Методика поверки «ГСИ.Установка поверочная УПВ-140» (МП 0927-1-2019)
ФЕДЕРАЛЬНОЕ АГЕНТСТВО ПО ТЕХНИЧЕСКОМУ РЕГУЛИРОВАНИЮ И МЕТРОЛОГИИ
Федеральное государственное унитарное предприятие «Всероссийский научно-исследовательский институт расходометрии»
Государственный научный метрологический центр
ФГУП «ВНИИР»
по развитию
А.С. Тайбинский
2019 г.
ИНСТРУКЦИЯ
Государственная система обеспечения единства измерений
Установка поверочная УПВ-140
Методика поверки
МП 0927-1-2019
Начальник научно-
исследовате ого отдела

Р.А. Корнеев
тел. отдела: (843) 272-12-02
г. Казань
2019 г.
Настоящая инструкция распространяется на установку поверочную УПВ-140 (далее -установка), предназначенные для измерения, хранения и передачи единиц объема жидкости в потоке и объемного расхода жидкости, и устанавливает методику и последовательность ее первичной и периодической поверок.
Интервал между поверками - 1 год.
1 ОПЕРАЦИИ ПО ПОВЕРКЕПри проведении поверки выполняют следующие операции:
-
- внешний осмотр (п.6.1);
-
- опробование (п.6.2);
-
- подтверждение соответствия программного обеспечения СИ (п.6.3).
-
- определение метрологических характеристик (п.6.4).
-
2.1 При проведении поверки применяют следующие средства поверки:
-
- рабочий эталон 2-го разряда в соответствии с частью 1 Государственной поверочной схемы для средств измерений массы и объема жидкости в потоке, объема жидкости и вместимости при статических измерениях, массового и объемного расходов жидкости, утвержденной приказом Госстандарта от 07.02.2018 № 256 с пределами допускаемой относительной погрешности не более ±0,11%.
-
- калибратор многофункциональный MC5-R (регистрационный номер 22237-08);
-
- частотомер электронно-счетный 43-85/3 (регистрационный № 32359-06)
-
2.2 Допускается применение аналогичных средств поверки, обеспечивающих определение метрологических характеристик поверяемых средств измерений с требуемой точностью.
-
3.1 При проведении поверки соблюдают требования:
-
- правил эксплуатации электроустановок потребителей;
-
- правил техники безопасности при эксплуатации электроустановок потребителей;
-
- правил безопасности при эксплуатации средств поверки и установки, приведенных в их эксплуатационных документах.
-
3.2 К проведению поверки допускаются лица, изучившие настоящую инструкцию, руководство по эксплуатации установки и средств поверки и прошедшие инструктаж по технике безопасности.
-
4.1 При проведении поверки соблюдают следующие условия:
Окружающая среда - воздух с параметрами:
-
- температура окружающей среды, °C (20 ± 10)
-
- относительная влажность окружающей среды, % от 30 до 80
-
- атмосферное давление, кПа от 86 до 107
Поверочная жидкость - вода по СанПиН 2.1.4.1074-2001 с параметрами:
-
- температура, °C (20 ± 10)
-
- давление, МПа, не более 0,5
-
- изменение температуры измеряемой среды
Попадание воздуха в измерительный участок установки не допускается.
-
4.2 Средства измерений температуры и давления измеряемой среды входящие в состав установки, должны иметь действующее свидетельство о поверке.
При подготовке к поверке выполняют следующие работы:
-
- проверка выполнения условий разделов 2, 3 и 4 настоящей инструкции;
-
- подготовка к работе установки и средств поверки согласно их эксплуатационным документам;
-
- проверка герметичности соединений и узлов гидравлической системы рабочим давлением. Систему считают герметичной, если при рабочем давлении в течение 5 минут не наблюдается течи и капель поверочной жидкости, а также отсутствует падение давления по манометру (преобразователю давления);
-
- удаление воздуха из гидравлической системы установки.
-
6.1 Внешний осмотр
При внешнем осмотре устанавливают соответствие установки следующим требованиям:
-
- комплектность и маркировка должны соответствовать эксплуатационной документации;
-
- на установке не должно быть внешних механических повреждений, влияющих на ее работоспособность.
Результаты поверки считают положительным, если маркировка и комплектность соответствует требованиям эксплуатационных документов, и на установке отсутствуют механические повреждения, препятствующие ее применению.
-
6.2 Опробование
При опробовании определяют работоспособность установки и ее составных частей в соответствии с их эксплуатационными документами. При этом, изменяя расход поверочной жидкости, убеждаются по показаниям установки в изменении значений расхода жидкости соответствующим образом.
Результаты опробования установки считают положительным, если при изменении расхода жидкости, показания установки изменяются соответствующим образом.
-
6.3 Подтверждение соответствия программного обеспечения СИ
При проведении поверки выполняют операцию подтверждения соответствия программного обеспечения заявленным идентификационным данным.
После запуска программы, на экране монитора в верхнем левом углу окна программы, отображается наименование и номер версии ПО.
Результат подтверждения соответствия программного обеспечения считается положительным, если полученные идентификационные данные программного обеспечения установки (наименование и номер версии ПО) соответствует идентификационным данным, указанным в разделе «Программное обеспечение» описания типа на установку поверочную УПВ-140.
-
6.4 Определение метрологических характеристик
-
6.4.1 Диапазон измерения расхода установки определяется нижним и верхним значениями измеряемого установкой расхода жидкости:
-
-
- верхний предел определяется наибольшим значением расхода, зафиксированным средством измерения расхода жидкости, входящим в состав установки;
-
- нижний предел определяется наименьшим значением расхода, зафиксированным средством измерения расхода жидкости, входящим в состав установки;
Для этого согласно руководству по эксплуатации устанавливают поочередно наименьший и наибольший расходы поверочной жидкости в измерительной линии установки, и не менее 20 секунд регистрируют значение расхода.
Результат считается удовлетворительным, если показания установки стабильны (не превышают ±5% от номинального значения) в каждой точке расхода, и наименьший зафиксированный расход соответствует 0,02 м3/ч, а наибольший 140 м3/ч.
-
6.4.2 Определение относительной погрешности частотно-импульсного измерительного канала
При определении погрешности частотно-импульсными каналов собирают схему, указанную на рисунке 1.
Стробирующий импульс
±

Сч&тчик импильсоб
|
fенеротор |
• | П П Т 1 п п — Ь _ »__1____»- JUL- |
ССОИ |
ПК | |
|
инпульссй |
~F 1К пК | |||

Рисунок 1
Работу частотомера синхронизируют с сигналами от клемм «Доза» предусмотренных в ССОИ установки, которые формируют интервал измерения (стробирующий импульс).
На генераторе прямоугольных импульсов устанавливают последовательно значения частоты выходного сигнала равные 100, 2500 и 5000 Гц.
Программу оператора запускают в режиме поверки средства измерения с частотноимпульсным сигналом. Задают интервал измерения с временем отсечки, так чтобы набранное количество импульсов было не менее 10000 импульсов. После команды «Начать измерение» система сбора и обработки информации (далее - ССОИ) отрабатывает команду «старт» на начало подсчета импульсов. После истечении необходимого интервала времени отрабатывает команду «стоп» - на завершение подсчета импульсов. Набранное количество импульсов ССОИ регистрируемое в протоколе измерения сравнивают с количеством импульсом подсчитанное частотомером. Измерения повторяют не менее пяти раз на каждой частоте следования импульсов.
Операцию повторяют для всех частотно-импульсного измерительных каналов установки. Относительная погрешность частотно-импульсного измерительного канала, 8ЧК, %,
вычисляют по формуле:

'Nk-N3

(1)
где Nk - количество импульсов, измеренное установкой, ипм;
N3 - количество импульсов, по показаниям частотомера, имп.
Фиксируют наибольшее полученное значение относительной погрешности 8ЧК, %, полученное из серии измерений.
-
6.4.3 Определение погрешности канала измерения временных интервалов
При определении погрешности канала измерения временных интервалов частотомер включают в режим измерения временных интервалов и синхронизируют его работу с сигналами «старт» и «стоп» предусмотренных на установке, которые формируют интервал измерения. Запускают программу ССОИ установки и задают временные интервалы измерений равные 30, 100 и 600 сив рабочем режиме поверки СИ проводят измерения (допускается проводить измерения без наличия расхода измеряемой среды).
Фиксируют показания частотомера и установки. Количество измерений должно быть не менее пяти.
Относительную погрешность канала измерения временных интервалов, <5ВК, %, вычисляют по формуле:
< (2)где tycr- время, измеренное установкой, с. t4 - время, измеренное частотомером, с.
Фиксируют наибольшее значение <5ВК из серии измерений.
-
6.4.4 Определение относительной погрешности расходомеров электромагнитных при измерении объема жидкости в потоке и объемного расхода жидкости
Определение относительной погрешности расходомеров электромагнитных (входящих в состав установки) при измерении объема жидкости в потоке и объемного расхода жидкости проводят путем сличения показаний расходомеров и показаний полученных с использованием рабочего эталона 1 разряда (далее ЭТ) единиц объема жидкости в потоке и объемного расхода жидкости с демонтажем расходомеров или эталона сравнения (входящего в состав ЭТ) на месте эксплуатации.
Для определения относительной погрешности расходомеров электромагнитных (входящих в состав установки) при измерении объема жидкости в потоке и объемного расхода жидкости выполняют подключение согласно руководству по эксплуатации на расходомеры и/или установку.
Определение относительной погрешности расходомеров электромагнитных при измерении объема жидкости в потоке и объемного расхода жидкости проводят путем сличения показаний установки и показаний ЭТ.
Относительную погрешность расходомеров определяют на 5 равноудаленных значениях расхода жидкости, включая наименьший и наибольший расход жидкости установки.
Относительную погрешность расходомеров, в зависимости от номинального диаметра, определяют на значениях расхода жидкости, приведенных в таблице 1.
Таблица - 1
|
Тип расходомера |
Номинальный диаметр |
Значения расхода жидкости м3/ч |
|
Расходомер электромагнитный OPTIFLUX серии 5000 с конвектором сигналов IFC 300 |
DN 10 |
0,02; 0,08; 0,25; 0,5; 1; 2 |
|
Расходомер электромагнитный OPTIFLUX серии 5000 с конвектором сигналов IFC 300 |
DN 25 |
2; 5; 10; 20 |
|
Расходомер электромагнитный OPTIFLUX серии 5000 с конвектором сигналов IFC 300 |
DN 80 |
20;50;100;140 |
Расход задается с точностью ±2 %. При каждом значении объемного расхода жидкости проводят не менее 5 измерений. Время измерения не менее 30 с.
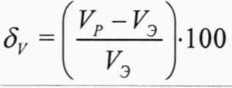
Относительную погрешность при измерении объема жидкости в потоке , %, вычисляют по формуле:

где Vp - объем жидкости в потоке, измеренный установкой, дм3; Уэ - объем жидкости в потоке, по показаниям ЭТ, дм3.
Фиксируют наибольшее полученное значение^ , %, полученное из серии измерений Относительную погрешность при измерении объемного расхода жидкости, приравнивают к относительной погрешности при измерении объема жидкости в потоке.
-
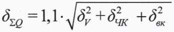
6.4.5 Определение относительной погрешности установки при измерении объема жидкости в потоке и объемного расхода жидкости
Относительная погрешность установки при измерении объема жидкости в потоке , %,
вычисляют по формуле:

(4)
где - наибольшее значение относительной погрешности при измерении объема жидкости в потоке, полученное по п. 6.4.4, %;
дчк - наибольшее значение относительной погрешности частотно-импульсного измерительного канала, полученное по п. 6.4.2, %.
Относительная погрешность установки при измерении объемного расхода жидкости ,%, вычисляют по формуле:

(5)
где <5вк - наибольшее значение относительной погрешности канала измерения временных интервалов, полученное по п. 6.4.3, %;
Результаты считают положительными, если относительная погрешность при измерении объема жидкости в потоке и объемного расхода жидкости не превышает ± 0,5% в диапазоне расходов от 0,02 до 0, 08 м3/ч включительно и ± 0,33% в диапазоне расходов от 0,08 до 140 м3/ч.
7 ОФОРМЛЕНИЕ РЕЗУЛЬТАТОВ ПОВЕРКИ-
7.1 Результаты поверки, измерений и вычислений вносят в протокол поверки установки произвольной формы.
-
7.2 При положительных результатах поверки установки оформляют свидетельство о поверке в соответствии с формой, утвержденной приказом Минпромторга России № 1815 от 02.07.2015, к которому прилагают протокол поверки. Знак поверки наносится на свидетельство о поверке, а также на пломбы, установленные на фланцевые соединения средств измерений объемного расхода жидкости и объема жидкости в потоке установки.
-
7.3 При отрицательных результатах поверки установку к применению не допускают, свидетельство аннулируют и выдают извещение о непригодности с указанием причин в соответствии с процедурой, утвержденной приказом Минпромторга России № 1815 от 02.07.2015.
6
