Методика поверки «Установки аэродинамические измерительные ЭМС 0,1/60-450» (МП 4.29.003-2019)
Федеральное государственное унитарное предприятие «ЦЕНТРАЛЬНЫЙ АЭРОГИДРОДИНАМИЧЕСКИЙ ИНСТИТУТ имени профессора Н.Е. Жуковского»
ФГУП «ЦАГИ»Начальник отделения измерительной техники и метрологии -главный метролог ФГУП «ЦАГИ»

МЕТОДИКА ПОВЕРКИ
МП 4.29.003-2019

Заместитель начальника НИО-7
ФГУП «ЦАГИ»
Инженер ФГУП «ЦАГИ»
г. Жуковский 2019 г.
2 Настоящая методика поверки распространяется на установки аэродинамические измерительные ЭМС 0,1/60-450 (далее - установка), предназначенные для измерения скорости воздушного потока при исследованиях, поверках и калибровках анемометров, приемников давления и других средств измерений скорости воздушного потока, и устанавливает методику первичной (до ввода в эксплуатацию, а также после ремонта) и периодической (в процессе эксплуатации) поверок указанных установок.
Проведение поверки отдельных измерительных каналов и (или) отдельных автономных блоков из состава средств измерений для меньшего числа измеряемых величин или на меньшем числе поддиапазонов измерений не предусмотрено.
Интервал между поверками - 3 года.
1 Операции поверкиПри проведении поверки выполняются следующие операции (таблица 1):
Таблица 1
Название операции поверки |
Номер пункта методики поверки |
Проведение операции при | |
первичной поверке |
периодической поверке | ||
Внешний осмотр |
6.1 |
да |
да |
Опробование |
6.2 |
да |
да |
Определение диапазона измерения скорости воздушного потока |
6.3 |
да |
да |
Определение коэффициента поля установки |
6.4 |
да |
да |
Оценка абсолютной погрешности измерений скорости воздушного потока |
6.5 |
да |
да |
Оценка абсолютной погрешности воспроизведения направления воздушного потока |
6.6 |
да |
нет |
Проверка соответствия ПО |
6.7 |
да |
да |
2 Средства поверки
При проведении поверки применяют средства измерений, указанные в таблице 2.
Таблица 2
Наименование средств измерений |
Характеристики |
Приемник воздушного давления комбинированный типа ПД-53 |
Из состава вторичного эталона единицы скорости воздушного потока по ГОСТ Р 8.886-2015 |
Линейка металлическая |
Диапазон измерений от 0 до 500 мм. Погрешность по ГОСТ 427-75 |
Квадрант оптический |
Диапазон измерений от 0° до 360°. Погрешность измерений ±30" |
Примечание - Допускается применять средства поверки, не приведенные в перечне, но обеспечивающие определение (контроль) метрологических характеристик поверяемых средств измерений с требуемой точностью.
3 Требования безопасностиПри поверке необходимо соблюдать требования безопасности, указанные в технической документации на установку и на ее составные части.
4 Условия поверки
При проведении поверки должны быть соблюдены следующие условия:
|
от +15 до +25 от 30 до 80 от 84 до 106 |
Перед проведением поверки необходимо:
-
- убедиться в том, что средства измерений ИВТМ-7 и Метран-150, входящие в состав измерительной системы установки ЭМС 0,1/60-450 поверены;
-
- подготовить установку и средства поверки к работе в соответствии с руководством по эксплуатации;
-
- установить эталонный приемник воздушного давления за срезом сопла установки приемной частью навстречу потоку вдоль центральной оси аэродинамического контура (положение приемника контролируется с помощью линейки) и подсоединить его к соответствующим штуцерам измерительной системы.
-
6.1 Внешний осмотр
При проведении внешнего осмотра должно быть установлено соответствие установки ЭМС 0,1/60-450 следующим требованиям:
-
- комплектность соответствует эксплуатационной документации;
-
- составные части установки не имеют видимых механических повреждений;
-
- элементы аэродинамического контура надежно соединены между собой, отсутствуют повреждения лакокрасочного покрытия;
-
- внутренняя поверхность аэродинамического контура свободна от пыли и грязи и не имеет видимых дефектов;
-
- кабельные линии и пневмотрассы не имеют видимых повреждений и закреплены в соответствующих разъемах.
-
6.2 Опробование
-
6.2.1 При опробовании проверяют работоспособность установки в режимах измерения скорости и давления.
-
6.2.2 Для проверки работоспособности установки в режиме измерения скорости нужно убедиться, что измеряемые значения скорости воздушного потока задаются изменением частоты вращения вентилятора. Для этого нужно задать не менее трех различных значений частоты напряжения на двигателе вентилятора и измерить соответствующие значения скорости потока.
-
6.2.3 Работоспособность установки в режиме измерения давления проверяют аналогично п. 6.2.2, измеряя значения скоростных напоров, воспринятых эталонным приемником и приемниками, встроенными в аэродинамический контур, при различных значениях частоты вращения вентилятора.
-
-
6.3 Определение диапазона задаваемых скоростей воздушного потока
-
6.3.1 Наибольшее значение задаваемой скорости воздушного потока измеряют, установив максимально допустимое значение частоты питания вентилятора. Полученное значение скорости должно быть не менее 60 м/с.
-
6.3.2 Наименьшее значение задаваемой скорости воздушного потока измеряют в режиме «малых скоростей» с установленной дросселирующей вставкой, установив минимально допустимое значение частоты питания вентилятора. Полученное значение скорости должно быть не более 0,1 м/с.
-
-
6.4 Определение коэффициента поля установки
-
6.4.1 Эталонный приемник устанавливается так, чтобы его приемная часть находилась в центре выходного сечения сопла установки (положение контролируется с помощью линейки).
-
6.4.2 Задаются следующие значения частоты вращения вентилятора: 3, 5, 10, 15, 20, 25, 30, 35, 40, 45, 50 Гц. На каждом из указанных скоростных режимов берется не менее 20 отсчетов в режиме измерения давления.
-
6.4.3. В результате получают по 11 рядов (число значений частот, указанных в п. 6.4.2) значений скоростных напоров, воспринятых эталонным приемником и приемниками, встроенными в аэродинамический контур (соответственно ДРпр ij и ДРтр iy, i = 1,..., и; j = 1,... ,11).
-
6.4.4 По полученным рядам значений ДРпр и ДРтр ц вычисляют значение коэффициента поля [lij из выражения
где £пр - коэффициент эталонного приемника по скоростному напору.
-
6.4.5 Для каждого из режимов, указанных в п. 6.4.2, вычисляется среднее значение коэффициента поля /Zy:
i а также среднее значение величины ДРтр у:
= Д^тр ij-
i
-
6.4.6 Оценка погрешности Ат. определения значения /Zy вычисляется согласно рекомендациям МИ 2083-90 (здесь и далее используется доверительная вероятность Р = 0.95):
-
1) Среднее квадратическое отклонение случайных погрешностей результата косвенного измерения /dj вычисляют по формуле
п(п-1)
1=1
N
-
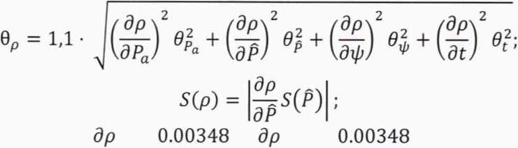
2) Доверительные границы неисключенной систематической погрешности результата косвенного измерения /dj вычисляют по формуле
0(м7) = 1-1 • fnp
Op
Д^тр ij д
Д^тр ij/
где 3Р - границы погрешности датчика давления, остальные обозначения те же, что и в п. 6.3.4. Значения ДРпр и ДРтр выбираются так, чтобы максимизировать значение ©(/Zy) для каждого j.
-
3) Погрешность Д^у результата измерения [dj оценивают на основе оценок случайных S(py) и неисключенных систематических погрешностей согласно формулам, приведенным в рекомендациях МИ 2083-90.
-
6.4.7 Для определения коэффициента поля на режимах, не указанных в п. 6.4.2, используют полином [d = f^PY^). Полином строят при помощи метода наименьших квадратов на основе полученных в п. 6.4.5 значений /Zy и ДРтру. Допускается разбивать диапазон изменения ДРтр на два поддиапазона, на каждом из которых строить отдельный полином.
6.5 Оценка погрешности измерения скорости воздушного потока
-
6.5.1 Скорость потока определяется как результат косвенного измерения: V = V^Pq, Р, ЬР, Pa,t,xpy Расчетные формулы и обозначения приведены в руководстве по эксплуатации установки.
-
6.5.2 Задаются те же значения частоты вращения вентилятора, что и в п.
6.4.2. На каждом из указанных режимов берется не менее 3 отсчетов в режиме измерения скорости. В результате получают ряды отдельных значений аргументов (Рои т.д., i = 1, Значения коэффициента поля и
погрешности его определения Д^у для указанных режимов получены в п. 6.4.
-
6.5.3 Для каждого отсчета вычисляют оценку погрешности измерения скорости потока согласно методике, приведенной в приложении А.
-
6.5.4 Полученные значения оценки погрешности определения скорости потока не должны превышать значения ДР = ±(0,01 + 0,01 У) м/с.
-
6.6 Оценка погрешности измерения направления воздушного потока
-
6.6.1 Перевести поворотный стол в вертикальное положение.
-
6.6.2 С помощью поворотного стола задать углы поворота в диапазоне от 0° до 360° с шагом 15°.
-
6.6.3 На каждой из указанных измерительных точек значение угла поворота контролировать с помощью квадранта, размещенного в вертикальной плоскости таким образом, чтобы его основание совпадало с соответствующим диаметром план-шайбы поворотного стола.
-
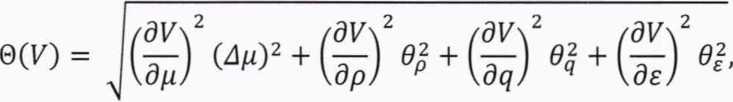
6.6.4 Рассчитать значения абсолютной погрешности задания угла поворота Д^ по формуле
где СХ[ — заданный угол поворота,
aK,i ~ соответствующее показание квадранта.
-
6.6.5 Полученные значения Д^ не должны превышать ±0,5°.
-
6.7 Проверка соответствия ПО
-
6.7.1 В качестве идентификатора ПО принимают версию программного обеспечения.
-
6.7.2 Для того, чтобы узнать версию программного обеспечения, нужно нажать правой кнопкой мыши на ярлык ПО FlowM, выбрать из появившегося списка меню «Свойства» и в появившемся окне перейти на вкладку «Подробно».
-
6.7.3 Версия программного обеспечения должна быть не ниже указанной в Таблице 3.
Таблица 3 - Идентификационные данные программного обеспечения
Идентификационные данные (признаки) |
Значение |
Идентификационное наименование ПО |
FlowM |
Номер версии (идентификационный номер) ПО |
не ниже l.O.x.x |
Цифровой идентификатор ПО: -CRC32 -MD5 |
6768232В BDFEE718С002Е21В10 AEFD9993 8С2011 |
-
7.1 Результаты поверки заносят в протокол, форма которого представлена в приложении Б.
-
7.2 В случае положительного результата поверки выдается свидетельство о поверке установленной формы. В формуляр установки вносится соответствующая запись. Знак поверки наносится на свидетельство о поверке.
-
7.3 В случае отрицательного результата поверки выдается извещение о непригодности.
ПРИЛОЖЕНИЕ А
Оценка погрешности измерения скорости воздушного потока
Выражение для определения скорости потока можно записать в виде
N Р
где д - коэффициент поля,
Р = р(Ра, Р>V0 - плотность воздуха,
q = q(P0,P, ДР) и Р = Р(Р0,Р, ДР) - скорректированные значения скоростного напора и статического давления соответственно, е = г(ср Р, Ра) — поправка на сжимаемость.
Вид указанных зависимостей с учетом особенностей схемы измерений приведен в руководстве по эксплуатации. Запишем эти формулы в виде, удобном
для расчетов: |
Ра~Р- 0.378^Рнп р = 0.00348-2----- н t + 273.15 2ДР + Р - Ро q= 3 _ 2Р + Р0 + Ы> 3 |
Рнп = 0.0 5995 Г3 + 0.3872t2 + 57.62t + 555.6
Аргументами для указанных функций служат величины Ро, Р, АР, Ра, t, гр,
значения которых измеряются при каждом отсчете.
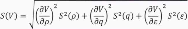
Погрешность измерения скорости ДЕ оценивается, согласно рекомендациям МИ 2083-90 (при доверительной вероятности Р = 0.95), на основе оценок случайных и неисключенных систематических погрешностей, формулы для вычисления которых имеют следующий вид:


Для удобства расчетов заметим, что
dV _ V dV _ V dV _ V др 2р 'др 2р’ др 2q
Составляющими 6£ и 5(г) можно пренебречь в силу их малости.
Значения коэффициента поля pj и погрешности его определения Apj для указанных режимов получены ранее.
Для плотности р формулы имеют вид

дРа t + 273.15' дР t +273.15'
др дгр
-0.00348
0-378РНП .
t + 273.15'
др dt
0.00348
t + 273.15
по7о/^нп Ра - Р - 0.378i//PHn
-»-378*-й---FTmis—
Значения погрешностей 0q,Op,S(ji) и S(P) вычисляются по формулам
= др = -0Р;
(Р—Р-° ~^-^Р < 630 Па
5(g) = S(P) = j р _ р Др
---------,ДР > 630 Па
Значения 0t, 0^, вРа, 6Р равны погрешностям соответствующих измерительных приборов, указанным в документации на них или установленным при калибровке.
Подставляя значения аргументов в формулы, получаем значения оценки погрешности измерения скорости для каждого отсчета.
ПРИЛОЖЕНИЕ Б
Рекомендуемая форма протокола поверки
Протокол поверки №_______________от «___» ________20_г.
Вид поверки: |
первичная/периодическая | |
Заказчик: | ||
Тип и наименование СИ: |
Установка аэродинамическая | |
Номер СИ: |
измерительная ЭМС 0,1/60-450 |
Госреестр № |
Завод-изготовитель: |
ООО «Глобал Строй» |
Год изготовления: |
Диапазон измерений: Эталоны, используемые при поверке: |
Цена деления: | |
Условия поверки: |
температура °C влажность |
% атм. давление кПа |
Методика поверки: |
МП 4.29.003-2019 «ГСИ. Установка аэродинамическая измерительная ЭМС |
0,1/60-450. Методика поверки»
РЕЗУЛЬТАТЫ ПОВЕРКИ | |
1. Внешний вид |
соответствует/не соответствует требованиям нормативной документации п. 6.1 методики поверки |
2. Опробование |
работоспособен, замечаний нет/ не работоспособен |
3. Определение метрологических характеристик
3.1. Диапазон задаваемых скоростей воздушного потока Наименьшее значение______м/с
Наибольшее значение______м/с
3.2. Коэффициент поля установки
Частота, Гц |
3 |
5 |
10 |
15 |
20 |
25 |
30 |
35 |
40 |
45 |
50 |
ДРтрУ, Па | |||||||||||
Д/ | |||||||||||
АД/ |
3.3. Оценка погрешности измерения скорости воздушного потока
№ отсчета |
Частота, Гц |
V, м/с |
ДР, м/с |
3.4. Оценка погрешности измерения направления воздушного потока
а |
«к |
Д |
4. Результаты проверки соответствия ПО________________________________
Допускаемая погрешность ± (0,01+0,01 У)_м/с
Действительная погрешность ____
Результаты поверки:_______________
Выдано свидетельство о поверке №_____________от «___»_________20___г.
Поверку провел(а):
(должность)
(подпись)
(инициалы, фамилия)
ЭМС 0,1/60-450
МП 4.29.003-2019