Методика поверки «Спектрометры ДФС-500, ДФС-500Н, ДФС-500В, ДФС-500Д, МФС-12» (МП 47-251-2019)
Федеральное агентство по техническому регулированию и метрологии ФЕДЕРАЛЬНОЕ ГОСУДАРСТВЕННОЕ УНИТАРНОЕ ПРЕДПРИЯТИЕ «УРАЛЬСКИЙ НАУЧНО-ИССЛЕДОВАТЕЛЬСКИЙ ИНСТИТУТ МЕТРОЛОГИИ» (ФГУП «УНИИМ»)
УТВЕРЖДАЮ
ГУП «УНИИМ»
Медведевских С.В.
' ___________2019 г.
ГОСУДАРСТВЕННАЯ СИСТЕМА ОБЕСПЕЧЕНИЯ ЕДИНСТВА ИЗМЕРЕНИЙ
Спектрометры ДФС-500, ДФС-500Н, ДФС-500В, ДФС-500Д, МФС-12 МЕТОДИКА ПОВЕРКИ МП 47-251-2019 Екатеринбург2019
ПРЕДИСЛОВИЕ
-
1 РАЗРАБОТАНА ФГУП «Уральский научно-исследовательский институт метрологии» (ФГУП «УНИИМ»)
-
2 ИСПОЛНИТЕЛЬ зам. зав. лаб. 251 Мигель П.В.
-
3 УТВЕРЖДЕНА директором ФГУП «УНИИМ» в 2019 г.
СОДЕРЖАНИЕ
Государственная система обеспечения единства измерений.
Спектрометры ДФС-500, ДФС-500Н, ДФС-500В, ДФС-500Д, МФС-12 Методика поверки
МП 47-251-2019
Настоящая методика поверки распространяется на спектрометры ДФС-500, ДФС-500Н, ДФС-500В, ДФС-500Д, МФС-12 (далее - спектрометры), выпускаемые Обществом с ограниченной ответственностью «ОКБ Спектр» (ООО «ОКБ Спектр»), Россия. Спектрометры подлежат первичной (до ввода в эксплуатацию и после ремонта) и периодической поверке.
Поверка спектрометров должна производиться в соответствии с требованиями настоящей методики. Интервал между поверками - один год.
2 Нормативные ссылкиВ настоящей методике поверки использованы ссылки на следующие документы:
-
- ГОСТ 12.2.007.0-75 «Система стандартов безопасности труда. Изделия электротехнические. Общие требования безопасности»;
-
- Приказ Минпромторга России от 02.07.2015 № 1815 «Об утверждении порядка проведения поверки средств измерений, требования к знаку поверки и содержанию свидетельств о поверке» с изменениями, утвержденными Приказом Минпромторга России от 28 декабря 2018 г. №5329;
-
- Приказ Минтруда России от 24.07.2013 № 328н «Об утверждении Правил по охране труда при эксплуатации электроустановок».
-
3.1 При поверке должны быть выполнены операции, указанные в таблице 1.
Таблица 1 - Операции поверки
|
Наименование операции |
Номер пункта ме-тодики поверки |
Обязательность проведения операций при | |
|
первичной поверке |
периодической поверке | ||
|
1 Внешний осмотр |
9.1 |
да |
да |
|
2 Опробование |
9.2 |
да |
да |
|
3 Проверка метрологических характеристик |
9.3 |
да |
да |
|
3.1 Проверка спектрального диапазона и выделяемого спектрального интервала |
9.3.1 |
да |
да |
|
3.2 Проверка относительного среднего квадратического отклонения результата измерений массовой доли элементов |
9.3.2 |
да |
да |
|
3.3 Проверка предела обнаружения фосфора |
9.3.3 |
да |
да |
|
3.4 Проверка предела обнаружения висмута |
9.3.4 |
да |
да |
|
3.5 Проверка чувствительности для фосфора |
9.3.5 |
да |
да |
|
3.6 Проверка чувствительности для висмута |
9.3.6 |
да |
да |
-
3.2 В случае невыполнения требований хотя бы к одной из операций проводится настройка и калибровка (градуировка) спектрометра в соответствии с руководствохм по эксплуатации (далее - РЭ). В дальнейшем все операции повторяются вновь, в случае повторного невыполнения требований хотя бы к одной из операций поверка прекращается, спектрометр бракуется, и выполняются операции по п. 10.3.
-
3.3 При наличии нескольких штативов допускается проводить поверку спектрометра с использованием только основного штатива.
-
4.1 При проведении поверки применяют:
-
- ГСО 8383-2003 стандартные образцы сталей углеродистых типов У7А, 20Л, 25Л, А20 (комплект СО УГ69-УГ74) с массовой долей фосфора от 0,002 до 0,1 %, интервал допускаемых значений абсолютной погрешности при Р = 0,95 от ±0,0012 до ±0,005 %;
-
- ГСО 8193-2002 стандартные образцы сталей типов 08кп, 18ЮА, С375Т, 38Х2МЮА, 60С2, 20ХН4ФА, 4ХЗВМФ. 27ХН2МФЛ (комплект СО РГ24-РГ31), интервал аттестованных значений массовой доли элементов от 0,0005 до 5 %, интервал границ абсолютной погрешности аттестованных значений при Р=0,95 от ±0,0003 до ±0,08 %;
-
- ГСО 3514-86/3519-86 стандартные образцы состава меди типа М2р, МЗр, М2, М3 (комплект М94), интервал аттестованных значений массовой доли элементов от 0,0046 до 0.081 %, интервал границ абсолютной погрешности аттестованных значений при Р=0,95 от ±0,0004 до ±0,007 %;
-
- ГСО 8957-2008 стандартные образцы состава меди черновой (комплект VSM1.3), интервал аттестованных значений массовой доли элементов от 0,00032 до 1,29 %, интервал границ абсолютной погрешности аттестованных значений при Р=0,95 от ±0,00003 до ±0,08 %.
-
4.2 Для контроля внешних влияющих факторов применяют средства измерений температуры и относительной влажности окружающей среды с диапазонами измерений, охватывающими условия по п. 7.
-
4.3 Средства измерений, применяемые для поверки, должны быть поверены, стандартные образцы должны иметь действующий паспорт.
-
4.4 Допускается применение других средств поверки, обеспечивающих требуемую точность и диапазоны измерений.
-
5.1 К проведению работ по поверке спектрометров допускаются лица, прошедшие специальное обучение и аттестованные в установленном порядке в качестве поверителя, изучившие РЭ на спектрометры и настоящую методику поверки.
При проведении поверки должны быть соблюдены требования Приказа Минтруда России от 24.07.2013 № 328н «Об утверждении Правил по охране труда при эксплуатации электроустановок», требования ГОСТ 12.2.007.0.
7 Условия поверки и подготовки к ней-
7.1 При проведении поверки должны быть соблюдены следующие условия:
-
- температура окружающей среды, °C от +15 до +25
-
- относительная влажность, % не более 80
-
8.1 Перед проведением поверки спектрометр необходимо подготовить к работе в соответствии с РЭ.
-
9.1 Внешний осмотр
При внешнем осмотре необходимо установить:
-
- отсутствие видимых повреждений;
-
- соответствие комплектности, указанной в РЭ;
-
- четкость обозначений и маркировки.
-
9.2 Опробование
-
9.2.1 Проверку работоспособности органов управления и регулировки спектрометра осуществляют при помощи встроенных систем контроля в соответствии с РЭ.
-
9.2.2 Проводят проверку идентификационных данных ПО спектрометра. Номер версии ПО проверяют следующим образом: в меню ПО спектрометра нажимают вкладку «О программе», в результате на экране отобразится номер версии ПО. Номер версии ПО должен соответствовать указанному в таблице 2.
-
Таблица 2 - Идентификационные данные программного обеспечения
|
Идентификационные данные (признаки) |
Значение |
|
Идентификационное наименование ПО |
WCcd |
|
Номер версии (идентификационный номер) ПО |
не ниже 2.4 |
-
9.3 Проверка метрологических характеристик
-
9.3.1 Проверка спектрального диапазона и выделяемого спектрального интервала
-
9.3.1.1 Проводят запись обзорного спектра эмиссии стандартного образца в диапазонах:
-
-
-
- от 177 от 420 нм для спектрометров моделей ДФС-500, ДФС-500Н, ДФС-500В, ДФС-500Д;
-
- от 192 до 420 нм для спектрометров моделей ДФС-500Д с дополнительным (воздушным) штативом, МФС-12.
-
9.3.1.2 Выводят на экран спектральный участок, соответствующий линии железа Fe:
-
- 178,47 нм - для спектрометров моделей ДФС-500, ДФС-500Н, ДФС-500В, ДФС-500Д;
-
- 192,58 нм - для спектрометров моделей ДФС-500Д с дополнительным (воздушным) штативом, МФС-12.
-
9.3.1.3 Убеждаются в наличии сигнала регистрируемой линии, превышающего как минимум в 3 раза уровень фона.
-
9.3.1.4 Вычисляют выделяемый спектральный интервал, как полуширину линии железа Fe 178,47 нм или 192,58 нм в зависимости от модели спектрометра с помощью программного обеспечения.
-
9.3.1.5 Выводят на экран спектральный участок, соответствующий линии железа Fe 420,2 нм и убеждаются в наличии сигнала регистрируемой линии, превышающего как минимум в 3 раза уровень фона.
-
9.3.1.6 Вычисляют выделяемый спектральный интервал, как полуширину линии железа Fe 420,2 нм.
-
9.3.1.7 Полученные значения выделяемого спектрального интервала должны удовлетворять требованиям таблицы 3.
-
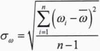
9.3.2 Проверка относительного среднего квадратического отклонения (далее - СКО) результата измерений массовой доли элементов
Рассчитывают среднее арифметическое значение массовой доли элемента по формуле

(1)
где aiij - j-ый результат измерений массовой доли i-ro элемента, %;
и - количество измерений.
-
9.3.2.3 Рассчитывают относительное СКО результата измерений массовой доли элементов ((Тй.) по формуле
юо

(п-1)
(2)
-
9.3.2.4 Полученные значения относительного СКО результата измерений массовой доли элементов должны удовлетворять требованиям таблицы 3.
-
9.3.3 Проверка предела обнаружения фосфора
-
9.3.3.1 При необходимости перед определением предела обнаружения фосфора выполняют калибровку спектрометра в соответствии с РЭ.
-
9.3.3.2 Проверку предела обнаружения фосфора проводят для спектрометров с нижней границей спектрального диапазона 177 нм. Для этого используют образец с массовой долей фосфора не более 0,005 %.
-
9.3.3.3 Подготавливают образец и производят не менее 5 измерений массовой доли фосфора на длине волны 178,2 нм.
-
9.3.3.4 Рассчитывают среднее арифметическое значение массовой доли фосфора по формуле
-
п
<а = -Ь!—, (3)
п
где «у, - z-ый результат измерений массовой доли фосфора в стандартном образце, %;
п - количество измерений.
-
9.3.3.5 Рассчитывают СКО результата измерений массовой доли фосфора по формуле

(4)
9.3.3.6
Рассчитывают предел обнаружения фосфора по формуле


(5)
-
9.3.3.7 Полученное значение предела обнаружения фосфора должно удовлетворять требованиям таблицы 3.
-
9.3.4 Проверка предела обнаружения висмута
-
9.3.4.1 При необходимости перед определением предела обнаружения висмута выполняют калибровку спектрометра в соответствии с РЭ.
-
9.3.4.2 Проверку предела обнаружения висмута проводят для спектрометров с нижней границей спектрального диапазона 192 нм. Для этого используют образец с массовой долей висмута не более 0,005 %.
-
9.3.4.3 Подготавливают образец и производят не менее 5 измерений массовой доли висмута на длине волны 306,8 нм.
-
9.3.4.4 Рассчитывают среднее арифметическое значение массовой доли висмута по формуле
п
-
(6)
где со1 - z-ый результат измерений массовой доли висмута в стандартном образце, %;
и - количество измерений.
-
9.3.4.5 Рассчитывают СКО результата измерений массовой доли висмута по формуле
<Ц II 1 ’
1 п-1
-
9.3.4.6 Рассчитывают предел обнаружения висмута по формуле
(7)

(8)
Полученное значение предела обнаружения висмута должно удовлетворять требованиям таблицы 3.
-
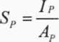
9.3.5 Проверка чувствительности для фосфора
-
9.3.5.1 Проверку чувствительности для фосфора проводят для спектрометров с нижней границей спектрального диапазона 177 нм.
-
9.3.5.2 Проверку чувствительности проводят путем измерений относительной интенсивности эмиссионного излучения фосфора с использованием стандартного образца с аттестованным значением массовой доли фосфора в диапазоне от 0,004 до 0,05 %.
-
9.3.5.3 Проводят не менее 5 измерений относительной интенсивности выходного сигнала для фосфора на длине волны 178,2 нм и рассчитывают чувствительность по формуле

-
(9)
где 1р - среднее арифметическое значение относительной интенсивности выходного сигнала фосфора на длине волны 178,2 нм, рассчитанное по формуле
п
п
(10)
Ip, - i-ый результат измерений относительной интенсивности выходного сигнала фосфора в стандартном образце;
п - количество измерений;
Аг - аттестованное значение массовой доли фосфора в стандартном образце, %.
-
9.3.5.4 Полученное значение чувствительности для фосфора должно удовлетворять требованиям таблицы 3.
-
9.3.6 Проверка чувствительности для висмута
-
9.3.6.1 Проверка чувствительности для висмута проводят для спектрометров с нижней границей спектрального диапазона 192 нм .
-
9.3.6.2 Проверку чувствительности проводят путем измерений относительной интенсивности эмиссионного излучения висмута с использованием стандартного образца с аттестованным значением массовой доли висмута в диапазоне от 0,001 до 0,01 %.
-
9.3.6.3 Проводят не менее 5 измерений относительной интенсивности выходного сигнала для висмута на длине волны 306,8 нм и рассчитывают чувствительность по формуле
-
S„,=^- (11)
где let - среднее арифметическое значение относительной интенсивности выходного сигнала висмута на длине волны 306,8 нм, рассчитанное по формуле
I --- (12)
И
IHi - i-ый результат измерений относительной интенсивности выходного сигнала висмута в стандартном образце;
п - количество измерений;
АН1 - аттестованное значение массовой доли висмута в стандартном образце, %.
-
9.3.6.4 Полученное значение чувствительности для висмута должно удовлетворять требованиям таблицы 3.
Таблица 3 - Метрологические характеристики
|
Наименование характеристи ки |
Значения для моделей | |||||
|
ДФС- 500 |
ДФС- 500Н |
ДФС- 500В |
ДФС- 500Д |
ДФС-500Д2’ |
МФС- 12 | |
|
Спектральный диапазон0, нм |
от 177 до 420 |
от 192 до 420 | ||||
|
Выделяемый спектральный интервал, нм, не более |
0,03 | |||||
|
Предел допускаемого относительного среднего квадратического отклонения результата измерений массовой доли элементов, %*’ ’ |
10 | |||||
|
Предел обнаружения фосфора, %, не более |
0,001 |
- | ||||
|
Предел обнаружения висмута, |
- |
0,002 | ||||
|
Наименование характеристи- ки |
Значения для моделей | |
|
ДФС- ДФС- ДФС- ДФС- 500 500Н 500В 500Д |
ДФС- МФС- 500Д2’ 12 | |
|
%, не более | ||
|
Чувствительность для фосфора, не менее4’ |
1 |
- |
|
Чувствительность для висмута, не менее5’ |
- |
8 |
|
” По дополнительному заказу спектрометры могут быть оснащены приемником на спектральную область (589±3) нм для анализа натрия
| ||
-
10.1 Оформляют протокол проведения поверки по форме Приложения А настоящей методики поверки.
-
10.2 При положительных результатах поверки спектрометр признают пригодным к применению и выдают свидетельство о поверке согласно Приказа Минпромторга России от 02.07.2015 № 1815 с изменениями утвержденными Приказом Минпромторга России от 28 декабря 2018 г. №5329. Знак поверки наносится на лицевую часть спектрометра.
-
10.3 При отрицательных результатах поверки выдают извещение о непригодности согласно Приказа Минпромторга России от 02.07.2015 № 1815 с изменениями утвержденными Приказом Минпромторга России от 28 декабря 2018 г. №5329 с указанием причин. Спектрометр к применению не допускают.
Разработчик:

Зам. зав. лаб. 251 ФГУП «УНИИМ»
ПРИЛОЖЕНИЕ А(рекомендуемое)
ФОРМА ПРОТОКОЛА ПОВЕРКИ
ПРОТОКОЛ ПОВЕРКИ №_______
Средство измерении: Спектрометр_______________, зав.№____________________
Документ на поверку: МП 47-251-2019 «ГСИ. Спектрометры ДФС-500, ДФС-500Н, ДФС-500В, ДФС-500Д, МФС-12. Методика поверки».
Информация об использованных средствах поверки:______________________
Условия проведения поверки:
-
- температура окружающего воздуха, °C ____________
-
- относительная влажность воздуха, % ____________
Результаты внешнего осмотра_______________________________________________
Результаты опробования______________________________________________________
Проверка метрологических характеристик:Таблица А.1 -
диапазона и выделяемого спектрального диапазона
|
Характеристика |
Соответствует (+/-) |
|
Спектральный диапазон | |
|
Выделяемый спектральный интервал |
относительного СКО
й массовой доли элементов
Таблица А.2 -
|
Элемент |
Результаты измерений массовой доли, % |
Среднее арифметическое значение результатов измерений, % |
Значение относительного СКО результата измерений массовой доли элемента, % |
Предел допускаемого относительного СКО результата измерений массовой доли элементов, % |
|
10 | ||||
Таблица А.З - Проверка предела обнаружения
|
Результаты измерений массовой доли, % |
Среднее арифметическое значение результатов измерений, % |
СКО результатов измерений массовой доли,% |
Значение предела обнаружения, % |
Нормируемое значение предела обнаружения, %, не более |
Таблица А.4 - Проверка чувствительности
|
Результаты измерений относительной интенсивности выходного сигнала |
Среднее арифметическое значение относительной интенсивности выходного сигнала |
Аттестованное значение массовой доли фосфора, % |
Чувствительность, %'! |
Допускаемое значение чувствительности, о/о’1, не менее |
Результат проведения поверки: Годен / Не годен
(нужное подчеркнуть)
Выдано Свидетельство о поверке / Извещение о непригодности
(нужное подчеркнуть)
от «_____»_________________20___г., №___________________________
Поверитель _____
(Ф.И.О.) (подпись)
Организация, проводившая поверку_______________________
12
Рекомендуется после каждого измерения монолитные образцы охлаждать в воде, а затем насухо вытирать ве тошью.
Конкретные элементы выбирают исходя из области применения спектрометра и наличии калибровки на эти элементы.
