Методика поверки «ГСИ. Установка для определения кислорода К-7» (МП 67-251-2018)
ФЕДЕРАЛЬНОЕ ГОСУДАРСТВЕННОЕ УНИТАРНОЕ ПРЕДПРИЯТИЕ «УРАЛЬСКИЙ НАУЧНО-ИССЛЕДОВАТЕЛЬСКИЙ ИНСТИТУТ МЕТРОЛОГИИ» (ФГУП «УНИИМ»)
УТВЕРЖДАЮ

ФГУП «УНИИМ»
С.В. Медведевских
‘ С .7,
2018 г.
ГОСУДАРСТВЕННАЯ СИСТЕМА ОБЕСПЕЧЕНИЯ ЕДИНСТВА ИЗМЕРЕНИЙ
Установка для определения кислорода К-7 МЕТОДИКА ПОВЕРКИ МП 67-251-2018 г. Екатеринбург 2018 г.ПРЕДИСЛОВИЕ
-
1. РАЗ РАБОТАЙ А ФГУП «Уральский научно-исследовательский институт метрологии» (ФГУП «УНИИМ»)
-
2. ИСПОЛНИТЕЛЬ и.о. зав. лаб. 251, к.х.н. Собнна Е.П.
-
3. УТВЕРЖДЕНА директором ФГУП «УНИИМ» «21» августа 2018 г.
СОДЕРЖАНИЕ
Государственная система обеспечения единства измерений Установка для определения кислорода К-7. Методика поверки |
МП 67-251-2018 |
Дата введения в действие: «21» августа 2018 г.
1 Область примененияНастоящая методика поверки распространяется на установку для определения кислорода К-7 (далее - установка) и устанавливает методы и средства первичной и периодической поверок.
Поверка установки должна производиться в соответствии с требованиями настоящей методики.
Интервал между поверками - 1 год.
2 Нормативные ссылкиВ настоящей методике поверки использованы ссылки на следующие документы:
ГОСТ 12.2.007.0-75 «Система стандартов безопасности труда. Изделия электротехнические. Общие требования безопасности»;
Приказ Минтруда России от 24.07.2013 г. №328н «Об утверждении Правил по охране труда при эксплуатации электроустановок»;
Приказ Минпромторга России от 02.07.2015 №1815 «Об утверждении порядка проведения поверки средств измерений, требования к знаку поверки и содержанию свидетельств о поверке».
3 Операции поверки-
3.1 При поверке должны быть выполнены операции, указанные в таблице 1.
Таблица 1 - Операции поверки
Наименование операции |
Номер пункта методики поверки |
Обязательность проведения операций при | |
первичной поверке |
периодической поверке | ||
1 Внешний осмотр |
9.1 |
да |
да |
2 Опробование |
9.2 |
да |
да |
3 Проверка метрологических характеристик: |
9.3 |
- |
- |
3.1 Проверка абсолютной погрешности измерений массовой доли кислорода |
9.3.1 |
да |
да |
3.2 Проверка диапазона измерений массовой доли кислорода |
9.3.2 |
да |
да |
-
3.2 В случае невыполнения требований хотя бы к одной из операций, проводится настройка и градуировка установки в соответствии с руководством по эксплуатации (далее - РЭ). В дальнейшем все операции повторяются вновь, в случае повторного невыполнения требований хотя бы к одной из операций поверка прекращается, установка бракуется.
-
4.1 При поверке установки применяют следующие средства поверки:
-ГСО 2813-83 стандартный образец состава стали высоколегированной 95X18 (СГ-9): аттестованное значение массовой доли кислорода 0.0031 %, границы абсолютной погрешности аттестованного значения при Р=0,95 ±0.0002 %;
-ГСО 3608-87 стандартный образец состава титанового сплава типа ВТ16: атгестованное значение массовой доли кислорода 0.097 %, границы абсолютной погрешности аттестованного значения при Р=0.95 ±0.006 %;
-
- ГСО 5486-90 стандартный образец состава стали высоколегированной типа ПХ18Н9Т (СГ-14): аттестованное значение массовой доли кислорода 0.172 %, границы абсолютной погрешности аттестованного значения при Р=0.95 ±0.006 %;
-
- ГСО 6648-93 стандартный образец массовой доли элементов в твердой основе (СРМ-163): аттестованное значение массовой доли кислорода 77.40 %, границы абсолютной погрешности аттестованного значения при Р=0.95 ±0.02 %;
-ГСО 3011-2002 стандартный образец порошка железного типа ПЖВЗ (Р21): интервал аттестованных значений массовой доли кислорода от 0.1 до 0,7 %, границы абсолютной погрешности аттестованных значений при Р=0.95 от ±0,0024 до ±0.017 %:
-ГСО 11007-2017 стандартный образец состава циркония на содержание кислорода: аттестованное значение массовой доли кислорода 0.0755 %, границы абсолютной погрешности аттестованного значения при Р=0.95 ±0.0047 %.
-
4.2 Для контроля внешних влияющих факторов применяют средства измерений температуры и относительной влажности воздуха, напряжения и частоты переменного тока с диапазонами измерений, охватывающими условия по п. 7.1.
-
4.3 Средства измерений, применяемые для поверки, должны быть поверены, а стандартные образцы должны иметь действующие паспорта.
-
4.4 Допускается применение других стандартных образцов утвержденных типов состава металлов и сплавов металлов, а также порошкообразных твердых веществ имеющих аттестованные значения в интервале массовой доли кислорода от 0.003 до 80 %, обеспечивающих как минимум 1.5 кратный запас по точности перед поверяемой установкой.
К проведению работ по поверке установки допускаются лица, прошедшие специальное обучение и аттестованные в порядке, установленном Госстандартом, ознакомившиеся с настоящей методикой поверки и РЭ на установку.
6 Требования безопасностиПри проведении поверки должны быть соблюдены требования Приказа Минтруда России от 24.07.2013 №328н. требования ГОСТ 12.2.007.0-75, требования безопасности, указанные в РЭ установки.
7 Условия поверки-
7.1 При проведении поверки должны быть соблюдены следующие условия:
-
- температура окружающей среды, °C от +15 до +35
-
- относительная влажность. %, не более 80
-
- напряжение переменного тока. В
38О±38
220±22
для генератора нейтронов
для остальных блоков установки
50±1
-
7.2 Установка должна быть установлена вдали от источников магнитных и электрических полей.
-
8.1 Установку подготовить к работе в соответствии с РЭ.
-
8.2 Стандартные образцы, используемые при поверке, подготовить в соответствии с их паспортами.
-
9.1 Внешний осмотр
При внешнем осмотре установить:
- отсутствие видимых повреждений установки;
-
- соответствие комплектности, указанной в РЭ;
-
- четкость обозначений и маркировки.
-
9.2 Опробование
-
9.2.1 Включить установку и проверить работоспособность органов управления и регулировки установки в соответствии с РЭ.
-
9.2.2 Провести проверку идентификационных данных ПО установки.
-
Идентификационное наименование ПО, номер версии ПО идентифицируются при включении установки, запуска ПО и дальнейшего вывода из ПО на экран монитора номера версии ПО и его идентификационного наименования. ПО должно соответствовать приведенным в таблице 2 идентификационным данным.
Таблица 2 - Идентификационные данные программного обеспечения
Идентификационные данные (признаки) |
Значение |
Идентификационное наименование ПО |
Монитор SIMP Light |
Номер версии (идентификационный номер) ПО |
не ниже 4.4.0211 |
Цифровой идентификатор ПО |
- |
9.3 Проверка метрологических характеристик
Проверку метрологических характеристик проводят при помощи стандартных образцов по п. 4.1 по процедуре соответствующей аттестованной методике (методу) измерений или в соответствии с методикой, изложенной в РЭ на установку.
-
9.3.1 Проверка абсолютной погрешности измерений массовой доли кислорода
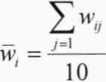
Применяемыми ГСО необходимо обеспечить наличие не менее двух точек в проверяемом диапазоне измерений. Выбираемые точки по возможности должны быть распределены в диапазоне измерений установки, первая точка должна выбираться из первой трети диапазона измерений, вторая - из оставшейся части диапазона измерений. Проводят не менее 10 измерений массовой доли кислорода в каждом из выбранных ГСО. Рассчитывают среднее арифметическое значение массовой доли кислорода для каждого i-го ГСО по формуле
п


(1)
где и'7 - j-u результат измерения массовой доли кислорода в z-ш/ГСО. %; п - число измерений.
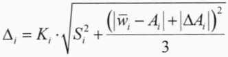
Абсолютную погрешность измерений массовой доли кислорода для каждого i-го ГСО рассчитывают по формуле

9
(2)
где S, - среднее квадратическое отклонение результатов измерения массовой доли кислорода в i-ом ГСО. рассчитываемое по формуле

/=1________________
и-1
(3)
Д - аттестованное значение массовой доли кислорода в i-ом ГСО. %;
АД - границы абсолютной погрешности аттестованного значения массовой доли кислорода в i-ом ГСО. %;
К, - коэффициент охвата для i-ого ГСО, рассчитываемый по формуле
/(0.95,77 — 1) - коэффициент Стьюдента для доверительной вероятности Р=0,95 и числа степеней свободы, равной п-1.
Полученные значения абсолютной погрешности по формуле (2) для всех выбранных ГСО должны находиться в пределах допускаемой абсолютной погрешности, приведенной в таблице 3.
-
9.3.2 Проверка диапазона измерений массовой доли элементов
За диапазон измерений принимают данные по таблице 3, если абсолютная погрешность результатов измерений массовой доли кислорода для всех выбранных ГСО не превышает пределов, указанных в таблице 3.
Таблица 3 - Метрологические характеристики
Наименование характеристики |
Значение |
Диапазон измерений массовой доли кислорода, % |
от 0,003 до 80 |
Пределы допускаемой абсолютной погрешности измерений массовой доли кислорода 1 \ % |
±(0,0015+0.08 Х)2) |
” Значение абсолютной погрешности измерений массовой доли кислорода нормировано для ГСО 2813-83, ГСО 3608-87, ГСО 5486-90. ГСО 6648-93, ГСО 3011-2002, ГСО 11007-2017; 2) X - результат измерений массовой доли кислорода, %. |
-
10.1 Оформляют протокол проведения поверки по форме Приложения А.
-
10.2 Положительные результаты поверки оформляют выдачей свидетельства о поверке в соответствии с Приказом Минпромторга России от 02.07.2015 № 1815. Знак поверки наносится на переднюю панель установки.
-
10.3 При отрицательных результатах поверки установку признают непригодной к применению, свидетельство о поверке аннулируют, и выписывают извещение о непригодности к применению с указанием причин в соответствии с Приказом Минпромторга России от 02.07.2015 № 1815.
Разработчик:
И.о. зав. лаб. 251 ФГУП «УНИИМ», к.х.н.
.П. Собина
ПРИЛОЖЕНИЕ А
(рекомендуемое)ФОРМА ПРОТОКОЛА ПОВЕРКИ ПРОТОКОЛ №_______ПРОВЕДЕНИЯ ПОВЕРКИ
Установка для определения кислорода К-7, зав. № 1
Документ на поверку:
МП 67-251-2018 «ГСИ. Установка для определения кислорода К-7. Методика поверки»
Информация об использованных средствах поверки:
Условия проведения поверки:-
- температура окружающей среды, °C ____________________
-
- относительная влажность. %, не более _____________________
-
- напряжение переменного тока. В
для генератора нейтронов ____________________
для остальных блоков установки ____________________
-
- частота переменного тока, Гц _____________________
Результаты внешнего осмотра__________________________________________________
Результаты опробования___
Проверка метрологических характеристикТаблица А1 - Результаты проверки абсолютной погрешности измерений массовой доли
ГСО |
Аттестованное значение массовой доли кислорода в ГСО. % |
Границы абсолютной погрешности аттестованного значения. % |
Результаты измерений массовой доли кислорода, % |
Среднее арифметическое значение результатов измерений массовой доли кислорода. % |
Абсолютная погрешность измерений массовой доли кислорода. % |
Пределы допускаемой абсолютной погрешности измерений массовой доли кислорода. % |
1 |
2 |
3 |
5 |
6 |
7 |
8 |
Таблица А2 - Результаты проверки диапазона измерений массовой доли кислорода
№ |
Характеристика |
Значение |
1 |
Диапазон измерений массовой доли кислорода, % |
Результат проведения поверки:___________________________________________________
Выдано свидетельство о поверке (извещение о непригодности)
от «___»_____________20___г., №___________________
П оверитель___________________________________________
Подпись (Ф.И.О.)
Организация, проводившая поверку____________________________________________