Методика поверки «ГСОЕИ. Счетчики газа турбинные TRZ» (ЛГТИ.407221.007 МП)
ФЕДЕРАЛЬНОЕ ГОСУДАРСТВЕННОЕ УНИТАРНОЕ ПРЕДПРИЯТИЕ ’’ВСЕРОССИЙСКИЙ НАУЧНО-ИССЛЕДОВАТЕЛЬСКИЙ ИНСТИТУТ МЕТРОЛОГИЧЕСКОЙ СЛУЖБЫ”
(ФГУП ’’ВНИИМС”)
Заместитель директора
метрологии
. Иванникова
С> 2020 г.
Государственная система обеспечения единства измерений
Счетчики газа турбинные TRZ
Методика поверки
ЛГТИ.407221.007 МП
с изменением №1 ВВЕДЕНИЕНастоящий документ распространяется на счетчики газа турбинные TRZ (далее по тексту счетчики) и устанавливает методику их первичной и периодической поверки.
Интервал между поверками - не более 10 лет.
(Измененная редакция, изм. №1)
1. ОПЕРАЦИИ ПОВЕРКИ-
1.1. Операции поверки счетчика и их последовательность приведены в таблице 1.
Таблица 1
|
№ п.п. |
Наименование операции |
Номер пункта методики без замены УИ |
Номер пункта методики при замене УИ |
|
1 |
Внешний осмотр |
п.6.1.1. |
п.6.1.2. |
|
2 |
Опробование |
п. 6.2.1. |
п. 6.2.2. |
|
3 |
Проверка герметичности |
п. 6.3.1. |
п. 6.3.2. |
|
4 |
Определение метрологических характеристик счетчиков |
п.6.4 |
- |
-
1.2. Конструкция счетчика позволяет производить замену устройства измерительного (УИ) на аналогичный в сервисных центрах или на месте установки счетчика специалистами сервисных центров с целью ремонта счетчика или по истечении интервала между поверками. При этом метрологические характеристики счетчика будут соответствовать характеристикам нового У И.
Соответствующая юстировочная пара определяется при поверке УИ и указывается в его паспорте.
п.1.2. (Измененная редакция, изм. №1)
-
1.3. В случае поверки счетчика с заменой измерительного преобразователя дата очередной поверки счетчика отсчитывается от даты поверки установленного преобразователя.
-
1.4. По истечении срока поверки счетчика, предыдущая поверка которого была выполнена с заменой УИ, очередная поверка может быть выполнена:
а) поверкой счетчика в целом, при этом поверка установленного УИ как отдельного средства измерения не проводится;
б) заменой УИ на аналогичный заранее поверенный.
2. СРЕДСТВА ПОВЕРКИ-
2.1. Для проведения поверки используют средства измерений и вспомогательное оборудование, приведенные в таблице 2.
Таблица 2
|
Наименование |
Тип |
Основные характеристики |
Кол. |
Пункт методики, регламентируют ий применение средства поверки |
|
Рабочий эталон 1 разряда согласно приказу Росстандарта от 29.12.2019 г. №2825 (Установка для поверки счетчиков газа) |
УПСГ 6500 |
Диапазон расходов от 0,01 до 6500 м3/ч. * Относительная погрешность ±0,3 %* |
1 |
6.2.1; 6.4 |
|
Стенд для проверки прочности и герметичности |
СППГ |
Предел измерений 1.6 МПа (16 кг/см2) и 10 МПа (100 кг/см2), класс точности контрольных манометров 1,5 |
1 |
6.3.1; 6.3.2 |
|
Барометр |
М67 |
Диапазон измерений 80-И 20 кПа, погрешность ±0,1 кПа |
1 |
6.2.1; 6.3.1; 6.4 |
|
Психрометр |
ВИТ-1 |
Диапазон измерений 20...95 %. |
1 |
6.2.1; 6.3.1; 6.4 |
Таблица 2 (Измененная редакция, изм. №1)
-
2.2. Указанные средства измерений могут быть заменены на аналогичные, если их технические характеристики не хуже рекомендуемых.
* Примечание. Соотношение пределов допускаемой относительной погрешности поверочной установки и счетчика должно быть не менее 1/3 в диапазоне значений расхода, соответствующих диапазону измерений расхода поверяемого счетчика.
п.2.2. (Измененная редакция, изм. №1)
-
2.3. Средства измерений должны быть поверены и иметь действующие свидетельства о поверке.
-
3.1. К проведению измерений при поверке и обработке результатов измерений допускают лиц. аттестованных в качестве поверителей или специально обученных лиц, работающих под руководством поверителей.
-
3.2. Все работы по монтажу и демонтажу счетчика выполняют при неработающей поверочной установке.
-
3.3. При проведении поверки соблюдают требования безопасности определенные:
-
- правилами безопасности труда, действующими на установке для поверки счетчиков газа;
-
- правилами безопасности при эксплуатации используемых средств поверки, приведенные в их эксплуатационных документах;
-
- правилами пожарной безопасности, действующими на предприятии;
-
- "Правилами технической эксплуатации электроустановок".
К проведению поверки допускаются лица, аттестованные в установленном порядке на право проведения поверки, изучившие руководство по эксплуатации счетчика и эксплуатационную документацию используемых средств измерений.
5. УСЛОВИЯ ПОВЕРКИ И ПОДГОТОВКА К НЕЙ5.1. При проведении поверки должны выполняться следующие условия:
п.5.1. (Измененная редакция, нзм. №1) |
+20±5; от 30 до 80; от 84,0 до 106,7. |
-
5.2. Перед проведением поверки проводят следующие подготовительные работы:
-
- проверяют наличие действующей поверки используемых средств измерений;
-
- поверочную установку подготавливают к работе в соответствии с руководством по ее эксплуатации;
-
- перед проведением поверки счетчик выдерживают в помещении при температуре 20±5 °C не менее 2-х часов.
-
5.3. Допускается проведение поверки по п.п.6.1, 6.2.2, 6.3.2 при условиях, соответствующих условиям эксплуатации счетчика.
-
6. ПРОВЕДЕНИЕ ПОВЕРКИ
-
6.1.1. При проведении внешнего осмотра счетчика устанавливают:
-
- отсутствие видимых механических повреждений и дефектов, в том числе и покрытия, ухудшающего внешний вид счетчика и препятствующего его применению;
-
- надписи и обозначения четкие и хорошо читаемы;
-
- комплектность соответствует требованиям технической документации на поверяемый счетчик;
-
- правильность оформления паспорта.
-
6.1.2. В случае проведения поверки (с заменой УИ), выполняют операции по п.6.1.1, и проверяют установленную в счетный механизм счетчика юстировочную пару, соответствующую указанной в паспорте нового УИ.
-
6.2.1. Опробование счетчика проводят, пропуская через него поток воздуха со значением расхода в диапазоне от Qmin до Qmax. При этом счетчик должен работать устойчиво, без рывков, заеданий, посторонних шумов. Показания счетного механизма должны равномерно увеличиваться.
-
6.2.2. В случае проведения поверки на месте установки счетчика (с заменой УИ), опробование счетчика проводят после его монтажа на газопровод, пропуская через него измеряемую среду в диапазоне расходов от Qmin до Qmax. При этом счетчик должен работать устойчиво, без рывков, заеданий, посторонних шумов. Показания счетного устройства должны равномерно увеличиваться.
-
6.3.1. Проверку герметичности счетчика проводят путем подачи воздуха под давлением 1,6 МПа (16 кгс/см2), 6,3 МПа (63 кгс/см2), 10 МПа (100 кгс/см2) в зависимости от исполнения счетчика во внутреннюю часть корпуса счетчика. Сжатый воздух подается от баллона или иного источника давления, давление контролируется манометром. После задания необходимого давления в счетчике необходимо выждать 2 минуты для завершения температурных переходных процессов. Проверку герметичности проводят в течение 10 минут. При этом установленное давление в замкнутом объеме счетчика не должно измениться.
Счетчик считается герметичным, если за время проверки не наблюдается изменения давления.
-
6.3.2. В случае проведения поверки на месте установки счетчика (с заменой УИ) допускается проверять герметичность рабочим давлением в газопроводе методом обмыливания.
Счетчик считается герметичным, если не наблюдается выхода пузырьков газа.
6.4. Определение метрологических характеристик-
6.4.1. Определение метрологических характеристик счетчика проводят на поверочной установке, согласно руководству по эксплуатации на данную установку.
Рабочее положение счетчика в соответствии с требованиями, изложенными в РЭ на счетчик. Длина прямого участка до счетчика не менее 2 условных проходов.
Отбор давления проводят от штуцера отбора давления, расположенного на корпусе счетчика.
Температуру измеряют:
-
- после счетчика на расстоянии не более 5 DN;
-
- перед счетчиком, расстояние между счетчиком и термометром должно соответствовать минимально необходимой длине прямого участка перед счетчиком.
п.6.4.1. (Измененная редакция, нзм. №1)
-
6.4.2. Определение метрологических характеристик проводят на расходах Qmax±5%, 0,5 Qmax±5 %, 0,2 Qmax±5 %, 0,1 Qmax±5 %, Qmin.5% (где для счетчиков исполнения "1" Qmin - минимальный расход, м3/ч; для счетчиков исполнения "2", "2У" Qmin - соответствующий минимальный расход для диапазона избыточного давления Ризб<^МПа\
На каждом поверочном расходе делают одно измерение.
Время проверки на каждом расходе - не менее 90 секунд.
Относительную погрешность определяют по формуле
S = ‘ -100%, (1)
V эт
где Усч - объем газа по поверяемому счетчику, м3;
Уэт - объем газа по эталонному средству, м3.
Объем в условиях измерений, проходящий через поверяемый счетчик, определяют по формуле

Nca .
<-Рсч
где Nc4 - количество импульсов поверяемого счетчика; Срсч- коэффициенты преобразования поверяемого счетчика.
п.6.4.2. (Измененная редакция, нзм. №1)
-
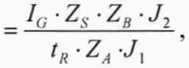
6.4.3. В зависимости от типа датчика, применяемого для съема импульсов, значение коэффициента Ср рассчитывается по следующим формулам:
• для датчика импульсов А1S


(3)
где Ig - коэффициент редуктора счетного механизма;
Zs - число лопастей турбинного колеса;
Ji, J2 - число зубьев колес юстировочной пары;
Za . Zb - число зубьев колес в счетном механизме; tR - цена оборота младшего ролика счетного механизма;
• для датчика импульсов А1R
|
I -Z Z • J р _ JG ^В J2 pA\R у г 1R ' А ' J\ |
где Ig - коэффициент редуктора счетного механизма;
Zm - число отверстий, расположенных на торцевой поверхности турбинного
|
колеса; |
Ji, J2 - число зубьев колес юстировочной пары; Za . Zb - число зубьев колес в счетном механизме; tR - цена оборота младшего ролика счетного механизма; |
|
• |
для среднечастотного датчика импульсов С = —Z е/>ЯЗОО ^MS lRC |
где tRc - число оборотов диска формирователя сигнала среднечастотного датчика;
|
датчика; • |
Zms - количество пазов диска формирователя сигнала среднечастотного для низкочастотного датчика импульсов С =- / RN |
где tRj\ - цена оборота младшего ролика счетного механизма.
В случае использования прочих устройств съема сигнала с поверяемого счетчика, коэффициент передачи рассчитывается в соответствии технической документацией на данное устройство.
-
6.4.4. Значения коэффициентов для расчета коэффициента Ср берутся из руководства по эксплуатации на счетчик.
Счетчик считают поверенным, если значение его относительной погрешности не превышает:
|
TRZ исп. "1", исп. "2" G100-G4000 | |
|
в диапазоне расходов от Qmin до 0,1 Qmax |
± 2,0 %; |
|
от 0,1 Qmax до Qmax |
± 1,0%; |
|
TRZ исп. "1”,исп. "2" G65 | |
|
в диапазоне расходов от Qmin до 0,2 Qmax |
± 2,0 %; |
|
от 0,2 Qmax до Qmax |
± 1,0%. |
TRZ исп. "2У" для G100-G4000
от Qmin до Qmax ± 0,9 %.
-
6.4.5. Результаты определения метрологических характеристик оформляют протоколом определения метрологических характеристик, рекомендуемая форма которого приведена в приложении А.
-
7.1. Результаты поверки оформляются протоколом поверки по форме, приведенной в Приложении Б.
-
7.2. При положительных результатах поверки делают отметку в паспорте, удостоверенной подписью поверителя и нанесением знака поверки и/или выдают свидетельство о поверке по установленной форме в соответствии с приказом Минпромторга России от 02 июля 2015 г. № 1815 "Об утверждении Порядка проведения средств измерений, требования к знаку поверки и содержанию свидетельства о поверке". Знак поверки наносится на свидетельство о поверке и/или в паспорт и на пломбы, ограничивающие доступ к элементам регулировки в соответствии с описанием типа.
-
7.3. В случае замены У И в паспорте счетчика дополнительно делается отметка о его номере и указывают установленную новую юстировочную пару,
-
7.4. При отрицательных результатах поверки счетчик к эксплуатации не допускают, клеймо гасят, свидетельство о поверке аннулируют и выдают извещение о непригодности с указанием причин в соответствии с приказом Минпромторга Ррссии от 02 июля 2015 г. № 1815
Б.А. Иполитов
В.И. Никитин
Д.Ю.Курин
Начальник отдела 208 ФГУП ‘ЪНИИМС”
Начальник сектора ФГУП “ВНИИМС”
Главный метролог ООО "ЭЛЬСТЕР Газэлектроника"
раздел 7 (Измененная редакция, изм. №1)
ПРИЛОЖЕНИЕ А
(рекомендуемое)
Форма протокола определения метрологических характеристик счетчика газа турбинного TRZТип:
Типоразмер: Dn
Ртах:
Зав. Nr.:
Год изг.:
|
Протокол определения метрологических характеристик | ||
|
Поверочная установка: Дата: Атм. давление: |
Поверитель: Кол-во: hPa |
№ поверки: |
|
Сч. механизм нач.: гл3 |
Сч. механизм кон.:___т3 | |
Поверяется:
Диапазон:
Козф.передачи ред. iG: Редуктор ZA/ZB: Юстировочная пара J1/J2:
Датчик импульсов:
Тип
Вес имп.
Макс, частота
Темп. °C
Давл. mbar
Время Импульс Расход s imp m’/h
Перепад Объем газа Объем газа давл. Усч Уэт
mbar m3/h m3/h
Отн. погр.
%
Испытатель
Поверитель
Подпись
Подпись
ПРИЛОЖЕНИЕ Б
(рекомендуемое)
Форма протокола поверки счетчика газа турбинного TRZ
|
Протокол поверки № от | ||
|
НД на поверку: Методика поверки на счетчик газа турбинный TRZ ЛГТИ.407221.007 МП | ||
|
Средство измерения: Тип: TRZ Типоразмер: G1000 Ду: 150 Ртах, [МПа]: 1,6 Зав №: 2701000 Год изг.: 2012 | ||
|
Заказчик: | ||
|
РЕЗУЛЬТАТЫ ПОВЕРКИ | ||
|
Внешний осмотр |
заключение: годен (не годен) | |
|
Опробование |
заключение: годен (не годен) | |
|
Герметичность |
заключение: годен (не годен) | |
|
Метрологические характеристики |
заключение: годен (не годен) | |
|
Испытатель: |
Поверитель: | |
|
Подпись |
Подпись | |
|
Заключение: счетчик газа годен (негоден) | ||
