Методика поверки «ГСИ. Системы тепловизионного мониторинга температуры тела человека ISMTB-DL-60» (МП 207-057-2020)
ФЕДЕРАЛЬНОЕ ГОСУДАРСТВЕННОЕ УНИТАРНОЕ ПРЕДПРИЯТИЕ «ВСЕРОССИЙСКИЙ НАУЧНО-ИССЛЕДОВАТЕЛЬСКИЙ ИНСТИТУТ МЕТРОЛОГИЧЕСКОЙ СЛУЖБЫ» (ФГУП «ВНИИМС»)
.В. Булыгин 2020 г.
УТВЕРЖДАЮ
директора по науке «ВНИИМС»
Г осу дарственная система обеспечения единства измерений
Системы тепловизионного мониторинга температуры тела человека ISMTB-DL-60 МП 207-057-2020МЕТОДИКА ПОВЕРКИ г. Москва
2020 г.
-
1 Введение
Настоящая методика распространяется на системы тепловизионного мониторинга температуры тела человека ISMTB-DL-60 (далее - системы) и устанавливает методы и средства их первичной и периодической поверок.
Интервал между поверками - 1 год.
Метрологические характеристики систем приведены в Приложении 1.
-
2 Операции поверки
При проведении первичной и периодической поверки должны выполняться операции, указанные в таблице 1.
Таблица 1
|
Наименование операции |
Номер пункта МП |
Проведение операции при | |
|
первичной поверке |
периодической поверке | ||
|
1 Внешний осмотр |
6.1 |
Да |
Да |
|
2 Опробование:
|
6.2 6.2.1.1 6.2.1.2 |
ЙИ |
Да |
|
3 Определение угла поля зрения по горизонтали и по вертикали |
6.3 |
Да |
Нет |
|
4 Определение абсолютной погрешности измерений температуры* |
6.4 |
Да |
Да |
|
5 Определение порога температурной чувствительности |
6.5 |
Да |
Нет |
Примечание:
- перед выполнением данного пункта необходимо провести контроль нестабильности поддержания установленной температуры АЧТ, входящего в комплект поставки системы, а также определить неоднородность температурного поля.
-
3 Средства поверки
При проведении поверки применяют средства измерений, указанные в таблице 2. Таблица 2
|
Наименование и тип средств измерений и оборудования |
Основные технические характеристики |
|
Государственный эталон единицы температуры 3.1.ZZM.0440.2019 в составе:
измеритель температуры многоканальный прецизионный МИТ 8.15
|
2 разряд по ГОСТ 8.558-2009 (ч.2), диапазон воспроизводимых температур от плюс 32 до плюс 44 °C коэффициент излучающей способности 0,996; диаметр излучающей поверхности 20 мм Регистрационный № 18131-09 Регистрационный № 19736-11 Регистрационный № 33744-07 |
|
Источники излучения в виде модели абсолютно черного тела |
1, 2 разряд по ГОСТ 8.558-2009 (ч.З), диапазон воспроизводимых температур от +20 до +50 °C |
|
Пирометры инфракрасные |
1 разряд, диапазон измеряемых температур от плюс 20 до плюс 50 °C |
|
Излучатель - протяжённое чёрное тело ПЧТ 540/40/100 |
2 разряд, диапазон воспроизводимых температур от плюс 30 до плюс 95 °C |
|
Тепловой тест-объект с переменной щелью |
Излучательная способность не менее 0,96 |
|
Тепловой тест-объект с метками |
Излучательная способность не менее 0,96 |
|
Измерительная линейка |
Длина 500 мм, ц.д. 1 мм |
|
Поворотный столик |
Точность задания угла 1° |
Примечания:
-
1 Все средства измерений, применяемые при поверке, должны иметь действующие свидетельства о поверке.
-
2 Допускается применение других средств измерений с метрологическими характеристиками, не хуже указанных, и разрешенных к применению в Российской Федерации.
-
4 Требования безопасности
При проведении поверки необходимо соблюдать:
-
- требования безопасности, которые предусматривают «Правила по охране труда при эксплуатации электроустановок (ПОТЭУ)» (Приказ от 24 июля 2013 года № 328н);
-
- указания по технике безопасности, приведенные в эксплуатационной документации на эталонные средства измерений и средства испытаний;
-
- указания по технике безопасности, приведенные в руководстве по эксплуатации систем.
К проведению поверки допускаются лица, аттестованные на право проведения поверки данного вида средств измерений, ознакомленные с руководством по эксплуатации систем и прошедшие инструктаж по технике безопасности.
-
5 Условия поверки и подготовка к ней
При проведении поверки должны соблюдаться следующие условия:
-
- температура окружающего воздуха, °C от + 15 до + 25;
-
- относительная влажность окружающего воздуха, % от 30 до 80;
-
- атмосферное давление, кПа от 86 до 106,7.
-
6 Проведение поверки
При внешнем осмотре проверяется:
-
- соответствие маркировки компонентов системы и эксплуатационной документации на него;
-
- отсутствие посторонних шумов при встряхивании компонентов систем;
-
- отсутствие внешних повреждений компонентов поверяемой системы, которые могут повлиять на ее метрологические характеристики.
Система, не отвечающая перечисленным выше требованиям, дальнейшей поверке не подлежит.
6.2 Опробование-
6.2.1 Перед проведением опробования необходимо выполнить следующие операции.
В соответствии с Руководством по эксплуатации необходимо подключить и установить компоненты поверяемой системы в следующей последовательности:
-
- установить оптико-электронный блок на штатив или закрепить на кронштейне на соответствующей высоте d (рекомендуемое значение от 1,5 до 2 м) и подсоединить к персональному компьютеру (далее по тексту - ПК) с помощью Ethemet-кабеля;
-
- подключить блок питания с адаптером;
-
- установить на штативе АЧТ из состава системы напротив оптико-электронного блока на такой же высоте d, таким образом, чтобы излучающая полость полностью попадала в поле зрения оптико-электронного блока (в верхнем левом или правом углу);
-
- подключить блок питания с адаптером к АЧТ;
-
- запустить программное обеспечение (далее по тексту - ПО) «Система скрининга температуры тела», предварительно установив его на персональный компьютер;
-
- подключить оптико-электронный блок системы в соответствии с п. 3.5.1 «Добавить устройство» Руководства по эксплуатации.
-
- в меню ПО «Система скрининга температуры тела» в разделе («Конфигурация»^ «Черное тело») необходимо добавить АЧТ, указав значения излучаемой температуры и коэффициент излучательной способности (температура плюс 37 °C и коэффициент излучательной способности 0,96)
-
- в меню ПО «Система скрининга температуры тела» в разделе («Конфигурация»^ «Компенсация») необходимо поставить «галочку» в п. «Включить компенсацию температуры»
-
6.2.2 Проверка функционирования системы
Выполнить операции согласно п. 6.2.1.
Для проверки функционирования системы необходимо измерить температуру тела человека, расположив его в поле зрения тепловизора оптико-электронного блока, при этом, предварительно измерить температуру человека поверенным контактным медицинским термометром (утвержденного типа). Далее, провести несколько измерений температуры с помощью ПО.
Результат проверки на функционирование считается положительным, если значения измеренной температуры человека с помощью системы и контактным термометром приблизительно равны между собой.
6.3 Определение угла поля зрения по горизонтали и по вертикалиТемпературный режим ПЧТ устанавливают выше температуры окружающей среды на 10 °C. Перед протяженным излучателем, на расстоянии от 1 до 3 см, располагают тепловой тест-объект с переменной щелью.
Изображение центра теплового тест-объекта совмещают с центральной областью термограммы.
В тепловом тест-объекте устанавливают максимальную ширину щели и измеряют максимальную температуру щели в термограмме.
В качестве рабочего расстояния (R) выбирают максимальное расстояние между объективом тепловизора оптико-электронного блока и тепловым тест-объектом с переменной щелью, которое обеспечивает максимальное значение температуры щели в термограмме, при полном раскрытии щели.
-
6.3.2 Определение угла поля зрения (вариант 1)
Оптико-электронный блок устанавливают на поворотном столике, обеспечивающем возможность поворота и регистрации угла поворота столика относительно неподвижного основания в двух плоскостях, так, чтобы ось вращения совпадала с вертикальной плоскостью, проходящей через переднюю поверхность входного объектива тепловизора оптико-электронного блока.
Температурный режим протяженного излучателя устанавливают выше температуры окружающей среды на 10 °C. Перед протяженным излучателем, на расстоянии от 1 до 3 см, располагают тепловой тест-объект с метками.
Режим работы тепловизора оптико-электронного блока должен обеспечивать максимальную чувствительность. Изображение центра теплового тест-объекта совмещают с центральной областью термограммы. Измерения проводятся на рабочем расстоянии, определенном в 4.5.1.
На мониторе ПК наблюдают тепловое изображение теплового тест-объекта с тепловизора оптико-электронного блока. Поворачивая оптико-электронный блок с помощью поворотного столика в горизонтальной плоскости, совмещают вертикальную ось расположения меток на тепловом тест-объекте с левым и правым краями термограммы и регистрируют соответствующие углы на шкале столика 3xi и 3x2, град.
Изображение центра теплового тест-объекта возвращают в центральную область термограммы. Поворачивая оптико-электронный блок в вертикальной плоскости, совмещают горизонтальную ось расположения меток на тепловом тест-объекте с нижним и верхним краями термограммы и регистрируют соответствующие углы на шкале столика 3yi и 3У2, град.
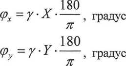
Углы поля зрения по горизонтали фх и по вертикали фу рассчитывают соответственно по формулам:
— ’Ягг!» градус _ $У2 ’ градус
(1)
(2)
Результаты поверки считаются положительными, если значения углов поля зрения срх и фу соответствуют, приведенным в Приложении 1.
-
6.3.3 Определение угла поля зрения (вариант 2)
Температурный режим протяженного излучателя устанавливают выше температуры окружающей среды на 10 °C. Перед протяженным излучателем, на расстоянии от 1 до 3 см, располагают тепловой тест-объект с метками.
Режим работы тепловизора оптико-электронного должен обеспечивать максимальную чувствительность. Изображение центра теплового тест-объекта совмещают с центральной областью термограммы. Измерения проводятся на рабочем расстоянии, определенном в 4.5.1.
На полученной термограмме отмечают крайние метки, регистрируемые по вертикали или по горизонтали. Измеряют расстояние между крайними метками теплового тест-объекта (мм) и расстояние между крайними метками теплового тест-объекта на термограмме в элементах разложения термограммы (эл.).
Мгновенный угол поля зрения у рассчитывают по формуле:
2 А
(3)
= рад.
a 2R
где А - расстояние между крайними метками теплового тест-объекта, мм;
а - расстояние между крайними метками теплового тест-объекта на термограмме, эл.;
R - расстояние, определенное в пункте 6.3.1, мм.
Углы поля зрения по горизонтали фх и по вертикали фу рассчитывают соответственно по формулам:

(4) (5)
где у - мгновенный угол поля зрения, рад;
X— количество элементов разложения термограммы по горизонтали;
Y- количество элементов разложения термограммы по вертикали.
Результаты поверки считаются положительными, если значения углов поля зрения <рх и сру соответствуют, приведенным в Приложении 1.
6.4 Определение абсолютной погрешности измерений температурыПеред выполнением данного пункта необходимо провести контроль нестабильности поддержания установленной температуры и неоднородности температурного поля АЧТ, а также необходимо повторить операции по п 6.2.1, убрав галочку п. «Включить компенсацию температуры».
-
6.4.1 Контроль нестабильности поддержания установленной температуры АЧТ
Перед АЧТ располагают эталонный пирометр инфракрасный на расстоянии, согласно указанному в эксплуатационной документации на него. Устанавливают в меню управления пирометра коэффициент излучательной способности в соответствии с АЧТ.
После выхода АЧТ на стационарный температурный режим (установленная температура плюс 37 °C), в течение 25-30 мин через каждые 10-15 с определяют значение температуры по показаниям эталонного пирометра и (или) включают функцию записи значений (построение графика зависимости измеренной температуры от времени), если таковая предусмотрена в меню управления пирометром.
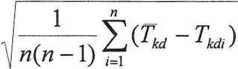
Определяют средние арифметические значения температуры по показаниям терморегулятора излучателя Tkd и среднее квадратическое отклонение (CKO) Skd по результатам измерений по формулам 6, 7:

(6)


(7)
-
6.4.1.1 Рассчитать нестабильность поддержания температуры за 25-30 минут по формуле 7:

(8)
-
6.4.1.2 Операция контроля нестабильности поддержания установленной температуры АЧТ считается положительной, если значение нестабильности поддержания температуры излучателя не превышает ±0,15 °C.
-
6.4.2 Определение неоднородности температурного поля АЧТ.
Перед АЧТ располагают эталонный пирометр инфракрасный на расстоянии, согласно указанному в эксплуатационной документации на него. Устанавливают в меню управления пирометра коэффициент излучательной способности в соответствии с АЧТ.
После выхода АЧТ на стационарный температурный режим (установленная температура плюс 37 °C), определяют значение измеряемой температуры в зависимости от места визирования по излучающей поверхности. Схема расположения точек визирования на поверхности АЧТ изображена на Рисунке 1. В каждой точке измерения проводят не менее 10 раз и определяют среднее арифметическое. Далее определяют среднее арифметическое полученных значений измеряемой температуры по излучающей поверхности. Значение неоднородности температурного поля АЧТ определяют как максимальное отклонение значений измеряемой температуры по поверхности от их среднего значения и рассчитывают по формуле (9):
Г„=тах|^,-^,| (9)
где: tB - значение неоднородности температуры по излучающей поверхности АЧТ, °C;
tlcp - среднее арифметическое значений измеряемой температуры по излучающей поверхности, °C;
ticp - среднее арифметическое значение измеряемой температуры в зависимости от места визирования по излучающей поверхности, i-ой точки, расположенной на излучающей поверхности АЧТ, °C;
6.4.2.1 Операция определение неоднородности температурного поля АЧТ считается положительной, если значение неоднородности не превышает ±0,1 °C.
-
6.4.3 Определение абсолютной погрешности измерений температуры в диапазоне измерений температур от +20 до +32 °C (не включ.) и св. +44 до +50 °C
В поле зрения оптико-электронного блока разместить эталонный источник излучения в виде модели черного тела (далее по тексту - МЧТ). При использовании МЧТ 2-ого разряда применяют метод сравнения показаниями пирометра эталонного 1-ого разряда. Пирометр располагается напротив МЧТ так, чтобы направление его оптической оси совпадало с оптической осью МЧТ. Расстояние от входной оптики пирометра до плоскости апертуры МЧТ выбирается равным рабочему расстоянию пирометра. В меню управления пирометром устанавливают коэффициент излучательной способности в соответствии с используемым МЧТ.
Излучающую поверхность эталонного МЧТ совмещают с центральной областью термограммы на мониторе персонального компьютера (далее по тексту - ПК) и по центру устанавливают контрольную точку измерений.
Определение погрешности системы проводят не менее, чем в четырех точках диапазона измерений температур, например в точках: +22 °C, +31 °C, +45 °C, +50 °C).
После установления стационарного режима МЧТ на каждой температуре, тепловизором оптико-электронного блока не менее пяти раз измеряют радиационную температуру эталонного излучателя. Определяют среднее значение радиационной температуры эталонного излучателя по термограмме tlcp (°C) с учетом его излучательной способности и температуры радиационного фона.
Основную погрешность At в каждой контрольной точке, рассчитывают по формуле:

(10)
где tlcp - среднее значение температуры по области, ограничивающей изображение апертуры излучателя на термограмме, °C;
tcp - среднее значение температуры эталонного МЧТ, °C (среднее значение измеренной температуры эталонного пирометра, при его использовании).
Результаты поверки считаются положительными, если погрешность в каждой точке, рассчитанная по формуле (10), не превышает значений, приведенных в Приложении 1.
-
6.4.4 Определение абсолютной погрешности измерений температуры в диапазоне температур от +32 до +44 °C включительно.
Расположить эталонное оборудование и компоненты поверяемой системы согласно схеме в Приложении 2. Расстояние d необходимо выбрать таким образом, чтобы излучающие полости излучателя в виде модели АЧТ мод. АЧТ-1 (на схеме «вставка АЧТ», далее по тексту - АЧТ-1) и АЧТ системы попадали в поле зрения оптико-электронного блока. Рекомендуемое расстояние 1,5-2 м.
Чувствительный элемент термопреобразователя сопротивления, подключенного к измерителю температуры, помещается в соответствующее отверстие в излучающей полости АЧТ-1 (см. Приложение 3). Все отражающие поверхности АЧТ-1 и термостата необходимо закрыть непрозрачной материей, оставив отверстие для излучающей полости.
На мониторе ПК по центру излучающей поверхности эталонного АЧТ-1 устанавливают контрольную точку измерений.
Определение погрешности системы проводят не менее, чем в трех точках диапазона измерений температур (нижняя, верхняя и одна точка внутри диапазона). После установления стационарного режима АЧТ-1 на каждой температуре, тепловизором оптикоэлектронного блока не менее пяти раз измеряют радиационную температуру эталонного излучателя. Определяют среднее значение радиационной температуры эталонного излучателя по термограмме tlcp (°C) с учетом его излучательной способности и температуры радиационного фона.
Основную погрешность At в каждой контрольной точке, рассчитывают по формуле:

(И)
где tlcP - среднее значение температуры по области, ограничивающей изображение апертуры излучателя на термограмме, °C;
tcp - среднее значение температуры АЧТ-1, °C.
Результаты поверки считаются положительными, если погрешность в каждой точке, рассчитанная по формуле (11), не превышает значений, приведенных в Приложении 1.
6.5 Определение порога температурной чувствительности6.5.1 ПЧТ и тепловизор оптико-электронного блока подготавливают к работе согласно РЭ. Устанавливают температуру ПЧТ равной плюс 30 °C. Измерения проводятся на максимальном расстоянии, обеспечивающем полное перекрытие апертурой излучателя угла поля зрения тепловизора оптико-электронного блока.
Наводят тепловизор на центральную область апертуры излучателя и фиксируют тепловизор в выбранном положении.
Проводят не менее 100 измерений. Порог температурной чувствительности рассчитывают по формуле:
пор
где ti - i-oe измеренное значение температуры, °C;
{ - среднее значение температур, °C;
п - количество измерений.
Значение Atnop не должно превышать указанного в Приложении 1.
-
7 Оформление результатов поверки
Системы, прошедшие поверку с положительным результатом, признаются годными и допускаются к применению. На них оформляется свидетельство о поверке в соответствии с Приказом № 1815 Минпромторга России от 02 июля 2015 г.
При отрицательных результатах поверки, в соответствии с Приказом № 1815 Минпромторга России от 02 июля 2015 г., оформляется извещение о непригодности.
Разработчики:
Ведущий инженер отдела 207 х
метрологического обеспечения термометрии / ,
ФГУП «ВНИИМС»
М.В. Константинов
Начальник отдела 207 метрологического обеспечения термометрии ФГУП «ВНИИМС
А.А. Игнатов

Приложение 1
Метрологические характеристики систем
|
Наименование характеристики |
Значение |
|
Диапазон измерений температуры, °C |
от +20 до +50 |
|
Пределы допускаемой абсолютной погрешности измерений температуры, °C:
|
±1,0 ±0,5<,);±1,0(’*) ±1,0 |
|
Разрешающая способность при измерении температуры, °C |
0,1 |
|
Диапазон воспроизведения температуры АЧТ, °C |
от +30 до +50 |
|
Коэффициент излучения полости АЧТ |
0,96 |
|
Разрешающая способность регулятора температуры АЧТ, °C |
0,1 |
|
Неоднородность температуры АЧТ, °C |
±0,1 |
|
Нестабильность поддержания установленной температуры АЧТ, °C, не более |
±0,15 |
|
Порог температурной чувствительности (при температуре объекта +30 °C), °C |
<0,06 |
|
Спектральный диапазон, мкм |
от 8 до 14 |
|
Углы поля зрения, градус по горизонтали х градус по вертикали |
20°х17° |
|
Фокусное расстояние, мм |
18 |
|
Пространственное разрешение, мрад |
0,909 |
|
Примечания: (*) - данное значение погрешности достигается при совместном использовании тепловизионной камеры с ПО и излучателем в виде модели АЧТ, входящим в комплектность Системы и находящимся в ее поле зрения (при проведении измерений), и подтверждается при помощи метода передачи единицы температуры контактным способом с использованием вспомогательной вставки-излучателя с эталонным термометром, находящимся внутри корпуса вставки, помещенной в жидкостной термостат переливного типа; - без использования комплектного излучателя. | |
Приложение 2 - Структурная схема расположения компонентов поверяемой системы и испытательного оборудования, применяемого для поверки
Оптикоэлектронный блок
АРМ

Измеритель


Приложение 3 - Схема измерений

«Углубление» в форме конуса
12
