Методика поверки «ГСИ. Система измерения количества газа Западной группы: Капитоновское месторождение КППНГ ЗАО "Газпром нефть Оренбург" в составе АСУ ПНГ. СИКГ ФВД СУГ» (НА.ГНМЦ.0364-19 МП)
УТВЕРЖДАЮ
Директор ОП ГНМЦ АО «Нефтеавтоматика»

• М.С. Немиров
2019 г.
ИНСТРУКЦИЯ
Государственная система обеспечения единства измерений
Система измерения количества газа Западной группы: Капитоновское месторождение КППНГ ЗАО «Газпром нефть Оренбург» в составе АСУ ПНГ. СИКГФВД СУГ
Методика поверки
НА.ГНМЦ.0364-19 МП
Казань 2019
|
РАЗРАБОТАНА |
Обособленным подразделением Головной научный метрологический центр АО «Нефтеавтоматика» в г.Казань (ОП ГНМЦАО «Нефтеавтоматика») |
|
ИСПОЛНИТЕЛИ: |
Березовский Е.В., к.т.н, Хасанов Р.Н., Сафиуллина А.Р. |
Настоящая инструкция распространяется на систему измерений количества и параметров свободного нефтяного газа, приведенного к стандартным условиям, подаваемого на факел высокого давления площадки СУГ (далее - СИКГ), и устанавливает методику ее периодической поверки.
Интервал между поверками СИКГ: четыре года.
1 Операции поверкиПри проведении поверки выполняют следующие операции:
-
1.1 Внешний осмотр (п. 6.1);
-
1.2 Подтверждение соответствия программного обеспечения (далее - ПО) СИКГ (п. 6.2);
-
1.3 Опробование (п. 6.3);
-
1.4 Определение метрологических характеристик (далее - MX):
-
1.4.1 Определение MX средств измерений (далее - СИ), входящих в состав СИКГ (п. 6.4.1);
-
1.4.2 Определение относительной погрешности измерений объема свободного нефтяного газа (СНГ), приведенного к стандартным условиям (п. 6.4.2).
-
-
2.1 Рабочий эталон 1-го разряда в соответствии с Государственной поверочной схемой для средств измерений объемного и массового расходов газа, утвержденной приказом Росстандарта от 29.12.2018 г. № 2825 «Об утверждении Государственной поверочной схемы для средств измерений объемного и массового расходов газа» в диапазоне расходов, соответствующему диапазону расходов счетчика газа КТМ100 РУС.
-
2.2 Барометр-анероид метеорологический БАММ-1 (регистрационный номер в Федеральном информационном фонде 5738-76), пределы допускаемой основной погрешности после введения поправок из паспорта ±0,2 кПа (±1,5 мм рт.ст.).
-
2.3 Термометр лабораторный электронный «ЛТ-300» (регистрационный номер в Федеральном информационном фонде 45379-10), пределы допускаемой основной абсолютной погрешности термометра при погружении датчика на глубину не менее 75 мм, °C, не более:
-
- в диапазоне температур от -50,00 до +199,99 °C......................±0,05;
-
- в диапазоне температур от +200,0 до +300,0 °C.....................±0,2.
-
2.4 Другие эталонные и вспомогательные СИ - в соответствии с нормативными документами (НД) на поверку СИ, входящих в состав СИКГ.
-
2.5 Допускается применение аналогичных средств поверки, обеспечивающих определение метрологических характеристик поверяемых СИ с требуемой точностью.
При проведении поверки соблюдают требования, определяемые в области охраны труда и промышленной безопасности:
-
- «Правила безопасности в нефтяной и газовой промышленности», утверждены приказом Ростехнадзора от 12.03.2013 № 101;
-
- Трудовой кодекс Российской Федерации;
в области пожарной безопасности:
-
- СНиП 21-01-97 «Пожарная безопасность зданий и сооружений»;
-
- «Правила противопожарного режима в Российской Федерации», утверждены постановлением Правительства РФ №390 от 25.04.2012;
-
- СП 12.13130.2009 «Определение категорий помещений, зданий и наружных установок по взрывопожарной и пожарной опасности»;
-
- СП 5.13130.2009 «Системы противопожарной защиты. Установки пожарной сигнализации и пожаротушения автоматические. Нормы и правила проектирования»;
в области соблюдения правильной и безопасной эксплуатации электроустановок:
-
- ПУЭ «Правила устройства электроустановок»;
в области охраны окружающей среды:
-Федерального закона от 10.01.2002 г. № 7-ФЗ «Об охране окружающей среды» и других законодательных актов по охране окружающей среды, действующих на территории РФ.
4 Условия поверкиПри проведении поверки соблюдают условия в соответствии с требованиями НД на поверку СИ, входящих в состав СИКГ.
5 Подготовка к поверкеПодготовку к поверке проводят в соответствии с НД на поверку СИ, входящих в состав СИКГ.
При подготовке к поверке проверяют наличие действующих свидетельств о поверке и (или) поверительных клейм на СИ, входящих в состав СИКГ.
6 Проведение поверки6.1. Внешний осмотр
При внешнем осмотре должно быть установлено соответствие СИКГ следующим требованиям:
-
- комплектность СИКГ должна соответствовать технической документации;
-
- на компонентах СИКГ не должно быть механических повреждений и дефектов покрытия, ухудшающих внешний вид и препятствующих применению;
-
- надписи и обозначения на компонентах СИКГ должны быть четкими и соответствующими технической документации.
-
6.2 Подтверждение соответствия ПО СИКГ.
-
6.2.1 Проверка идентификационных данных ПО комплекса измерительновычислительного расхода и количества жидкостей и газов «АБАК+» (далее -ИВК).
Чтобы определить идентификационные данные для ПО ИВК необходимо выполнить нижеперечисленные процедуры.
Для проверки текущей контрольной суммы необходимо нажать на клавишу под названием «Информация» на лицевой панели ИВК, прокрутить список, нажав клавишу «Вниз».
Занести информацию в соответствующие разделы протокола.
-
6.2.2 Если идентификационные данные, указанные в описании типа СИКГ и полученные в ходе выполнения п.6.2.1, идентичны, то делают вывод о подтверждении соответствия ПО СИКГ программному обеспечению, зафиксированному во время проведения испытаний в целях утверждения типа, в противном случае результаты поверки признают отрицательными.
-
6.3 Опробование
Опробование проводят в соответствии с НД на поверку СИ, входящих в состав СИКГ.
-
6.4 Определение MX
6.4.1 Определение MX СИ, входящих в состав СИКГ, проводят в соответствии с НД, приведенными в таблице 1.
аблица 1 - Перечень НД на поверку СИ
|
Наименование СИ |
НД |
|
Счетчик газа КТМ100 РУС |
МП 0239-13-2015 «Инструкция. ГСИ. Счетчики газа КТМ100 РУС. Методика поверки», с изменением №1, утвержденная ФГУП «ВНИИР» 25 мая 2017 г. |
|
Датчик давления Метран-150 мод. Метран-150ТАР2 |
МП 4212-012-2013 «Датчики давления Метран-150. Методика поверки», утвержденная ГЦИ СИ ФБУ «Челябинский ЦСМ» 11 ноября 2013 г. |
|
Термопреобразователь с унифицированным выходным сигналом Метран-270 мод. ТСПУ Метран-276 |
методика, изложенная в разделе 3.4 Руководства по эксплуатации 271.01.00.000 РЭ, утвержденная ГЦИ СИ ФБУ «Челябинский ЦСМ» в сентябре 2011 г. |
|
Комплекс измерительно вычислительный расхода и количества жидкостей и газов «АБАК+» |
МП 17-30138-2012 «Инструкция. Государственная система обеспечения единства измерений. Комплексы измерительновычислительные расхода и количества жидкостей и газов «АБАК+». Методика поверки» (с изменением №2), утвержденная ООО Центр Метрологии «СТП» 07 марта 2017 г. |
Допускается применение методик поверки на СИ, утвержденных при их испытании (приведенных в описании типа СИ, входящих в состав СИКГ). Возможно проведение поверки отдельных автономных блоков в виде средств измерений, входящих в состав СИКГ, для меньшего числа измеряемых величин или на меньшем числе поддиапазонов.
-
6.4.2 Определение относительной погрешности измерений объема СНГ, приведенного к стандартным условиям.
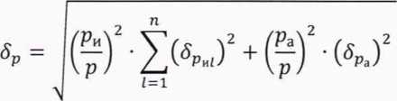
Относительную погрешность измерений объема СНГ, приведенного к стандартным условиям, 8Vc, %, вычисляют по формуле
8Vc = Jsj + + 6$ + д',2, (1)
где
8V - относительная погрешность измерений объема СНГ в рабочих условиях, %, принимают равной относительной погрешности измерений объема газа при рабочих условиях счетчика газа КТМ100 РУС;
8р - относительная погрешность вычисления плотности СНГ в рабочих условиях, %;
8Р - относительная погрешность вычисления плотности СНГ при стандартных условиях, %;
5В - относительная погрешность вычислителя, в соответствии со свидетельством о поверке, %.
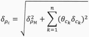
Относительную погрешность вычисления плотности СНГ в стандартных условиях, 8Рс, %, при определении плотности СНГ при стандартных условиях в соответствии с методикой ГСССД МР 113-2003 «Определение плотности, фактора сжимаемости, показателя адиабаты и коэффициента динамической вязкости влажного нефтяного газа в диапазоне температур 263...500 К при давлениях до 15 МПа» вычисляют по формуле

(2)
где
п - число компонентов в смеси СНГ;
8Рм - относительная методическая погрешность вычисления плотности СНГ по ГСССД МР 113, %. Принимают равной 0,2% при вычислении плотности сухого СНГ с содержанием метана не менее 70 мол.%, и 0,4% - при вычислении плотности сухих газовых смесей с содержанием метана менее 70 мол.% и для влажных газовых смесей;
вСк - коэффициент влияния k-го компонента СНГ на плотность СНГ в стандартных условиях;
8Ск - относительная погрешность измерений k-го компонента СНГ, %. Принимают в соответствии с методикой измерений молярной доли компонентов.
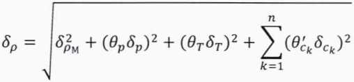
Относительную погрешность измерений плотности СНГ в рабочих условиях, 5р,%, вычисляют по формуле
и
<%, + (W2 + (eTsTy + ^WksCky.
(3)
где
п - число компонентов в смеси СНГ;
0р - коэффициент влияния давления СНГ на плотность СНГ;
6р - относительная погрешность измерений давления, %;
0Т - коэффициент влияния температуры СНГ на плотность СНГ;
8Т - относительная погрешность измерений температуры, %;
9ск - коэффициент влияния k-го компонента СНГ на плотность СНГ в рабочих условиях.
Коэффициенты влияния др,вт,вСк,вск вычисляют по следующей общей формуле
(4)
где
Y - значение измеряемой величины, зависящее от параметров ух, то есть
Y = Y(yl,y2, ...ух'). В качестве измеряемой величины могут выступать давление СНГ, температура СНГ, значение силы тока токового сигнала и т.п.;
ух - измеряемый параметр (усредненный за отчетный период), от которого зависит измеряемая величина;
Дуд. - абсолютная погрешность х-ого измеряемого параметра;
ДУ - изменение измеряемой величины Y при изменении измеряемого параметра на величину Ду*.
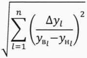
Относительную погрешность измерений температуры, 6Т, %, вычисляют по формуле

100(7-8 - Тн) т 273,15 + t
Л
где
п - число последовательно соединенных компонентов измерительной
цепи, используемых для измерения температуры;
t - измеренное значение температуры СНГ, усредненное за отчетный
период, °C;
Тв - верхний предел измерений температуры, °C;
Тн - нижний предел измерений температуры, °C;
Ду, - абсолютная погрешность /-го компонента измерительной цепи;
уВ( - верхний предел измерений температуры /-го компонента
измерительной цепи, выраженный в единицах измерения /-го компонента измерительной цепи;
ун/ - нижний предел измерений температуры /-го компонента измерительной цепи выраженный в единицах измерения /-го компонента измерительной цепи.
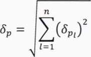
Относительную погрешность измерений абсолютного давления, Sp, %, вычисляют по формуле
- при измерении абсолютного давления:

(6)
где
и
-
- число последовательно соединенных компонентов измерительной цепи, используемых для измерения абсолютного давления;
-
- относительная погрешность измерений давления /-го компонента датчика абсолютного давления, %.
- при измерении избыточного давления: где


п - число последовательно соединенных компонентов измерительной
цепи, используемых для измерения избыточного давления;
ри - избыточное давление, МПа. Измеряют датчиком давления; ра - атмосферное давление, МПа. Измеряют барометром;
р - абсолютное давление, МПа. Вычисляют как сумму атмосферного и
избыточного давления;
5Ри( - относительная погрешность измерений избыточного давления /-го компонента датчика избыточного давления, %.
Дополнительные относительные погрешности величин «у», связанные с отклонением температуры окружающей среды от нормальных условий, рассчитывают по формуле
где
Гуд

приведенная дополнительная погрешность на каждые ДТ °C, %;
ДТр - отклонение температуры окружающей среды от нормальных условий,
ДТ - диапазон температур, для которого нормирована погрешность, °C; Ув “ верхний предел измерений СИ величины «у»;
Ун - нижний предел измерений СИ величины «у»;
значение измеряемой величины. В качестве измеряемой величины могут выступать давление СНГ, температура СНГ, значение силы тока токового сигнала и т.п.
Примечание - Если погрешность нормирована на диапазон изменений выходного сигнала, то вместо верхнего и нижнего пределов измерений СИ величины «у» и измеренного значения величины «У» следует использовать соответствующие значения выходного сигнала.
Вспомогательные формулы
Значение силы тока /, мА, (выходной сигнал 4-20 мА), соответствующее измеренному значению Y измеряемой величины «у», вычисляют по формуле

(9)
где
/н - минимальное (нижнее) значение выходного сигнала, мА,
соответствующее измеренному значению Ун измеряемой величины «у». Принимают равным 4 мА;
/в - максимальное (верхнее) значение выходного сигнала, мА,
соответствующее измеренному значению Ув измеряемой величины «у». Принимают равным 20 мА.
Связи между абсолютной, относительной и приведенной погрешностями измерений:
Ду
<5у = у • 100%.
(10)
где

относительная погрешность измерений величины «у»; абсолютная погрешность измерений величины «у».
Гу = ’100%'
'R — 'и
(11)
где
Гу
приведенная погрешность измерений величины «у».
Значения относительной погрешности измерений объема свободного нефтяного газа, приведенного к стандартным условиям, не должны превышать ±5 %.
7 Оформление результатов поверки-
7.1 Результаты идентификации программного обеспечения оформляют протоколом по форме, приведенной в приложении А.
-
7.2 Результат расчета относительной погрешности объема свободного нефтяного газа, приведенного к стандартным условиям, СИКГ оформляют протоколом в свободной форме.
-
7.3 При положительных результатах поверки оформляют свидетельство о поверке СИКГ в соответствии с требованиями документа «Порядок проведения поверки средств измерений, требования к знаку поверки и содержанию свидетельства о поверке», утвержденного приказом Минпромторга России № 1815 от 02.07.2015 г. «Об утверждении Порядка проведения поверки средств измерений. Требования к знаку поверки и содержанию свидетельства о поверке». На оборотной стороне свидетельства о поверке системы указывают:
-
- наименование измеряемой среды;
-
- значения относительной погрешности измерений объема свободного нефтяного газа, приведенного к стандартным условиям, и соответствующий им диапазон измерений объема свободного нефтяного газа при стандартных условиях;
-
- идентификационные признаки программного обеспечения СИКГ.
Знак поверки наносится на свидетельство о поверке СИКГ.
-
7.4 При отрицательных результатах поверки СИКГ к эксплуатации не допускают, свидетельство о поверке аннулируют и выдают извещение о непригодности к применению в соответствии с документом «Порядок проведения поверки средств измерений, требования к знаку поверки и содержанию свидетельства о поверке», утвержденным приказом Минпромторга России № 1815 от 02.07.2015 г.
Приложение А
(рекомендуемое) Форма протокола подтверждения соответствия программного обеспечения СИКГ
Протокол №
подтверждения соответствия программного обеспечения СИКГ
Место проведения поверки:______________________________________________________________________________________
НаименованиеСИ:_____________________________________________________________________________________
Заводской номер СИ: №_____________________________________________________________________________________
Таблица 1 - Идентификационные данные ПО комплекса измерительно-вычислительного расхода и количества жидкостей и газов «АБАК+» исполнения ИнКС.425210.003
|
Идентификационные данные (признаки) |
Значение,указанное в описании типа СИКГ |
Значение, полученное во время проведения поверки СИКГ |
|
Идентификационное наименование ПО | ||
|
Номер версии (идентификационный номер) ПО | ||
|
Цифровой идентификатор ПО (контрольная сумма исполняемого кода) |
Заключение: ПО СИКГ соответствует / не соответствует ПО, зафиксированному во время испытаний в целях утверждения типа СИКГ.
Должность лица проводившего поверку:
(подпись) (инициалы, фамилия)
Дата поверки: «______» _____________ 20___г.
10
