - приведенная к верхнему пределу (ВП) измерений погрешность; ♦* t - измеряемая температура | |||||||
Приложение Б
Методика градуировки при проведении поверки ИК. Порядок обработки результатов поверки
1. Методика градуировки ИК
-
1.1 Сквозную градуировку ИК или градуировку элементов ИК проводить в следующей последовательности :
-
- задать с помощью РЭТ на входе ИК или элемента ИК в диапазоне измерений р контрольных значений (ступеней) входной величины Хк в порядке возрастания от Хо до Хр при прямом ходе, р контрольных значений входной величины Хк в порядке убывания отХр до Хо при обратный ходе:
Хк=Хо+[ (Хр- Хо)/р]-к, (Б.1)
где к - номер контрольной точки (ступени); к= 0, 1, 2...р;
Хо, Хр - нижний и верхний пределы диапазона измерений проверяемых ИК.
-
- произвести на каждой ступени при прямом и обратном ходе т отсчетов измеряемой величины (значение параметра т определяется частотой опроса ИК и временем измерения). При этом программа градуировки вычисляет значение сигнала на выходе АЦП как среднее значение кода по т отсчетам, зарегистрированным при подаче входного сигнала. Полученное значение сохраняется в файле градуировки;
-
- повторить I раз указанные циклы градуировки (прямой и обратный ходы). В результате в
памяти компьютера запоминаются массивы значений выходной величины у \к при прямом ходе и у 'к при обратном ходе, где / - номер градуировки, / = 1, 2,...../.
Примечание - Для ИК с пренебрежимо малой погрешностью вариации допускается обратные ходы градуировки не проводить.
При проверке принять следующие значения параметров градуировки р, I, т:
Р>5, Z>5, w>10.
-
2 Порядок обработки результатов поверки комплектным способом с оценкой MX ИК в целом (по результатам сквозной градуировки ИК)
-
2.1 Обработку результатов градуировки проводить по программе «Поверка» согласно алгоритма, изложенного в настоящей методике поверки, руководствуясь документом УРАБ.ИИС.73СТ.046 РО.
-
Для определения доверительных границ оценки погрешностей ИК принимается величина доверительной вероятности Р = 0,95 (по ГОСТ Р 8.736-2011, п.4.4).
-
2.2 Исключение «грубых промахов»
-
2.2.1 Предварительная отбраковка «грубых промахов» на этапе многократного опроса наблюдаемой величины для каждой контрольной точки производится следующим образом:
-
-
- результаты опроса ранжируются в ряд в порядке возрастания;
-
- из указанного ряда исключаются 10 % значений от верхней и нижней границ ряда.
-
2.2.2 Исключение «грубых промахов» на этапе обработки результатов измерений производится с использованием критерия Граббса по ГОСТ Р 8.736-2011 следующим образом:
-
2.2.2.1 Вычислить для каждой &-той контрольной точки оценки измеряемой величины у'к при прямом ходе градуировки и у" при обратном ходе градуировки по формулам (Б.2):
-
• (Б.2)
* /=1 » 1=1
-
2.2.2.2 Вычислить для каждой £-той контрольной точки средние квадратические отклонения S'k (при прямом ходе) и S" (при обратном ходе) по формулам (Б.З):
(Б.З)
-
2.2.2.3 Вычислить для выборки у у 'iK значения Gi, G2 критерия Граббса по формулам



(Б.4)
где^/лах, Утт- соответственно максимальный и минимальный элементы в выборке у']к... y'iK.
-
2.2.2.4 Сравнить значения^/, G2 с теоретическим значением Gy критерия, указанным в приложении А ГОСТ Р 8.736-2011:
-
- если Gi>Gt, то элемент ^«исключить из выборки как маловероятное значение;
-
- если G?>Gr, то элемент ут1«исключить из выборки как маловероятное значение;
-
2.2.2.5 Повторить процедуру исключения «грубых промахов» по п.п. 2.2.2.1 - 2.2.2.4 для оставшихся элементов, если в выборке^'ix-.y'кбыл исключен один элемент.
-
2.2.2.6 Выполнить проверку по выборке у у"/к аналогично п.п. 2.2.2.1 - 2.2.2.5.
Примечание -Допускается проводить отбраковку «грубых промахов» на стадии просмотра оператором результатов наблюдений при проведении градуировки в случае, когда факт появления «грубого промаха» установлен достоверно. При этом производится повторное измерение в заданной контрольной точке с регистрацией результата наблюдений.
-
2.3 Определение индивидуальной функции преобразования ИК
Индивидуальную функцию преобразования ИК систем определять по результатам градуировки в виде обратной функции, т.е. как зависимость значений величины х на входе ИК от значений у на его выходе.
Если нелинейность функции такова, что с достаточной точностью можно ограничиться аппроксимирующим полиномом не выше 4-той степени, то эту функцию представляют в виде степенного полинома (формула Б.5). В противном случае функцию представляют кусочно-линейной зависимостью (формула Б.6).
х=ао+аху+...+аУ', (Б.5)
Х=^+?5Л(У-Л)> (Б.6)
где do, си,... an - коэффициенты аппроксимирующего полинома, определяемые методом наименьших квадратов;
хк - эталонное значение входной величины на к-той ступени;
qSfk- цена единицы наименьшего разряда кода на к-той ступени;
Ук- среднее значение результатов наблюдений выходной величины при градуировке на к-той ступени.
Значения ук и qSfk определить по формулам (Б.7) и (Б.8):
Л = Е(Х+Х«)/2-/, (Б.7)
1=1

^+1 Ук (Б.8)
-
2.4 Определение характеристик погрешностей ИК
-
2.4.1 Определение характеристик абсолютной погрешности ИК при комплектном способе поверки (прямые измерения) с оценкой MX ИК по результатам сквозной градуировки ИК
-
2.4.1.1 Определить доверительные границы неисключенной систематической составляющей абсолютной погрешности (НСП) ИК по формуле (Б.9):

-
-
(Б.9)
где Арэт- погрешность РЭТ;
А(И?Ь- доверительные границы абсолютной НСП ИК, обусловленной погрешностью аппроксимации.
При задании индивидуальной функции преобразования в виде степенного полинома (Б.1) значение А^ вычисляется по формуле (Б. 10):



(Б. Ю)
При задании индивидуальной функции преобразования в виде кусочно-линейной зависимости (Б.6) погрешность А^ = 0.
Примечание-В формулах (Б.9), (Б. 10) и далее по тексту оценки доверительных границ погрешностей приведены без учета знака.
-
2.4.1.2 Определить доверительные границы случайной составляющей абсолютной погрешности на каждой к-той контрольной точке при Р = 0,95 по формуле (Б.11):

(Б.П)
где т - коэффициент Стьюдента-Фишера, зависящий от доверительной вероятности Р и числа степеней свободы 2/ -1. Таблица значений т при Р = 0,95 приведена в приложении Б;
<7 х - - среднее квадратическое отклонение случайной составляющей абсолютной погрешности на каждой к-той контрольной точке, определяемое по формуле (Б. 12):
2/-1
(Б.12)
где х jK, х ik - приведенные по входу значения результатов наблюдений на каждой к-той контрольной точки при прямом и обратном ходе градуировки соответственно;
хк - приведенные по входу средние значения результатов наблюдений на к-той ступени при прямом и обратном ходе градуировки соответственно, определяются по формулам (Б. 13);
1 1 V '
X<=-;LX* ,
1 i=i
(Б. 13)
1=1

Нж - абсолютное значение вариации, определяется по формуле (Б. 14):
(Б.14)
-
2.4.1.3 Определить доверительные границы абсолютной погрешности ИК на каждой к-той контрольной точке при Р = 0,95 по формулам (Б. 15):
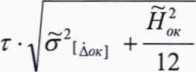
при (До„ • т/Д„.) > 8 , при (До„ ■ г / До J < 0.8,
(Б. 15)
^окабс (
4*-+) • 7 Л7^+ А°~ - ПРИ 8 > Д»„ • г / AJ > °-8.
-
3 WV3+
-
2.4.1.4 Определить доверительные границы абсолютной погрешности ИК при Р=0,95 по формуле (Б. 16):
(Б. 16)
2.4.2 Определение характеристик погрешности ИК при поэлементной поверке с оценкой MX ИК по MX элементов систем.
-
2.4.2.1 Определить пределы абсолютной погрешности ИК давления воздуха (газов) и жидкостей по формуле (Б. 17):
Ддд= ВПдд ■ yP/^QQ~~> (кПа, МПа, кгс/см2, мм вод. ст.), (Б. 17)
где ВПдд - верхний предел измерений преобразователя давления, (кПа, МПа, кгс/см2, мм вод. ст.);
уРдд- пределы допускаемой приведенной погрешности измерений преобразователя давления, %;
у/дцп ■ пределы допускаемой приведенной погрешности измерений силы постоянного тока модуля ввода аналоговых сигналов 6ES7331-7NF00 контроллера Simatic S7-300, %;
-
2.4.2.2 Определить пределы абсолютной погрешности измерений ИК температуры воздуха (газов) и жидкостей, измеряемой термопреобразователями сопротивления (ТСП):
Дт= ДТтсп + ДТудп, К (°C), (Б. 18)
где ЛТтсп - пределы допускаемой абсолютной погрешности ПИП (ТСП) по ГОСТ 6651-2009, К (°C);
ДТтдп - пределы допускаемой абсолютной погрешности измерений температуры, обусловленной погрешностью преобразователя-индикатора Термодат-11М5:
-
2.4.2.3 Определить доверительные границы абсолютной погрешности ИК силы постоянного тока по формуле (Б. 19):
До=Нг^+/Ж^/100,А (Б.19)
где
/-измеренное значение силы постоянного тока, А;
У шунт - пределы допускаемой приведенной погрешности ПИП (МАСХ MCR-S-1-5-UI-SW-DCI), %;
уИКи- значение приведенной погрешности ИК силы постоянного тока без ПИП, %;
-
2.4.2.4 Определить доверительные границы абсолютной погрешности ИК массового расхода топлива по формуле (Б.20):
Д„ = 1,1 • G„, • V(A(F)/F)2 +(Д,2/02 + (Д(р)/р)2, кс/с, (Б.20)
rpe:Gm - измеренное значение массового расхода топлива, кг/с;
^(QFQ -значение относительной погрешности nnn(RCCS33-M02D4SH);
A(F)/F - значение относительной погрешности ИК массового расхода топлива без ПИП; Л(р)/р -значение относительной погрешности измерений плотности топлива:
bp! p = bpo! po + Y'\l ро,
(Б.21)
где Аро - абсолютная погрешность измерений плотности топлива ареометром АНТ-2, кг/м3; ро - номинальная плотность топлива при 20°С, кг/м3;
у - температурный коэффициент плотности топлива,кг^С’/м3;
At - абсолютная погрешность измерений температуры топлива с помощью ТС, °C.
-
2.4.2.5 Определить пределы абсолютной погрешности измерений ИК напряжения постоянного тока по формуле (Б.22):
Ди - (умялся ВПи + у1ацп ВП1) /100, В
(Б.22)
где ВПС - верхний предел измерений напряжения постоянного тока, В;
Bill- верхний предел измерений силы постоянного тока, мА;
у£/яяся-пределы допускаемой приведенной погрешности ПИП напряжения постоянного тока (МАСХ MCR-VDC), %;
у1ацп - пределы приведенной погрешности измерений силы постоянного тока (модуль ввода аналоговых сигналов 6ES7331-7KF02), %.
-
2.4.3 Определить значения приведенной к верхнему пределу измерений (ВП) погрешности ИК по формуле (Б.23):

(Б.23)
-
2.4.4 Определить значения приведенной к нормированному значению измеряемой величины (НЗ) погрешности ИК по формуле (Б.24):
(Б.24)
-
2.4.5 Определить значения относительной погрешности ИК от измеряемой величины (ИВ) по формуле (Б.25):

(Б.25)
Приложение В
(справочное)
Значения коэффициента Стьюдента-Фишера в зависимости от числа степеней свободы при доверительной вероятности Р = 0,95
|
Число степеней свободы |
Доверительная вероятность Р=0,95 |
Число степеней свободы 2ml-1 |
Доверительная вероятность Р=0,95 |
|
1 |
12,706 |
18 |
2,103 |
|
2 |
4,303 |
19 |
2,093 |
|
3 |
3,182 |
20 |
2,086 |
|
4 |
2,776 |
21 |
2,080 |
|
5 |
2,571 |
22 |
2,074 |
|
6 |
2,447 |
23 |
2,069 |
|
7 |
2,365 |
24 |
2,064 |
|
8 |
2,306 |
25 |
2,060 |
|
9 |
2,262 |
26 |
2,056 |
|
10 |
2,228 |
27 |
2,052 |
|
И |
2,201 |
28 |
2,048 |
|
12 |
2,179 |
29 |
2,045 |
|
13 |
2,160 |
30 |
2,042 |
|
14 |
2,145 |
40 |
2,021 |
|
15 |
2,131 |
60 |
2,000 |
|
16 |
2,120 |
120 |
1,980 |
|
17 |
2,110 |
- |
Приложение Г
(рекомендуемое)
Форма протокола поверки поверки измерительных каналов системы измерительной СИ-1/НР-3, ИМ-ЗА.....
Протокол №
-
1 Дата поверки..............................................................................
-
2 Средства поверки
Таблица 1
|
Наименование РЭТ (средства измерений) |
Регистрационный номер РЭТ в реестре Федерального информационного фонда (зав. № средства измерений) |
Номер свидетельства об аттестации РЭТ, поверке. Срок действия свидетельства |
|
Преобразователь давления эталонный ПДЭ-010 |
33587-12 | |
|
Термостат Элемер-Т-150 |
58648-14 | |
|
Генератор сигналов специальной формы SFG-2004 |
29967-05 | |
|
Калибратор универсальный Н4-101 |
53773-13 | |
|
Калибратор-измеритель унифицированных сигналов эталонный ИКСУ-260 |
35062-07 | |
|
Барометр рабочий сетевой БРС-1М |
16006-97 | |
|
Измеритель влажности и температуры ИВТМ-7 М |
15500-12 |
Вместо РЭТ, указанных в таблице 1, допускается применять другие аналогичные средства поверки, обеспечивающие определение MX с требуемой точностью.
-
3 Условия поверки
Температура окружающего воздуха,°C.............................................................
Атмосферное давление, мм рт. ст.....................................................................
Влажность, %..........................................................................................
-
4 Документ, в соответствии с которым проводилась поверка
«Система измерительная СИ-НР-3, ИМ-ЗА. Методика поверки УРАБ.ИИС.73СТ.046 МП».
-
5 Результаты экспериментальных исследований
-
5.1 Внешний осмотр соответствует ТД.................................................
-
5.2 Результаты опробования.........соответствует ТД.........................................
-
5.3 Результаты метрологических исследований
-
Результаты метрологических исследований системы измерительной СИ-НР-3, ИМ-ЗА №..........представлены в таблице 2.
Расчет суммарной погрешности проводится по формулам методики поверки «Система измерительная СИ-НР-3, ИМ-ЗА. Методика поверки. УРАБ.ИИС.73СТ.046 МП».
-
6 Выводы..............................................................................................
-
7 Заключение...........................................................................................
Поверитель
Подпись, дата ФИО
Приложение Д
Таблица 2
|
№ п/п |
Наименование ИК |
Обозначение ИК |
Диапазон измерений |
11рсдслы допускаемой по-1рС111НОСТИ ИК |
Устройство ввода-вывода / Модуль ввода-вывода |
Первичный преобразователь |
Суммарное значение по-грешности ИК по результатам поверки, ± | |||||||
|
I ^именова ние |
Серийный номер |
11рсдслы допускаемой погрешности, ± |
Дата очередной поверки |
Наименова ние |
Серийный номер |
Диапазон датчика |
11рсделы допускаемой погрешности, ± |
Дата очередной поверки | ||||||
СП
CN
Приложение Д (справочное)
|
Леречень эксплуатационных и нормативных документов | |
|
Обозначение |
Наименование |
|
ГОСТ 8.009-84 ГСП |
Нормируемые метрологические характеристики средств измерений |
|
ГОСТ Р 8.736-2011 ГСИ |
Измерения прямые многократные. Методы обработки результатов измерений. Основные положения |
|
ГОСТ 6651-2009 ГСИ |
Термопреобразователи сопротивления из платины, меди и никеля. Общие технические требования и методы испытаний |
|
ГОСТ 8.461-2009 ГСИ |
Термопреобразователи сопротивления из платины, меди и никеля. Методика поверки |
|
ГОСТ Р 8.585-2001 ГСИ |
Термопары. Номинальные статические характеристики преобразования |
|
ГОСТ 8.338-2002 ГСИ |
Преобразователи термоэлектрические. Методика поверки |
|
МИ 2083-90 |
Измерения косвенные. Определение результатов измерений и оценивание их погрешностей |
|
РМГ 51-2002 ГСИ |
Документы на методики поверки средств измерений |
|
УРАБ.ИИС.73СТ.046 РЭ |
Система измерительная СИ-НР-3, ИМ-ЗА. Руководство по эксплуатации |
|
УРАБ.ИИС.73СТ.046 ФО |
Система измерительная СИ-НР-3, ИМ-ЗА. Формуляр |
|
УРАБ.ИИС.73СТ.046 РО |
Система измерительная СИ-НР-3, ИМ-ЗА.Рукородство оператора |
24
