Методика поверки «Нивелиры с компенсатором Pentax AP-(220,224,228,230)» (МП АПМ 32-14)
УТВЕРЖДАЮ
Генеральный директор Руководитель ГЦИ СИ ООО «Автопрогресс-М»

НИВЕЛИРЫ С КОМПЕНСАТОРОМ
Pentax АР-220, Pentax АР-224, Pentax АР-228, Pentax АР-230
МП АПМ 32-14
МЕТОДИКА ПОВЕРКИ г. Москва
2014 г.
Настоящая методика поверки распространяется на нивелиры с компенсатором Pentax АР-220, Pentax АР-224, Pentax АР-228, Pentax АР-230 и устанавливает методику их первичной и периодической поверки.
Интервал между периодическими поверками - 1 год.
1. Операции поверкиПри проведении поверки должны выполняться операции, указанные в таблице 1.
Таблица 1
№ п/п |
Наименование операции |
№ пункта документа по поверке |
Проведение операций при | |
первичной поверке |
периодической поверке | |||
1 |
Внешний осмотр |
7.1 |
Да |
Да |
2 |
Опробование |
7.2 |
Да |
Да |
3 |
Определение метрологических характеристик: |
7.3 |
Да |
Нет |
3.1 |
Определение цены деления установочного уровня |
7.3.1 | ||
3.2 |
Определение диапазона работы компенсатора |
7.3.2 |
Да |
Да |
3.3 |
Определение времени затухания колебаний компенсатора |
7.3.3 |
Да |
Нет |
3.4 |
Определение допустимого СКО самоустановки линии визирования |
7.3.4 |
Да |
Да |
3.5 |
Определение значения угла между визирной осью зрительной трубы и горизонтальной линией (угол i) |
7.3.5 |
Да |
Да |
3.6 |
Определение коэффициента нитяного дальномера |
7.3.6 |
Да |
Да |
3.7 |
Определение значения постоянного слагаемого дальномера |
7.3.7 |
Да |
Нет |
3.8 |
Определение наименьшего расстояния визирования |
7.3.8 |
Да |
Нет |
3.9 |
Определение допустимой СКП измерения превышения на 1 км двойного хода |
7.3.10 |
Да |
Да |
При проведении поверки должны применяться эталоны и вспомогательные средства, приведенные в таблице 2.
Таблица 2
№ пункта документа по поверке |
Наименование эталонов, вспомогательных средств поверки и их основные метрологические и технические характеристики |
7.3.1 |
Экзаменатор образцовый 1-го разряда ЭО-1 |
7.3.2 | |
7.3.4 | |
7.3.3 |
Секундомер СДСпр-1-2-000 2кл. ГОСТ 5072-79 |
7.3.5 |
Нивелир типаН-05 ГОСТ 10528-90 |
7.3.6 |
Теодолит типа Т2 ГОСТ 10529-96 |
7.3.7 |
Рулетка измерительная 5м Зкл ГОСТ 7502-98 |
7.3.8 |
Нивелирная рейка РН-3 ГОСТ 10528-90 Рулетка измерительная 5м Зкл ГОСТ 7502-98 |
7.3.9 |
Стенд универсальный коллиматорный ВЕГА УКС, СКО ±0,3" |
7.3.10 |
Высотный стенд ГОСТ 10528-90 |
Допускается применять другие средства поверки, обеспечивающие определение метрологических характеристик с точностью, удовлетворяющей требованиям настоящих методических указаний.
3. Требования к квалификации поверителейК проведению поверки допускаются лица, изучившие эксплуатационные документы на нивелиры, имеющие достаточные знания и опыт работы с ними.
4. Требования безопасностиПри проведении поверки, меры безопасности должны соответствовать требованиям по технике безопасности согласно эксплуатационной документации на нивелиры и поверочное оборудование, правилам по технике безопасности, действующим на месте проведения поверки, и правилам по технике безопасности при производстве топографо-геодезических работ ПТБ-88 (Утверждены коллегией ГУГК при СМ СССР 09.02.1989 г., №2/21).
5. Условия поверкиПри проведении поверки должны соблюдаться следующие нормальные условия измерений:
температура окружающей среды ,°С.............................................. (20±5);
относительная влажность воздуха,%............................................ не более 80;
атмосферное давление, кПа (мм рт.ст.)......................................84,0..106,7 (630..800);
изменение температуры окружающей среды во время поверки, °C....... не более 2;
полевые измерения должны проводиться при отсутствии осадков, порывов ветра и колебаний изображения в зрительной трубе;
приборы должны быть защищены от прямых солнечных лучей.
6. Подготовка к поверкеПеред проведением поверки должны быть выполнены следующие подготовительные работы: проверить наличие действующих свидетельств о поверке на средства поверки;
нивелир и средства поверки привести в рабочее состояние в соответствии с их эксплуатационной документацией;
нивелир должен быть выдержан в лабораторном помещении не менее 1ч.
нивелир и эталоны должны быть установлены на специальных основаниях (фундаментах), не подвергающихся механическим (вибрация, деформация, сдвиги) и температурным воздействиям.
-
7. Проведение поверки
При внешнем осмотре должно быть установлено соответствие нивелира следующим требованиям:
-
- отсутствие коррозии, механических повреждений и других дефектов, влияющих на эксплуатационные и метрологические характеристики нивелира;
-наличие маркировки и комплектности согласно требованиям эксплуатационной документации на нивелир;
-
- оптические системы должны иметь чистое и равномерно освещенное поле зрения.
При опробовании должно быть установлено соответствие нивелира следующим требованиям:
-
- отсутствие качки и смещений неподвижно соединенных деталей и элементов нивелира;
-
- плавность и равномерность движения подвижных частей нивелира;
-
- определение правильности установки установочного круглого уровня;
-
- определение правильности установки сетки нитей зрительной трубы;
-
7.3. Определение метрологических характеристик
-
7.3.1 Определение цены деления круглого установочного уровня
-
Цена деления круглого установочного уровня определяется на экзаменаторе. Она равна углу наклона оси нивелира, задаваемого экзаменатором, при котором пузырек уровня смещается на 2мм. Следует выполнить не менее двух определений и среднее арифметическое значение принять за окончательный результат.
Цена деления уровня должна составлять 8'/2мм:
7.3.2 Определение диапазона работы компенсатораДиапазон работы компенсатора определяется на экзаменаторе путем определения наибольшего угла наклона оси нивелира вперед, назад, вправо и влево от среднего положения, при котором компенсатор обеспечивает стабилизацию визирной оси нивелира.
Диапазон работы компенсатора должен быть не менее ±15'.
7.3.3 Определение времени затухания колебаний компенсатораВремя затухания колебаний компенсатора определяется секундомером путем измерения промежутка времени от начала колебаний изображения в поле зрения зрительной трубы нивелира, возникшее от ударного воздействия на корпус прибора, до его полного успокоения. Следует выполнить серию из 10 измерений и среднее арифметическое значение принять за окончательный результат.
Время затухания колебаний компенсатора не должно превышать 2 сек.
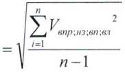
7.3.4 Определение допустимого среднего квадратического отклонения установки линии визированияСКП установки линии визирования определяется с помощью автоколлиматора и вычисляется по формуле:
г впр;нз;вп;вл

, где
т,- - СКП установки линии визирования после наклона нивелира подъемными винтами
' впр;нз;вп;вл
трегера вперед, назад, вправо, влево и приведения пузырька круглого уровня в нуль-пункт;
‘ отклонение установки линии визирования от ее среднего арифметического значе
ния;
п - число приемов (не менее 10).
За окончательный результат следует принять наибольшее значение mv
СКП установки линии визирования не должна превышать 0,5".
7.3.5. Определение значения угла между визирной осью зрительной трубы и горизонтальной линией (угол i)Значение угла между визирной осью зрительной трубы и горизонтальной линией определяется с помощью эталонного нивелира типа Н-05. Поверяемый нивелир следует установить соосно с эталонным нивелиром, способом «труба в трубу», и оценить несовмещение их горизонтальных нитей. Значение угла i не должно быть более 10", с учётом погрешности эталонного нивелира.
7.3.6. Определение коэффициента нитяного дальномераКоэффициент нитяного дальномера а определяется с помощью теодолита и вычисляется по выражению:
К = ctg/З, где
/3 - угол, измеренный теодолитом между дальномерными штрихами нивелира с погрешностью не более 2".
Следует выполнить не менее двух определений коэффициента нитяного дальномера и среднее арифметическое значение принять за окончательный результат.
Коэффициент нитяного дальномера должен быть 100.
7.3.7. Определение значения постоянного слагаемого дальномераЗначение постоянного слагаемого дальномера определяется с помощью рулетки измерительной. Следует растянуть рулетку, над нулевым штрихом установить штатив с нивелиром и, установив нивелирную рейку на отметку 3..5 м, измеряют это расстояние нивелиром. Разность между показанием нивелира и измеряемым отрезком по рулетке принимается за значение постоянного слагаемого нивелира.
Значение постоянного слагаемого нитяного дальномера должно быть 0.
7.3.8. Определение наименьшего расстояния визированияНаименьшее расстояние визирования определяется измерением отрезка горизонтальной линии от оси вращения нивелира до объекта, расположенного на предельно минимальном от нивелира расстоянии, т. е. на таком расстоянии, когда объект через зрительную трубу нивелира ещё чётко виден.
Наименьшее расстояние визирования должно быть не более 0,3 м:
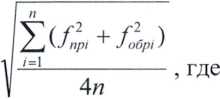
7.3.9. Определение допустимой СКП измерения превышения на 1км двойного ходаДопустимая СКП измерения превышения на 1 км двойного хода определяется путем проложения замкнутого нивелирного хода на высотном стенде, ГОСТ 10528-90, приложение 5. или определяя СКП измерения превышения на станции (meT) и вычисляя допускаемую CKI1 измерения превышения на 1 км двойного хода (mKM).
После проложения нивелирного хода, по ГОСТ 10528-90, определяют невязки (сумма превышений в нивелирном ходе) в прямом и обратном ходах и вычисляют СКП измерения превышения на 1 км двойного хода по формуле:

т^, - СКП измерения превышения на 1 км двойного хода;
fnpi,fo6pi " невязки в прямом и обратном ходах i нивелирного двойного хода; п - количество нивелирных двойных ходов (не менее 3).
СКП измерения превышения на 1 км двойного нивелирного хода, можно определить с помощью образцового высокоточного нивелира, определяя погрешность превышения на
станции (1Пст) и вычисляя погрешность превышения на 1 км двойного хода (ткм).

где Ah - отклонение измеренных превышений от его образцового значения, полученного более точным аттестованным нивелиром, мм;
п - количество приёмов.

где п - число станций на 1 км хода (в зависимости от длины визирного луча).
СКП измерения превышения на 1км двойного нивелирного хода не должна превышать: ±2,5 мм - для Pentax АР-220
- ±2,0 мм - для Pentax АР-224
- ± 1,5 мм - для Pentax АР-228, Pentax АР-230
8. Оформление результатов поверки-
8.1. Результаты поверки оформляются протоколом, составленным в виде сводной таблицы результатов поверки по каждому пункту раздела 7 настоящей методики поверки с указанием предельных числовых значений результатов измерений и их оценки по сравнению с предъявленными требованиями. Пример таблицы см. в Приложении к настоящей методике поверки.
-
8.2. При положительных результатах поверки нивелир признается годным к применению, и на него выдается свидетельство о поверке установленной формы с указанием фактических результатов определения метрологических характеристик.
-
8.3. При отрицательных результатах поверки нивелир признается непригодным к применению, и на него выдается извещение о непригодности установленной формы с указанием основных причин.
Инженер ГЦИ СИ
Лапшинов В.А.
ООО «Автопрогресс-М»
ПРИЛОЖЕНИЕ
Протокол поверки №____________________ от______.______._________г.
Нивелир электронный ______________, серийный номер__________
Владелец:_______________________________________________________________________________________,
ИНН_____________
Условия поверки: температура окружающей среды_____°C, относительная влажность_____%
Средства поверки
Наименование средств поверки |
Основные метрологические характеристики |
Результаты поверки
1. Внешний осмотр
Наименование операции |
Результат |
Примечание |
Отсутствие коррозии, механических повреждений и других дефектов, влияющих на его эксплуатационные и метрологические характеристики | ||
Наличие маркировки и комплектности согласно требованиям эксплуатационной документации | ||
Оптические системы должны иметь чистое и равномерно освещенное поле зрения. |
2. Опробование
Наименование операции |
Результат |
Примечание |
Отсутствие качки и смещения неподвижно закрепленных элементов | ||
Подъемные и наводящие винты исправны, работают надежно и движутся плавно и равномерно | ||
Вращение вокруг вертикальной оси происходит легко, плавно, без задержек | ||
Фокусирующие устройства зрительной трубы работоспособны, кремальеры вращаются плавно | ||
Взаимодействие с комплектом принадлежностей осуществляется без замечаний | ||
Все функциональные режимы и узлы работоспособны | ||
Имеющиеся уровни установлены правильно | ||
Сетка нитей зрительной трубы установлена правильно |
3. Определение цены деления установочного уровня (только при первичной поверке)
№ п/п |
Наименование характеристики |
Результаты измерений |
Допустимое значение | |||
1 приём |
2 приём |
3 приём |
Среднее | |||
1 |
Цена деления круглого установочного уровня (...'/ 2мм) |
4. Определение диапазона работы компенсатора
Наименование характеристик |
Результаты измерений |
Ср. отсчёт | |
Наклон вперёд | |
СР. - Вперёд | |
Наклон назад | |
Ср. - Назад | |
Наклон влево | |
Ср. - Влево | |
Наклон вправо | |
Ср. - Вправо | |
Мин. Диапазон | |
Заявляемое требование |
5. Определение допустимого СКО самоустановки линии визирования
Продол ьн. |
Про-дольн. |
Поперечн. |
Поперечн. |
Поперечн. |
Продольн. |
Продольн. |
Поперечн. |
Поперечн. | ||
Наклон |
Прямо |
Обратно |
дь |
Прямо |
Обратно |
ДЬ |
m |
о |
m |
о |
удь2 |
удь2 |
m ср. | ||||||||
СКП самоустановки линии визирования:_______допустимое значение: _______'
6. Определение времени затухания колебаний компенсатора (только при первичной поверке)
№ п/п |
Время затухания, сек |
1 | |
2 | |
3 | |
4 | |
5 | |
6 | |
7 | |
8 | |
9 |
10 | |
Среднее |
Время затухания колебаний компенсатора:
_________сек; допустимое значение: 2 сек.
7. Определение значения угла между визирной осью зрительной трубы и горизонтальной линией (угол i)
Наименование характеристики |
Измерение 1 |
Измерение 2 |
Измерение 3 |
Среднее значение |
Допустимое значение |
Разность углов между визирной осью зрительной трубы нивелира .............. и осью зрительной трубы эталонного нивелира, ..." |
не более ±10 |
8. Определение коэффициента нитяного дальномера
Наименование характеристики |
Измерение 1 |
Измерение 2 |
Измерение 3 |
Среднее значение |
Верхняя нить | ||||
Нижняя. Нить | ||||
Угол Р | ||||
К = ctg р |
-
9. Определение значения постоянного слагаемого дальномера (только при первичной поверке)
Наименование характеристики
Измерение
1
Измерение
2
Измерение
3
Среднее значение
Допустимое
значение
Расстояние по рулетке, м
Расстояние по дальномеру, м
Разность, м
10. Определение наименьшего расстояния визирования (только при первичной поверке)
Наименование характеристики |
Результаты измерений |
Допустимое значение | |||
Измерение 1 |
Измерение 2 |
Измерение 3 |
Среднее значение | ||
Наименьшее расстояние визирования, м |
11. Определение допустимой СКП измерения горизонтальных углов
Наименование характеристики |
Изм. 1 |
Изм .2 |
Изм. 3 |
Изм. 4 |
Изм. 5 |
Изм. 6 |
Отсчёт слева ...° | ||||||
Отсчёт справа, ...° | ||||||
Измеренный угол, ...° | ||||||
Эталонное значение угла, ...° |
СКП измерения горизонтального угла:________°; допустимое значение: не более________'
12. Определение допустимой СКП измерения превышения на 1 км двойного хода
Длина визирного луча -___м.
№ приёма |
Иизм, мм |
Иэт, мм |
ДЬ2, мм |
1 | |||
2 | |||
3 | |||
4 | |||
5 | |||
6 | |||
7 | |||
8 | |||
9 | |||
10 | |||
ZAh2 |
СКП измерения превышений на станции, гпст =_________мм;
СКП измерения превышения на 1 км двойного хода, ткм =_________мм;
Допустимое значение: не более_________мм.