Методика поверки «ГСОЕИ. Тепловизоры R450» (РТ-МП-6278-442-2019)

ФЕДЕРАЛЬНОЕ АГЕНТСТВО ПО ТЕХНИЧЕСКОМУ РЕГУЛИРОВАНИЮ И МЕТРОЛОГИИ
ФЕДЕРАЛЬНОЕ БЮДЖЕТНОЕ УЧРЕЖДЕНИЕ «ГОСУДАРСТВЕННЫЙ РЕГИОНАЛЬНЫЙ ЦЕНТР СТАНДАРТИЗАЦИИ, МЕТРОЛОГИИ И ИСПЫТАНИЙ В Г. МОСКВЕ И МОСКОВСКОЙ ОБЛАСТИ» (ФБУ «РОСТЕСТ-МОСКВА»)
УТВЕРЖДАЮ
генерального директора Москва»
Меньшиков

«07» ноября 2019 г.
Государственная система обеспечения единства измерений
ТЕПЛОВИЗОРЫ R450
Методика поверки
РТ-МП-6278-442-2019 г. Москва
2019 г.
Настоящая методика распространяется на тепловизоры R450 (далее - тепловизоры), изготовленные «Nippon Avionics Со. Ltd.», (Япония), и устанавливает методы и средства их первичной и периодической поверок.
Данная методика поверки разработана на основе ГОСТ Р 8.619-2006 «ГСИ. Приборы тепловизионные измерительные. Методика поверки»
Интервал между поверками 1 год.
1 Операции поверки-
1.1 При проведении первичной и периодической поверки выполняют операции,
1.3 При получении отрицательного результата в процессе выполнения любой из операций поверки тепловизор признают непригодным и его поверку прекращают.
указанные в таблице 1. Таблица 1 - Операции поверки
Наименование операции |
Номер пункта методики поверки |
Проведение операции при | |
первичной поверке |
периодической поверке | ||
1 Внешний осмотр |
5.1 |
Да |
Да |
2 Опробование, проверка версии встроенного программного обеспечения (ПО) |
5.2 |
Да |
Да |
3 Определение угла поля зрения по горизонтали и по вертикали |
5.3 |
Да |
Нет |
4 Проверка диапазона и определение погрешности измерений температуры |
5.4 |
Да |
Да |
5 Определение порога температурной чувствительности |
5.5 |
Да |
Нет |
1.2 Периодическую поверку тепловизора допускается проводить на любом поддиапазоне на основании письменного заявления владельца тепловизора. Соответствующая запись должна быть сделана в свидетельстве о поверке.
2 Средства поверки-
2.1 При проведении поверки применяют средства измерений, указанные в таблице 2.
Таблица 2 - Средства поверки
Номер пункта методики поверки |
Наименование и тип (условное обозначение) основного или вспомогательного средства поверки, обозначение нормативного документа, регламентирующего технические требования, и (или) метрологические и основные технические характеристики средства поверки |
5.3 |
эталонный протяженный излучатель 2-го разряда по ГОСТ 8.558-2009, в диапазоне от плюс 30 до плюс 95 °C; тепловой тест-объект с переменной щелью и тепловой тест-объект с метками, излучательная способность не менее 0,96; рулетка измерительная металлическая Р5УЗД ГОСТ 7502-98, 3-й класс точности |
5.4 |
эталонные источники излучения в виде моделей черного тела 2-го разряда по ГОСТ 8.558-2009 в диапазоне от минус 40 до плюс 2000 °C |
5.5 |
эталонный протяженный излучатель 2-го разряда по ГОСТ 8.558-2009, в диапазоне от плюс 30 до плюс 95 °C; рулетка измерительная металлическая Р5УЗД ГОСТ 7502-98, 3-й класс точности |
-
2.2 Все применяемые средства поверки должны иметь действующие свидетельства о поверке.
-
2.3 Допускается применение аналогичных средств поверки, обеспечивающих определение метрологических характеристик поверяемых тепловизора с требуемой точностью.
При проведении поверки необходимо соблюдать:
-
- требования безопасности, которые предусматривают «Правила технической эксплуатации электроустановок потребителей» и «Межотраслевые правила по охране труда (правила безопасности) при эксплуатации электроустановок» ПОТ РМ-016-2001;
-
- указания по технике безопасности, приведенные в руководстве по эксплуатации на средства измерений, применяемые при поверке тепловизора;
-
- указания по технике безопасности, приведенные в руководстве по эксплуатации на тепловизор.
К проведению поверки допускаются лица, прошедшие инструктаж по технике безопасности и ознакомленные с руководством по эксплуатации на средства поверки и на тепловизор.
4 Условия поверкиПри проведении поверки должны соблюдаться следующие условия:
-
- температура окружающего воздуха, °C от плюс 20 до плюс 25;
-
- относительная влажность окружающего воздуха, % от 30 до 80;
-
- атмосферное давление, кПа от 86 до 106,7.
-
5.1 Внешний осмотр
При внешнем осмотре проверяется:
-
- соответствие маркировки тепловизора согласно руководству по эксплуатации
-
- отсутствие посторонних шумов при наклонах корпуса;
-
- отсутствие внешних повреждений поверяемого тепловизора, которые могут повлиять на его метрологические характеристики.
Тепловизор, не отвечающий перечисленным выше требованиям, дальнейшей поверке не подлежит.
-
5.2 Опробование, проверка версии встроенного программного обеспечения (ПО) Проверка работы тепловизора в различных режимах
Подготовить тепловизор к работе согласно руководству по эксплуатации.
Включить тепловизор.
На экране ЖК-дисплея отобразится номер версии (идентификационный номер) ПО.
Идентификационные данные программного обеспечения должны соответствовать указанным в описании типа.
Проверить возможность изменения диапазона измерений температуры и излучательной способности объекта, записи термограммы.
Если хотя бы на одном из режимов работы тепловизора не выполняются функции, указанные в РЭ, дальнейшая поверка не проводится.
-
5.3 Определение угла поля зрения по горизонтали и по вертикали
5.3.1 Выбор рабочего расстояния
Установить температурный режим эталонного протяженного излучателя выше температуры окружающей среды на 10 °C. Перед протяженным излучателем, на расстоянии от 10 до 30 мм, расположить тепловой тест-объект с переменной щелью.
Режим работы тепловизора должен обеспечивать максимальную его чувствительность. Совместить изображение центра теплового тест-объекта с центральной областью термограммы.
Установить в тепловом тест-объекте максимальную ширину щели и измерить максимальную температуру щели в термограмме.
В качестве рабочего расстояния (R), мм, выбрать максимальное расстояние между объективом тепловизора и тепловым тест-объектом с переменной щелью, которое обеспечит максимальное значение температуры щели в термограмме при полном раскрытии щели.
-
5.3.2 Определение угла поля зрения
Установить тепловизор на поворотном столике, обеспечивающем возможность поворота и регистрации угла поворота столика относительно неподвижного основания в двух плоскостях, так, чтобы ось вращения совпадала с вертикальной плоскостью, проходящей через переднюю поверхность входного объектива тепловизора.
Температурный режим эталонного протяженного излучателя установить выше температуры окружающей среды на 10 °C. Перед эталонным протяженным излучателем, на расстоянии от 10 до 30 мм, расположить тепловой тест-объект с метками.
Режим работы тепловизора должен обеспечивать максимальную чувствительность. Изображение центра теплового тест-объекта совместить с центральной областью термограммы. Провести измерения на рабочем расстоянии, определенном по п. 5.3.1.
На экране дисплея тепловизора наблюдают тепловое изображение теплового тест-объекта. Повернуть тепловизор с помощью поворотного столика в горизонтальной плоскости, совместить вертикальную ось расположения меток на тепловом тест-объекте с левым и правым краями термограммы и зарегистрировать соответствующие углы на шкале столика <9Х/ и <9Х2, градус.
Изображение центра теплового тест-объекта вернуть в центральную область термограммы. Повернуть тепловизор в вертикальной плоскости, совместить горизонтальную ось расположения меток на тепловом тест-объекте с нижним и верхним краями термограммы и зарегистрировать соответствующие углы на шкале столика Эу] и 3У2, градус.
Углы поля зрения по горизонтали (рх и по вертикали (р> рассчитать по формулам:
Фх =К1 “^2,’ градус (1)



, градус
(2)
Углы поля зрения (рх и фу должны соответствовать значениям, приведенным в описании типа средства измерений.
-
5.4 Проверка диапазона и определение погрешности измерений температуры
Измерения проводить на расстоянии между эталонным источником излучения в виде модели черного тела (далее - эталонный излучатель) и тепловизором, обеспечивающим перекрытие апертурой эталонного излучателя не менее 20 % угла поля зрения тепловизора, но не менее 0,3 м. Излучающую поверхность эталонного излучателя совместить с центральной областью термограммы.
Определить погрешности тепловизора в пяти точках диапазона измерений температуры тепловизора (нижняя, верхняя и трех точках внутри диапазона). После установления стационарного режима эталонного излучателя на каждой температуре, произвести не менее пяти отсчетов показаний тепловизором температуры эталонного излучателя. Определить среднее значение температуры эталонного излучателя по термограмме t ср с учетом его излучательной способности и температуры фона.
Допускаемую абсолютную погрешность измерений температуры А/ в диапазоне измерений температуры от минус 40 до плюс 100 °C включительно рассчитать по формуле:
Л'='ф-'ф , °C (3)
где t'cp - среднее значение температуры по области, ограничивающей изображение апертуры эталонного источника излучения в виде модели черного тела на термограмме, °C;
tcp - среднее значение температуры эталонного источника излучения в виде модели черного тела, °C.
Допускаемую относительную погрешность измерений температуры 5 в диапазоне измерений температуры свыше плюс 100 до плюс 2000 °C рассчитать по формуле: где t'cp - среднее значение температуры по области, ограничивающей изображение апертуры эталонного источника излучения в виде модели черного тела на термограмме, °C;

• 100

tcp - среднее значение температуры эталонного источника излучения в виде модели черного тела, °C.
Результаты поверки считаются положительными, если погрешность в каждой точке, рассчитанная по формуле (3) или (4), не превышает значений, приведенных в описании типа средства измерений (в зависимости от поддиапазона).
-
5.5 Определение порога температурной чувствительности
Подготовить эталонный протяженный излучатель и тепловизор к работе согласно руководству по эксплуатации. Установить температуру эталонного протяженного излучателя, равной плюс 30 °C. Провести измерения на максимальном расстоянии, обеспечивающем полное перекрытие апертурой излучателя угла поля зрения тепловизора.
Навести тепловизор на центральную область апертуры эталонного протяженного излучателя и зафиксировать тепловизор в выбранном положении. Записать в запоминающее устройство тепловизора две термограммы через короткий промежуток времени.
Определить разность температур Aty для каждого элемента разложения зарегистрированных термограмм с помощью программного обеспечения, прилагаемого к тепловизору, или рассчитать по формуле:

(5)
где ti/1J - температура элемента разложения первой термограммы с координатами (i;j), °C
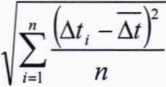
tj/2j - температура элемента разложения второй термограммы с координатами (i;j), °C Матрицу разностей температур Aty представить в виде числового ряда At,. Рассчитать порог температурной чувствительности Д/лор по формуле:
&пор = 0,707

(6)
где Atnop- порог температурной чувствительности;
Аг, - разность температур /-го элемента разложения термограмм, °C;
А/ - средняя разность температур, °C;
и - количество элементов разложения в термограмме.
Порог температурной чувствительности A/w не должен превышать значения приведенных в описании типа средства измерений.
6 Оформление результатов поверки-
6.1 При положительном результате поверки тепловизор признаётся годным и допускается к применению. На него оформляется свидетельство о поверке в соответствии с действующими правовыми нормативными документами. В свидетельстве о поверке указывается объем проведенной поверки (пункт 1.2). Знак поверки наносится на свидетельство о поверке.
-
6.2 При отрицательных результатах поверки оформляется извещение о непригодности с указанием причины.
Начальник лаборатории 442
Р.А. Горбунов
В.А. Калуцких
Ведущий инженер по метрологии лаборатории 44:
5