Методика поверки «ГОСУДАРСТВЕННАЯ СИСТЕМА ОБЕСПЕЧЕНИЯ ЕДИНСТВА ИЗМЕРЕНИЙ Спектрометр эмиссионный SPECTROMAXх LMF15» (MП 63-251-2019)
Федеральное агентство по техническому регулированию и метрологии ФЕДЕРАЛЬНОЕ ГОСУДАРСТВЕННОЕ УНИТАРНОЕ ПРЕДПРИЯТИЕ «УРАЛЬСКИЙ НАУЧНО-ИССЛЕДОВАТЕЛЬСКИЙ ИНСТИТУТ МЕТРОЛОГИИ» (ФГУП «УНИИМ»)
УТВЕРЖДАЮ
ГОСУДАРСТВЕННАЯ СИСТЕМА ОБЕСПЕЧЕНИЯ ЕДИНСТВА ИЗМЕРЕНИЙ
Спектрометр эмиссионный SPECTROMAXx LMF15 МЕТОДИКА ПОВЕРКИ МП 63-251-2019 Екатеринбург2019
ПРЕДИСЛОВИЕ
-
1 РАЗРАБОТАНА ФГУП «Уральский научно-исследовательский институт метрологии» (ФГУП «УНИИМ»)
-
2 ИСПОЛНИТЕЛЬ И.о. зав. лаб. 251 Собина Е.П.
-
3 УТВЕРЖДЕНА директором ФГУП «УНИИМ» в 2019 г.
СОДЕРЖАНИЕ
|
Государственная система обеспечения единства измерений. Спектрометр эмиссионный SPECTROMAXx LMF15 Методика поверки |
МП 63-251-2019 |
Дата введения в действие: «19» августа 2019 г.
1 Область примененияНастоящая методика поверки распространяется на спектрометр эмиссионный SPECTROMAXx LMF15 (далее - спектрометр) и устанавливает методы и средства первичной и периодической поверок.
Поверка спектрометра должна производиться в соответствии с требованиями настоящей методики. Интервал между поверками - один год.
2 Нормативные ссылкиВ настоящей методике поверки использованы ссылки на следующие документы:
-
- ГОСТ 12.2.007.0-75 «Система стандартов безопасности труда. Изделия электротехнические. Общие требования безопасности»;
-
- Приказ Минпромторга России от 02.07.2015 № 1815 «Об утверждении порядка проведения поверки средств измерений, требования к знаку поверки и содержанию свидетельств о поверке»;
-
- Приказ Минтруда России от 24.07.2013 № 328н «Об утверждении Правил по охране труда при эксплуатации электроустановок».
-
3.1 При поверке должны быть выполнены операции, указанные в таблице 1.
Таблица 1 - Операции поверки
|
Наименование операции |
Номер пункта ме-тодики поверки |
Обязательность проведения операций при | |
|
первичной поверке |
периодической поверке | ||
|
1 Внешний осмотр |
9.1 |
да |
да |
|
2 Опробование |
9.2 |
да |
да |
|
3 Проверка метрологических характеристик |
9.3 |
да |
да |
|
3.1 Проверка относительного среднего квадратического отклонения результатов измерений выходного сигнала |
9.3.1 |
да |
да |
|
3.2 Проверка чувствительности |
9.3.2 |
да |
да |
|
3.3 Проверка предела обнаружения |
9.3.3 |
да |
да |
|
3.4 Проверка спектрального диапазона |
9.3.4 |
да |
да |
-
3.2 В случае невыполнения требований хотя бы к одной из операций проводится настройка и градуировка спектрометра в соответствии с руководством по эксплуатации (далее - РЭ). В дальнейшем все операции повторяются вновь, в случае повторного невыполнения требований хотя бы к одной из операций поверка прекращается, спектрометр бракуется, и выполняются операции по п. 10.3.
-
4.1 При проведении поверки применяют:
-
- ГСО 8658-2005 стандартные образцы состава алюминия (комплект VSA1): интервал аттестованных значений массовой доли элементов от 0,000092 до 0,91 %, интервал границ абсолютной погрешности аттестованных значений при Р=0,95 от ±0,000012 до ±0,06 %.
-
4.2 Для контроля внешних влияющих факторов применяют средства измерений температуры и относительной влажности окружающей среды с диапазонами измерений, охватывающими условия по п. 7.
-
4.3 Средства измерений, применяемые для поверки, должны быть поверены, стандартные образцы должны иметь действующий паспорт.
-
4.4 Допускается применение других средств поверки, обеспечивающих требуемую точность и диапазоны измерений.
-
5.1 К проведению работ по поверке спектрометра допускаются лица, прошедшие специальное обучение и аттестованные в установленном порядке в качестве поверителя, изучившие РЭ на спектрометр и настоящую методику поверки.
При проведении поверки должны быть соблюдены требования Приказа Минтруда России от 24.07.2013 № 328н «Об утверждении Правил по охране труда при эксплуатации электроустановок», требования ГОСТ 12.2.007.0.
7 Условия поверки и подготовки к ней-
7.1 При проведении поверки должны быть соблюдены следующие условия:
-
- температура окружающей среды, °C от +18 до +28
-
- относительная влажность, % не более 80
-
8.1 Перед проведением поверки спектрометр необходимо подготовить к работе в соответствии с РЭ.
-
9.1 Внешний осмотр
При внешнем осмотре необходимо установить:
-
- отсутствие видимых повреждений;
-
- соответствие комплектности указанной в РЭ;
-
- четкость обозначений и маркировки.
-
9.2 Опробование
-
9.2.1 Проверку работоспособности органов управления и регулировки спектрометра осуществляют при помощи встроенных систем контроля в соответствии с РЭ.
-
9.2.2 Проводят проверку идентификационных данных ПО спектрометра. Номер версии ПО проверяют следующим образом: в меню ПО спектрометра нажимают вкладку «О программе», в результате на экране отобразится номер версии ПО. Номер версии ПО должен соответствовать указанному в таблице 2.
Таблица 2 - Идентификационные данные программного обеспечения
Идентификационные данные (признаки)
Значение
Идентификационное наименование ПО
Spark Analyzer Vision Мх of Spectro Smart
Номер версии (идентификационный номер) ПО
Max 1.00.0011
Цифровой идентификатор ПО
-
Проверка метрологических характеристик
-
9.3
-
9.3.1 Проверка относительного среднего квадратического отклонения результатов измерений выходного сигнала
-
9.3.1.1 Проверку относительного среднего квадратического отклонения (далее - СКО) результатов измерений выходного сигнала проводят на стандартных образцах с аттестованными значениями массовой доли элементов не менее 0,0005 %.
-
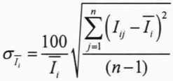
9.3.1.2 Производят не менее 5 измерений выходного сигнала для не менее 3 элементов. Рассчитывают относительное СКО результата измерений выходного сигнала (ст-) по формуле
5
(1)
где I - j-ый результат измерений выходного сигнала /-го элемента, имп;
lt - среднее арифметическое измерений выходного сигнала /-го элемента, имп, рассчи
танное по формуле
2Х7=1
П
(2)
и - количество измерений.
-
9.3.1.3 Полученное значение относительного СКО результатов измерений выходного сигнала должно удовлетворять требованиям таблицы 3.
Таблица 3 - Метрологические характеристики
|
Наименование характеристики |
Значение |
|
Спектральный диапазон, нм |
от 160 до 670 |
|
Предел допускаемого относительного среднего квадратического отклонения результатов измерений выходного сигнала, % |
5 |
|
Чувствительность, имп/%, не менее1} |
500 000 |
|
Предел обнаружения, %, не более2 > |
0,002 |
|
11 Значение нормировано для Si на длине волны 288,2 нм с массовой долей не более 0,6 %. 2) Значение нормировано для Мп на длине волны 294,9 нм с массовой долей не более 0,008 %. | |
9.3.2 Проверка чувствительности
-
9.3.2.1 Проверку чувствительности спектрометра проводят путем измерения интенсивности эмиссионного излучения Si на длине волны 288,2 нм, массовая доля которого в стандартном образце составляет не более 0,6 %.
-
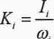
9.3.2.2 Чувствительность спектрометра К, рассчитывают по формуле

(3)
где CDi - аттестованное значение массовой доли Si в стандартном образце, %.
-
9.3.2.3 Полученное значение чувствительности должно удовлетворять требованиям таблицы 3.
-
9.3.3 Проверка предела обнаружения
-
9.3.3.1 При необходимости перед определением предела обнаружения выполняют градуировку спектрометра в соответствии с РЭ.
-
9.3.3.2 Проверку предела обнаружения провести с использованием стандартного образца ГСО 8658-2005 с массовой долей марганца, не превышающей 0,008 %.
-
9.3.3.3 Проводят не менее 5 измерений массовой доли марганца на длине волны
294,9 нм.
-
9.3.3.4 Рассчитывают среднее арифметическое значение массовой доли марганца по
формуле
п
п
(4)
где cot - /-ый результат измерений массовой доли марганца в стандартном образце, %; п - количество измерений.
-
9.3.3.5 Рассчитывают СКО результата измерений массовой доли марганца по формуле

(5)
9.3.3.6
Рассчитывают предел обнаружения по формуле

(6)
9.3.3.7 Полученное значение предела обнаружения должно удовлетворять требованиям таблицы 3.
9.3.4 Проверка спектрального диапазона
-
9.3.4.1 Проводят запись обзорного спектра эмиссии стандартного образца. В программном обеспечении спектрометра фиксируют наличие выходного сигнала в диапазоне от 160 до 670 нм.
-
9.3.4.2 Спектрометр считается пошедшим операцию поверки, если в программном обеспечении спектрометра фиксируется обзорный спектр в диапазоне от 160 до 670 нм.
-
10.1 Оформляют протокол проведения поверки по форме Приложения А настоящей методики поверки.
-
10.2 При положительных результатах поверки спектрометр признают пригодным к применению и выдают свидетельство о поверке согласно Приказа Минпромторга России от 02.07.2015 № 1815. Знак поверки наносится на переднюю панель спектрометра.
-
10.3 При отрицательных результатах поверки выдают извещение о непригодности согласно Приказа Минпромторга России от 02.07.2015 № 1815 с указанием причин. Спектрометр к применению не допускают.
Разработчик:
Собина Е.П.
И.о. зав. лаб. 251 ФГУП «УНИИМ»
ПРИЛОЖЕНИЕ А(рекомендуемое)
ФОРМА ПРОТОКОЛА ПОВЕРКИ
ПРОТОКОЛ ПОВЕРКИ №_______
Средство измерений: Спектрометр эмиссионный SPECTROMAXx LMF15, зав.№ 132738.
Документ на поверку: МП 63-251-2019 «ГСИ. Спектрометр эмиссионный SPECTROMAXx LMF15. Методика поверки».
Информация об использованных средствах поверки:______________________
Условия проведения поверки:
-
- температура окружающего воздуха, °C ____________
-
- относительная влажность воздуха, % ____________
Результаты внешнего осмотра_________________________________________________
Результаты опробования______________________________________________________
Проверка метрологических характеристик:
Таблица А.1 - Результаты проверки относительного среднего квадратического отклонения результатов измерений выходного сигнала
|
Образец |
Элемент |
Длина волны, нм |
Аттестованное значение массовой доли элемента в ГСО, % |
Результаты измерений выходного сигнала, имп |
Среднее арифметическое значение выходного сигнала, имп |
Относительное СКО результатов измерения выходного сигнала, % |
Предел допускаемого относительного СКО результатов измерений выходного сигнала, % |
|
1 |
2 |
3 |
4 |
5 |
6 |
7 |
8 |
|
5 | |||||||
Таблица А.2 - Результаты проверки чувствительности
|
Образец |
Элемент |
Длина волны, нм |
Аттестованное значение массовой доли элемента в ГСО, % |
Результаты измерений выходного сигнала, имп |
Среднее арифметическое значение выходного сигнала, имп |
Чувствительность, имп/% |
Допускаемое значение чувствительности, имп/%, не менее |
|
1 |
2 |
3 |
4 |
5 |
6 |
7 |
8 |
|
Si |
500 000 | ||||||
Таблица А.3 - Результаты проверки предела обнаружения
|
ГСО |
Элемент |
Длина волны, нм |
Результаты измерений массовой доли, % |
Среднее арифметическое значение результатов измерений, % |
С КО результатов измерений массовой доли, % |
Значение предела обнаружения, % |
Нормируемое значение предела обнаружения, %, не более |
|
1 |
2 |
3 |
4 |
5 |
6 |
7 |
8 |
|
Мп |
0,002 | ||||||
Таблица А.4 - Результаты проверки спектрального диапазона
|
№ |
Характеристика |
Значение |
|
1 |
Спектральный диапазон, нм |
Результат проведения поверки: Годен / Не годен
(нужное подчеркнуть)
Выдано Свидетельство о поверке / Извещение о непригодности
(нужное подчеркнуть)
от «_____»_________________20___г., №___________________________
Поверитель
(Ф.И.О.) (подпись)
Организация, проводившая поверку __________________________________________________
10
