Методика поверки «ГСИ. Преобразователи расхода газа ультразвуковые Daniel» (МП 0910-13-2018)
ФЕДЕРАЛЬНОЕ АГЕНТСТВО ПО ТЕХНИЧЕСКОМУ РЕГУЛИРОВАНИЮ И МЕТРОЛОГИИ
Федеральное государственное унитарное предприятие «Всероссийский научно-исследовательский институт расходометрии»
Государственный научный метрологический центр
ИНСТРУКЦИЯ
Государственная система обеспечения единства измерений
Преобразователи расхода газа ультразвуковые DanielМетодика поверки
МП 0910-13-2018
НИО-13
А.И. Горчев
Тел. +7 (843) 272-11-24
Казань
2018
РАЗРАБОТАНА
ФГУП «ВНИИР»
УТВЕРЖДЕНА
ООО «Эмерсон»
ФГУП «ВНИИР»
Настоящая инструкция распространяется на преобразователи расхода газа ультразвуковые Daniel (далее - расходомеры) и устанавливает методику их первичной и периодической поверок.
Интервал между поверками - 4 года.
1. Операции поверкиПри проведении поверки выполняют следующие операции, перечисленные в таблице 1.
Таблица 1
|
Наименование операции |
Номер пункта методики |
Выполнение операции | |
|
Первичная поверка |
Периодическая поверка | ||
|
Внешний осмотр |
6.1 |
± |
± |
|
Опробование |
6.2 |
± |
± |
|
Определение метрологических характеристик расходомера: | |||
|
- относительной погрешности измерения расхода газа проливным методом на поверочной установке |
6.3 |
± |
± |
|
- относительной погрешности измерения расхода газа имитационным методом |
6.4 |
± |
± |
|
- приведенной к диапазону измерений погрешности канала токового аналогового входа |
6.5 |
± |
± |
|
- приведенной к диапазону измерений погрешности канала токового аналогового выхода |
6.6 |
+ |
± |
-
1.2 Допускается проводить поверку расходомера в ограниченном поддиапазоне измерений расхода на основании письменного заявления владельца расходомера.
Для преобразователей расхода газа ультразвуковых диаметром DN450 и более допускается проводить поверку на поверочной установке с верхним пределом воспроизведения расхода Qmax установки- Для диапазона ОТ Qmax установки до Qmax значение пределов допускаемой относительной погрешности измерений объемного расхода и объема газа при рабочих условиях подтверждается имитационным методом. При этом присваиваются следующие значения пределов допускаемой относительной погрешности измерений объемного расхода и объема газа при рабочих условиях
±0,5% в диапазоне от Q min до Qt;
±0,3% В диапазоне ОТ Qt ДО Qmax установки;
±0,5% в диапазоне от Q max установки ДО QmaxJ
-
1.3 Допускается проведение поверки отдельных измерительных каналов (расхода, токового входа или токового выхода) с обязательным указанием в свидетельство о поверке информации об объеме проведенной поверки на основании письменного заявления владельца расходомера.
-
2.1 При проведении поверки применяют следующие средства измерений (далее -СИ):
-
- поверочные установки с относительной погрешностью (расширенной неопределенностью) измерения объёмного расхода (объёма) природного газа при избыточном давлении или воздуха при атмосферном давлении не более ±0,3% (не более ±0,23% для расходомеров с пределами погрешности в основном диапазоне расхода ±0,3%), и диапазоном расходов, соответствующим диапазону поверяемого расходомера;
-
- калибратор многофункциональный MC5-R, диапазон измерения и воспроизведения токового сигнала ±25 мА; пределы абсолютной погрешности измерения и воспроизведения токового сигнала ±(0,02% от показ. +1,5 мкА) рег.№ 22237-08;
-
- персональный компьютер с программным обеспечением MeterLink и калькулятором скорости звука (входит в ПО MeterLink, свидетельство о метрологической аттестации ПО №156013-13);
-
- азот технический 1-го сорта 99,6 об. % по ГОСТ 9293-74 (для имитационного метода поверки);
-
- термометр ртутный, диапазон измерений от 0 до 50 °C, цена деления 0,1 °C по ГОСТ 28498-90;
-
- барометр-анероид БАММ-1, диапазон измерений от 80 до 106,7 кПа, цена деления шкалы 100 Па по ТУ25-11.15135;
-
- психрометр ВИТ-1, диапазон измерений относительной влажности от 30% до 80%, цена деления термометров 0,5 °C по ТУ 25-11.1645.
-
2.2 Применяемые при поверке средства измерений должны быть поверены и иметь действующие свидетельства о поверке или нести на себе знак поверки.
-
2.3 Допускается применение аналогичных средств поверки, обеспечивающих определение метрологических характеристик поверяемых средств измерений с требуемой точностью
-
3.1 При проведении поверки соблюдают требования безопасности, определяемые:
-
- правилами безопасности при эксплуатации используемых при поверке средств измерений, которые приведены в эксплуатационной документации;
-
- Федеральные нормы и правила в области промышленной безопасности «Правила безопасности в нефтяной и газовой промышленности»;
-
- правилами безопасности труда, действующими на предприятии (калибровочной лаборатории).
-
3.2 К поверке допускаются лица, прошедшие инструктаж по технике безопасности, имеющие квалификационную группу по технике безопасности не ниже II и изучившие эксплуатационную документацию на средства измерений, используемые при поверке и настоящий документ.
-
3.3 Монтаж и демонтаж расходомера должен производиться при неработающей поверочной установке и отсутствии избыточного давления в измерительной линии.
-
3.4 Заземление электрооборудования должно производиться в соответствии с требованиями ГОСТ 12.1.030-81.
-
4.1 В качестве рабочей среды в поверочных установках может использоваться природный газ или воздух.
-
4.2 Давление газа или воздуха определяется технологическими возможностями поверочной установки и не должно превышать рабочее давление поверяемого расходомера. При эксплуатационном давлении расходомеров ниже 1,2 МПа допускается определение корректирующих коэффициентов на воздухе при атмосферном давлении
-
4.3 При проведении поверки на поверочной установке соблюдают нормальные условия по ГОСТ 8.395-80:
-
- рабочая среда природный газ или воздух
-
- температура рабочей среды, °C 20 ±5;
-
- температура окружающего воздуха, °C 20 ±5;
-
- относительная влажность окружающего воздуха, % от 30 до 80;
-
- атмосферное давление, кПа от 84 до 106,7;
-
- изменение температуры рабочей среды
за время поверки, °C, не более 2
Примечание: При проведении поверки расходомера имитационным методом без снятия с измерительной линии или на поверочной установке на природном газе допускается проведение поверки при температуре окружающей среды от минус 20 до плюс 55 °C
-
4.4 Тряска, вибрация, удары, а также внешние электрические и магнитные поля (кроме земного) должны отсутствовать.
-
4.5 Средства измерений, применяемые при поверке, и расходомер перед поверкой должны быть выдержаны во включенном состоянии в течение интервала времени, указанного в их эксплуатационной документации.
Перед проведением поверки производят следующие подготовительные операции:
-
5.1 Проверяют выполнение условий, изложенных в разделах 2,3,4.
-
5.2 Подготавливают к работе поверяемый расходомер и средства измерений, используемые при поверке, в соответствии с эксплуатационной документацией.
-
5.3 При выполнении поверки проливным методом:
-
5.3.1 Длины прямых входного и выходного участков измерительного трубопровода выбирают в соответствии с рекомендациями изготовителя, приведенными в эксплуатационной документации.
-
5.3.2 После монтажа проверяют герметичность поверяемого расходомера, соединений, задвижек и соединительных трубопроводов.
-
5.3.3 Стабилизируют температуру рабочей среды в поверяемом расходомере и эталонном(ых) СИ, для чего пропускают рабочую среду через измерительный трубопровод в течение 30 минут до стабилизации её температуры.
-
6.1 Внешний осмотр
При внешнем осмотре проверяют:
-
- комплектность и соответствие внешнего вида расходомера и его составных частей требованиям эксплуатационной документации;
-
- отсутствие механических повреждений, влияющих на работоспособность расходомера;
-
- резьбы на соединительных элементах (разъемах) не должны иметь сорванных ниток и забоин;
-
- наличие маркировок на составных частях и соответствие сведений, указанных на них, параметрам, указанным в паспорте расходомера.
-
6.2 Опробование
-
6.2.1 Опробование заключается в проверке работоспособности поверяемого расходомера и его отдельных компонентов. Проверка может осуществляться при помощи персонального компьютера (далее - ПК), с установленным на нем программным обеспечением MeterLink или непосредственно при помощи встроенного ЖК-дисплея расходомера (расходомер оснащается ЖК-дисплеем опционально).
-
6.2.2 Проверку общей работоспособности расходомера проводят путем проверки отсутствия индикации ошибок. Кроме того, контролируют объемный расход и объем газа, а также наличие импульсов на частотном выходе расходомера. Для этого, изменяя расход среды через расходомер в пределах его диапазона измерений, следят за показаниями объемного расхода и изменениями прошедшего объема.
-
6.2.3 Результаты проверки работоспособности расходомера считают положительными, если индикация ошибок отсутствует, значения расхода и частота следования импульсов с частотного выхода расходомера увеличиваются (уменьшаются) при увеличении (уменьшении) расхода рабочей среды, а значения объема газа возрастают.
-
6.2.4 Подтверждение идентификации программного обеспечения
При включении расходомера на встроенный индикатор (в случае наличия индикатора) выводится наименование, номер версии и контрольная сумма ПО расходомера. Идентификационные данные ПО расходомера так же возможно проконтролировать при подключении расходомера к ПК с установленным программным обеспечением MeterLink в соответствующем пункте меню.
Результат проверки соответствия ПО считается положительным, если полученные в ходе выполнения процедуры проверки ПО данные (идентификационное наименование ПО, номер версии), соответствуют данным, указанным в описании типа.
6.3 Определение погрешности измерения расхода и объёма газа проливным методом
-
6.3.1 Для расходомеров с относительной погрешностью измерения расхода газа в основном диапазоне расходов ±0,3% первичная и периодическая поверки проводятся с помощью поверочной установки на природном газе при избыточном давлении с относительной погрешностью измерения объёмного расхода (объёма) не более ±0,23%, в случае если эксплуатационное давление расходомера не превышает 1,2 МПа поверку допускается проводить на воздухе при атмосферном давлении.
-
6.3.2 Для расходомеров с относительной погрешностью измерения расхода газа в основном диапазоне расхода ±0,5% и более первичная и периодическая поверки проводятся проливным методом на поверочной установке с погрешностью измерения объёмного расхода не более ±0,3%. Рабочая среда применяемой поверочной установки -природный газ или воздух, давление рабочей среды может быть равно атмосферному.
-
6.3.3 Измерения проводятся при следующих значениях объемного расхода Qj:
бтах > °>7£?тах . , ОЖах и • Допускается производить измерения в
произвольном числе равно распределенных значений расхода, (не менее 5 точек). Для удобства допускается округление дробной доли расхода в большую или меньшую сторону.
На каждом значении расхода проводят не менее пяти измерений. Значения объемного расхода, полученные по показаниям эталонных преобразователей расхода Qtai
, приводят к условиям измерений на поверяемом расходомере Qjc по формуле

(1)
где Ре - давление среды на участке эталонных преобразователей;
Р1 - давление среды на участке поверяемых расходомеров;
Те - температура среды на участке эталонных преобразователей;
Т' - температура газа среды на участке поверяемых расходомеров;
д, - фактор сжимаемости среды, рассчитанный при температуре и давлении на участке поверяемых расходомеров;
ze - фактор сжимаемости среды, рассчитанный при температуре и давлении на участке эталонных преобразователей.
Примечание: допускается проводить измерения и обработку результатов измерений по объему среды.
Полученные значения и значения по показаниям установки фиксируют и оформляют в виде таблицы 2.
Таблица 2
|
Среднее значение расхода |
Расход (эталонное значение) |
Расход (показания расходомера) |
Девиация |
Среднеарифметическая девиация |
|
м3/ч |
м3/ч |
м3/ч |
% |
% |
|
Qj |
/Р\ |
JPQj | ||
|
& |
йс |
ft>2 | ||
|
.». | ||||
|
а. |
fpn |
Значения девиации fpt рассчитывают в процентах по формуле:

(2)
Значение среднеарифметической девиации рассчитывают по формуле:
(3)
где п - число экспериментов проведенных в данной точке по расходу (п > 5), Qj - нижний индекс обозначает текущую точку по расходу.
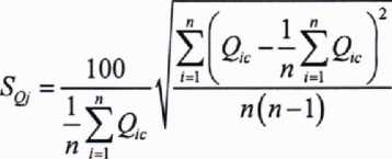
Рассчитывают среднеквадратическое отклонение среднего результата измерений объемного расхода в процентах для всех точек по расходу по формуле:

(4)
Рассчитывают доверительные границы е случайной составляющей погрешности результата измерений по формуле:

(5)
где Г„095 - коэффициент Стьюдента для доверительной вероятности 95% и степенью свободы п, (определяют по приложению Д ГОСТ Р 8.736-2011);
SQ - максимальное среднеквадратическое отклонение среднего результата измерений ( SQ = max S&).
После заполнения таблицы 2 для всех точек по расходу определяют средневзвешенную девиацию WME по формуле:
J-I
WME = +
(6)

<0»7£?п>ах
где kj = <
max
t4-“-,npw0y>O57Qmax
i^rnax
max
j - индекс поверочного расхода( j = 1 ...m); m - число точек по расходу ( т - 5 ).
Вычисляют корректировочный коэффициент AF по формуле
100
Корректируют показания расходомера по рассчитанному корректировочному коэффициенту AF (умножением на AF), результаты оформляют в виде таблицы 3.
Примечание: в соответствии с эксплуатационной документацией допускается использование полиномиальных корректировочных коэффициентов, определенных для каждого значения расхода либо применение кусочно-линейных корректировочных коэффициентов.
Таблица 3
|
Среднее значение расхода |
Расход, (эталонное значение) |
Расход, (скорректированные показания расходомера) |
Скоррект. девиация |
Среднеарифметическая скорректированная девиация |
|
м3/ч |
м3/ч |
м3/ч |
% |
% |
|
й |
Q\ е |
JpK | ||
|
а* |
Jpk2 | |||
|
... | ||||
|
й» |
Qnk |
м |
Определяют границы неисключенной систематической погрешности по формуле:
±1Ж+1®., при N <3
0=5
(8)
где 0, - граница I -й составляющей неисключенной систематической погрешности
установки;
0от/ — неисключенная систематическая погрешность калибровки, определяется как
максимальное абсолютное значение среднеарифметической девиации с учетом
калибровки (0га/
= max

Определяют среднеквадратическое отклонение суммы систематических погрешностей по формуле:
неисключенных
(9)

1=\________________
3 ■
Определяют суммарную среднеквадратическую погрешность по формуле:

(Ю)
|
Определяют формуле: |
предел относительной погрешности результата измерений по d = Sz & + е . (И) |
При соотношении погрешностей установки и поверяемого расходомера 1/3 и менее на каждом значении расхода проводят не менее трех измерений, иначе не менее 10
измерений. Значения объемного расхода, полученные по показаниям расходомера Qlcn, приводят к условиям измерений эталонными преобразователями Qic по формуле (1)
Определяют относительную погрешность расходомера при соотношении погрешностей установки и поверяемого расхдомера 1/3 и менее, в процентах, по формуле:
100,
(12)
где Qelal -расход по показаниям эталонной установки.
Примечание: допускается введение корректировочных коэффициентов.
Расходомер считается прошедшим поверку, если 6 не превышает значений указанных в описании типа.
-
6.4 Определение относительной погрешности измерения объемного расхода имитационным методом
-
6.4.1 Применение имитационного способа возможно как на снятом с трубопровода расходомере, так и без его снятия с измерительной линии.
-
6.4.2 При проведении имитационной поверки снятого с трубопровода расходомера его помещают в отдельное помещение, герметично закрывают со стороны фланцев и в проточную часть закачивают при атмосферном давлении неагрессивный газ известного состава, например, азот или воздух. Проверяют стабильность температуры в течение 30 мин. За указанный интервал времени изменение температуры газа не должно превышать 2 °C. Поверка начинается, когда изменение в течение 15 мин среднего для каждого акустического пути значения скорости звука не будет превышать 0,2 м/с.
Также расходомер не должен подвергаться воздействию солнечных лучей и должен находиться на достаточном удалении от источников тепла, так как эти факторы могут привести к неравномерному нагреву корпуса расходомера и возникновению внутри него конвекционных потоков.
Подключают расходомер к компьютеру с установленным ПО MeterLink и проводят не менее 5 измерений скорости звука для каждого акустического пути и скорости потока газа. Скорость звука в поверочной среде вычисляется с помощью программного обеспечения MeterLink со встроенным калькулятором скорости звука или другим ПО, аттестованным в установленном порядке.
Рекомендуется измерения проводить в течение 1 мин с осреднением полученных результатов.
Результаты поверки считаются положительными, если средняя скорость потока газа не превышает 0,012 м/с, а средний результат измерения скорости звука для каждого акустического пути отличается от расчётного значения не более, чем на 0,3%. Взаимные отклонения средних (по пяти измерениям) скоростей звука для различных акустических путей должны быть не более ±0,3 м/с.
-
6.4.3 Проведение имитационной поверки расходомера без снятия его с измерительной линии возможно только в том случае, если отрезок трубопровода с расходомером может быть перекрыт с обеих сторон от расходомера, чтобы полностью исключить внутри него течение газа.
Контролируют давление на участке с расходомером. Изменение давления свидетельствует о наличии протечек в запорной арматуре. В этом случае проведение поверки расходомера по п.6.4.3, не проводят.
Поверку проводят при рабочем давлении и стабильной температуре окружающей среды. Расходомер и участки трубопровода до запорной арматуры (но не менее 10 DN) должны быть закрыты от попадания солнечных лучей, осадков и источников тепла.
Перед проведением поверки проверяется стабилизация температуры и давления рабочей среды. Проверяется стабильность измеряемой по акустическим путям скорости звука - допускаемое изменение в течение 15 мин среднего для каждого акустического пути значения скорости звука не более 0,2 м/с.
Подключают расходомер к компьютеру с установленным ПО MeterLink и проводят не менее 5 измерений скорости звука для каждого акустического пути и скорости потока газа. Скорость звука в поверочной среде вычисляется с помощью программного обеспечения MeterLink со встроенным калькулятором скорости звука или другим ПО, аттестованным в установленном порядке.
Рекомендуется измерения проводить в течение 1 мин с осреднением полученных результатов.
Результаты поверки считаются положительными, если средняя скорость потока газа не превышает 0,024 м/с, а средний результат измерения скорости звука для каждого акустического пути отличается от расчётного значения не более, чем на 0,3%. Взаимные отклонения средних (по пяти измерениям) скоростей звука для различных акустических путей должны быть не более ±0,3 м/с.
-
6.4.4 Пределы допускаемой относительной погрешности расходомера в зависимости от способа поверки указаны в описании типа на расходомер.
6.5 Определение приведенной к диапазону измерений погрешности канала токового аналогового входа.
-
6.5.1 При определении приведенной к диапазону измерений DM (для варианта 4-20 мА Dai -16 мА) погрешности канала токового аналогового входа в поверяемой точке j диапазона измерений на вход измерительного канала расходомера подают при помощи калибратора значение токового сигнала lrefAIj и считывают значение тока в цепи канала аналогового входа lA]_j. Задаётся не менее пяти значений сигнала тока, равномерно распределённых в пределах диапазона измерений, включая его крайние точки.
-
6.5.2 В каждой точке приведенную к диапазону измерений погрешности канала токового аналогового входа . рассчитывают в процентах по формуле:


(В)
-
6.5.3 Расходомер считается прошедшим поверку, если рассчитанные по формуле (13) приведенные к диапазону измерений погрешности канала входа аналоговых сигналов в каждой поверяемой точке не превосходят ±0,1 %.
6.6 Определение приведенной к диапазону измерений погрешности канала токового аналогового выхода.
6.6.1 При определении приведенной к диапазону измерений DAO (для варианта 4 -20 мА Dao = 16 мА) погрешности канала токового аналогового выхода в поверяемой точке j диапазона измерений устанавливают с помощью интерфейсного ПО MeterLink на выходе измерительного канала значение выходного сигнала . Затем измеряют значение тока в цепи канала аналогового выхода IrefAO_j с помощью калибратора сигналов. Задаётся не менее пяти значений выходного сигнала тока, равномерно распределённых в пределах диапазона измерений, включая его крайние точки.
-
6.6.2 В каждой точке приведенную к диапазону измерений погрешности канала токового аналогового выхода /л0_7 рассчитывают в процентах по формуле:


(14)
-
6.6.3 Расходомер считается прошедшим поверку, если рассчитанные по формуле (14) приведенные к диапазону измерений погрешности канала выхода аналоговых сигналов в каждой поверяемой точке не превосходят ±0,2 %.
-
7.1. Результаты поверки заносят в протокол произвольной формы.
-
7.2. Положительные результаты поверки оформляют свидетельством о поверке в соответствии с документом «Порядок проведения поверки средств измерений, требования к знаку поверки и содержанию свидетельства о поверке», утвержденным приказом Минпромторга РФ 2 июля 2015 года №1815. Знак поверки наносится на свидетельство о поверке.
-
7.3. При отрицательных результатах поверки расходомер не допускают к применению, свидетельство о поверке аннулируется и выписывается извещение о непригодности к применению.
12
