Методика поверки «ГСОЕИ. Уровнемеры лазерные LLT100» (МП 0753-7-2018)
ФЕДЕРАЛЬНОЕ АГЕНТСТВО ПО ТЕХНИЧЕСКОМУ РЕГУЛИРОВАНИЮ И МЕТРОЛОГИИ
Федеральное государственное унитарное предприятие «Всероссийский научно-исследовательский институт расходометрии»
Государственный научный метрологический центр
ФГУП «ВНИИР»

Государственная система обеспечения единства измерений
УРОВНЕМЕРЫ ЛАЗЕРНЫЕ
LLT100
Методика поверки
МП 0753-7-2018
Начальник отдела НИО-7

Казань 2019 г.
ZjНастоящая методика поверки распространяется на уровнемеры лазерные LLT100 (далее - уровнемер), предназначенные для бесконтактного измерения уровня и расстояния до гранулированных и порошкообразных твердых материалов и жидкостей.
Настоящий документ устанавливает методику первичной и периодической поверки.
Поверка осуществляется в диапазоне измерений, указанном в паспорте уровнемера. Интервал между поверками - 3 года.
1 ОПЕРАЦИИ ПОВЕРКИ-
1.1 При проведении поверки уровнемеров должны быть выполнены операции.
указанные в таблице 1.
Таблица 1
Наименование операции |
Номер пункта документа |
Проведение операции при | |
первичной поверке |
периодической поверке | ||
1 |
2 |
3 |
4 |
Внешний осмотр |
6.1 |
Да |
Да |
Опробование |
6.2 |
Да |
Да |
Определение абсолютной и приведенной погрешности измерений уровня в лабораторных условиях |
6.3 |
Да |
Да |
Определение абсолютной и приведенной погрешностей измерений уровня на месте эксплуатации |
6.4 |
Нет |
Да |
2 СРЕДСТВА ПОВЕРКИ
-
2.1 При проведении поверки уровнемеров должны применяться следующие основные и вспомогательные средства поверки.
-
2.1.1 Рулетка измерительная металлическая 2 класса точности в диапазоне значений от 0 до 100 м по ГОСТ 7502-98 (далее - рулетка с измерительная).
-
2.1.2 Рулетка измерительная металлическая с грузом 2 класса точности в диапазоне значений от 0 до 100 м по ГОСТ 7502-98 (далее - рулетка с грузом).
-
2.1.3 Термометр метеорологический стеклянный по ГОСТ 112-78.
-
2.1.4 Психрометр аспирационный по [1].
-
2.1.5 Барометр-анероид БАММ-1.
-
2.2 Все применяемые эталоны должны быть аттестованы, СИ должны иметь действующий знак поверки и (или) свидетельство о поверке, и (или) запись в паспорте (формуляре) СИ. заверенной подписью поверителя и знаком поверки.
-
2.3 Допускается применение других основных и вспомогательных средств поверки с аналогичными или лучшими метрологическими характеристиками. Типы применяемых средств поверки должны быть утверждены в соответствии [2], внесены в Федеральный информационный фонд по обеспечению единства измерений, поверены в соответствии с [3] и иметь действующие свидетельства о поверке.
-
3.1 Поверку уровнемеров проводит лицо, прошедшее обучение на курсах повышения квалификации и аттестованное в качестве поверителя в установленном порядке.
-
3.2 К поверке допускают лица, изучившие настоящий документ, эксплуатационную документацию на уровнемеры, а также прошедших инструктаж по безопасности труда в соответствии с ГОСТ 12.0.004-2015.
-
3.3 Соблюдать требования правил техники безопасности, указанные в технической документации на поверяемое средство измерений, применяемые средства поверки и вспомогательное оборудование.
-
4.1 Предоставляемые на поверку уровнемеры комплектуются (по требованию поверителя) следующими документами:
-
- настоящей методикой поверки, утвержденной в установленном порядке;
-
- эксплуатационной и технической документацией;
-
- протоколами предшествующей поверки.
-
4.2 При поверке соблюдают следующие условия:
-
- температура окружающего воздуха, при поверке в лаборатории от плюс 15 до плюс 25 °C;
-
- температура окружающего воздуха, при поверке на месте эксплуатации от плюс 5 до плюс 30 °C;
-
- относительная влажность воздуха от 30 до 80 %; атмосферное давление от 84,0 до 106,7 кПа;
-
- напряжение питающей сети 220±22 В;
-
- частота питающей сети 50±0,5 Гц;
-
- отсутствие внешних вибраций;
-
- отсутствие внешних магнитных полей.
Перед проведением поверки должны быть выполнены следующие
подготовительные работы:
-
- подготавливают поверяемые средства измерений и средства поверки в соответствии с эксплуатационной документацией;
-
- выдерживают поверяемые средства измерений и средства поверки в течение 4-х ч в условиях, указанных в п 4.2;
-
- проверяют наличие, комплектность и состояние эксплуатационных документов;
-
- проверяют соблюдение условий п 4.2.
-
6 ПРОВЕДЕНИЕ ПОВЕРКИ
При внешнем осмотре должно быть установлено:
-
- соответствие уровнемеров требованиям технической документации в части маркировки,упаковки,транспортирования и хранения;
-
- отсутствие повреждений и дефектов, ухудшающих внешний вид уровнемеров и препятствующих проведению поверки;
- целостность шнуров электропитания и кабелей.
6.2 Опробование-
6.2.1 Включают уровнемер в соответствии с руководством по эксплуатации.
-
6.2.2 Выдерживают уровнемер во включенном состоянии не менее 30 минут.
-
6.2.3 Считывают показания уровнемера в соответствии с руководством по эксплуатации. Результаты опробования считаются положительными, если корректно отображаются значения уровня.
-
6.2.4 Определение идентификационных данных ПО уровнемера проводят путем считывания данных с ЖК дисплея при включении питания уровнемера. Полученные данные сравнивают со значениями, указанными в описании типа уровнемеров. Результат считается положительным, если полученные идентификационные данные соответствуют значениям, указанным в описании типа уровнемеров.
-
6.3.1 Определение погрешности проводят с помощью рулетки измерительной в пяти контрольных точках.
-
6.3.2 Монтируют уровнемер горизонтально в направлении вертикальной отражающей поверхности на расстоянии 0,5 м.
-
6.3.3 Перемещают отражающую поверхность в направлении от уровнемера и измеряют при помощи рулетки измерительной расстояние от поверхности до фланца уровнемера.
-
6.3.4 Значение абсолютной погрешности измерений уровня AHj5 мм, вычисляют по формуле:
(1)
где - показание поверяемого уровнемера, мм;
Н3- показание рулетки измерительной, мм.
-
6.3.5 За абсолютную погрешность измерений уровня принимают наибольшее значение АН.
-
6.3.6 Значение приведенной погрешности измерений уровня £Н, %, вычисляют по формуле:
max
(2)
где Н'/ - показание поверяемого уровнемера, мм;
Н3- показание рулетки измерительной, мм;
Lmax - максимальное значение диапазона измерений уровнемера, мм.
-
6.3.7 За приведенную погрешность измерений уровня принимают наибольшее значение <5Н.
-
6.3.8 Уровнемер считают выдержавшим поверку, если полученные значения абсолютной погрешности АН при расстоянии до поверхности от 0,5 до 30 м не превышают ±11 мм и значения приведенной погрешности АН. при расстоянии до поверхности от 30 до 100 м не превышают ±0,03 %.
-
6.3.9 Результаты измерений уровня заносят в протокол поверки, форма которого приведена в приложении А.
-
6.4.1 Допускается проводить периодическую поверку уровнемера без демонтажа на месте эксплуатации при выполнении следующих условий:
среда, где установлены уровнемеры, соответствует требованиям эксплуатационной документации на уровнемеры, и измеряемый продукт допускает разгерметизацию меры вместимости;
-
- измеряемый продукт - жидкость;
-
- измеряемый продукт не является токсичным и кипящим при атмосферном давлении и температуре окружающей среды, в мере вместимости отсутствует избыточное давление;
-
- поверхность измеряемого продукта должна быть спокойной.
-
6.4.2 Определение погрешности измерений уровня жидкости на месте эксплуатации проводят при помощи рулетки с грузом в пяти контрольных точках рабочего диапазона уровнемера.
-
6.4.3 Включают уровнемер и фиксируют на нем нулевую контрольную отметку.
-
6.4.4 Опускают рулетку с грузом через измерительный люк резервуара и по ее шкале фиксируют высоту поверхности раздела «жидкость - газовое пространство» (далее - высота пустого пространства).
-
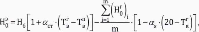
6.4.5 Поправку на несоответствие показаний поверяемого уровнемера и рулетки с грузом в нулевой контрольной отметке AHQ, мм, вычисляют по формуле:
ДН0=Нд-Нр, (3)
где Нр - показание уровнемера, мм;
Hq - показание рулетки с грузом, мм.
Примечание - При применении рулетки с грузом за значение , мм, принимают среднее арифметическое значение результатов измерений уровня, вычисляемое по формуле:

где Нб - базовая высота резервуара, значение которой принимают по протоколу поверки резервуара, мм:
(7ст - температурный коэффициент линейного расширения материала стенки резервуара, 1/°С;
as - температурный коэффициент линейного расширения материала рулетки с грузом, 1/°С;
Т" - температура воздуха при поверке резервуара, значение которой принимают по протоколу поверки резервуара, °C;
Т - температура воздуха при измерении высоты газового пространства, °C;
Hq - высота газового пространства при i-м измерении, мм;
m - число измерений высота газового пространства, принимаемое не менее пяти.
-
6.4.6 Повышают уровень жидкости до контрольной отметки, устанавливаемой по рулетке с грузом, затем уровень жидкости понижают до каждой контрольной отметки, снимают показания уровнемера.
-
6.4.7 Уровень жидкости Ну, мм, измеренный уровнемером в j-й контрольной отметке, с учетом поправки вычисляют по формуле:
Hi=(Hi)-AH0’ (5)
где (ну j - показания поверяемого уровнемера, мм;
j - номер контрольной отметки, принимаемый из ряда: 1,2,3,...п;
ДН0 - поправка, вычисляемая по формуле (3), мм.
-
6.4.8 Абсолютную погрешность уровнемера в j-й контрольной отметке АН., мм, при расстоянии до поверхности продукта от 0,5 до 30 м, вычисляют по формуле:
= (6) где НУ - показание поверяемого уровнемера, мм;

- показание рулетки с грузом, мм, вычисляют по формуле: где экспликация величин Hg,^, а$, Т”, Т^, Hg,m к формуле (4) приведена в примечании к 6.4.5.

(7)
j - номер контрольной отметки, принимаемый из ряда: 1,2,3,... п;
п - число контрольных отметок, принимаемое не менее пяти.
-
6.4.9 Приведенную погрешность уровнемера в j-й контрольной отметке , %,
при расстоянии до поверхности продукта от 30 до 100 м, вычисляют по формуле:
н'у-нэ
----100, (8)
max
где Н'у - показание поверяемого уровнемера, мм;
- показание рулетки с грузом, вычисляемое по формуле (7), мм;
Lmax~ максимальное значение диапазона измерений уровнемера, мм.
-
6.4.10 За абсолютную погрешность измерений уровня, при расстоянии до поверхности продукта от 0.5 до 30 м. принимают наибольшее значение AFT.
-
6.4.11 За приведенную погрешность измерений уровня, при расстоянии до поверхности продукта от 30 до 100 м, принимают наибольшее значение (5TL.
-
6.4.12 Уровнемер считают выдержавшим поверку, если полученные значения абсолютной погрешности не превышают ±11 мм, и полученные значения приведенной погрешности не превышают ±0,03 %.
-
6.4.13 Результаты измерений уровня заносят в протокол поверки, форма которого приведена в приложении А.
-
7.1 При проведении поверки составляют протокол с указанием всех значений результатов измерений.
-
7.2 При положительных результатах поверки уровнемеров оформляют свидетельство о поверке, заверенное подписью поверителя и знаком поверки в соответствии с порядком, установленным приказом Минпромторга России от 2 июля 2015 г. №1815 [3].
-
7.3 Отрицательные результаты поверки уровнемеров оформляются согласно приказу Минпромторга России от 2 июля 2015 г. № 1815 [3].
ПРИЛОЖЕНИЕ А
(обязательное)
Форма протокола поверки уровнемера лазерного LLT100
ПРОТОКОЛ ПОВЕРКИ
Наименование средства измерений:
Тип, модель, изготовитель:
Заводской номер:
Владелец:
Предел измерения:
Наименование и адрес заказчика:
Методика поверки:
Место проведения поверки:
Поверка выполнена с применением:
Результаты проверки идентификационных
данных ПО уровнемера:
Условия проведения поверки:Температура окружающей среды: __°C
Атмосферное давление: ____кПа
Относительная влажность воздуха: _____%
должность лица, проводившего поверку
подпись
ФИО
Таблица А.1
№ |
Показание поверяемого уровнемера, мм |
Показание эталона, мм |
Погрешность уровнемера |
1 | |||
2 | |||
3 | |||
4 | |||
5 | |||
6 |
Дата поверки______________
БИБЛИОГРАФИЯ
-
[1] ТУ 25.1607.054-85
-
[2] Приказ Министерства промышленности и торговли России от 30.11.2009 №1081
[3] Приказ Министерства промышленности и торговли России от 02.06.2015 №1815
Психрометр аспирационный МВ-4-М, МВ-4-2М, М-34, М-34-М.
Об утверждении Порядка проведения испытаний стандартных образцов или средств измерений в целях утверждения типа, Порядка утверждения типа стандартных образцов или типа стандартных образцов или типа средств измерений, установления и изменения срока действия указанных свидетельств и интервала между поверками средств измерений, требований к знакам утверждения типа стандартных образцов или типа средств измерений и порядка их нанесения.
Об утверждении Порядка проведения поверки средств измерений, требования к знаку поверки и содержанию свидетельства о поверке.
ФГУП«ВНИИР»
Страница 9 из 9