Методика поверки «ГСИ. Установки контроля георметичных параметров "МРК"» (МП 041.Д4-19)
УТВЕРЖДАЮ
Заместитель директора
--------ФГУП«ВНИИОФИ»
И. С. Филимонов
июля_________2019 г.
Государственная система обеспечения единства измерений
Установки контроля геометрических параметров «МРК»
МЕТОДИКА ПОВЕРКИ
МП041.Д4-19Главный метролог
ФГУП «ВН ОФИ»
С.Н. Него да
« 29 » июля 2019 г.
Москва 2019
1 ОБЛАСТЬ ПРИМЕНЕНИЯ-
1.1 Настоящая методика поверки распространяется на установки контроля геометрических параметров «МРК» (далее по тексту - установкой устанавливает методы и средства их первичной и периодических поверок.
-
1.2 Установки предназначены для измерений геометрических параметров объектов контроля в виде тел вращения, помещенных в измерительное поле установки в автоматическом режиме.
-
1.3 Интервал между поверками - 1 год.
-
2.1 При проведении первичной (в том числе после ремонта) и периодической поверки должны выполняться операции, указанные в таблице 1.
Таблица 1 - Операции первичной и периодической поверок
|
№п/ п |
Наименование операции |
Номер пункта методики поверки |
|
1 |
Внешний осмотр |
8.1 |
|
2 |
Идентификация программного обеспечения (ПО) |
8.2 |
|
3 |
Опробование |
8.3 |
|
4 |
Определение метрологических характеристик |
8.4 |
|
5 |
Определение диапазона и расчет абсолютной погрешности измерений положения точки поверхности объекта контроля по осям X и Z |
8.4.1 |
-
2.2 Поверку средств измерений осуществляют аккредитованные в установленном порядке в области обеспечения единства измерений юридические лица и индивидуальные предприниматели.
-
2.3 Допускается проводить частичную поверку в отдельных поддиапазонах измерений положения точки поверхности объекта контроля по осям X и Z.
-
2.4 Поверка установки прекращается в случае получения отрицательного результата при проведении хотя бы одной из операций, а установку признают не прошедшей поверку.
-
3.1 Рекомендуемые средства поверки указаны в таблице 2.
-
3.2 Средства поверки должны быть поверены и аттестованы в установленном порядке.
-
3.3 Приведенные средства поверки могут быть заменены на их аналог, обеспечивающие определение метрологических характеристик установок с требуемой точностью.
Таблица 2 - Средства поверки
|
Номер пункта (раздела) методики поверки |
Наименование средства измерения или вспомогательного оборудования, номер документа, регламентирующего технические требования к средству, разряд по государственной поверочной схеме и (или) метрологические и основные технические характеристики |
|
8.4.1 |
Индикатор часового типа ИЦ. (далее индикатор) |
|
Номер пункта (раздела) методики поверки |
Наименование средства измерения или вспомогательного оборудования, номер документа, регламентирующего технические требования к средству, разряд по государственной поверочной схеме и (или) метрологические и основные технические характеристики |
|
Диапазон измерений от 0 до 12,5 мм. Дискретность отсчета 0,001 мм. Пределы допускаемой абсолютной погрешности измерений ± 0,006 мм; Per. №58190-14. | |
|
8.4.1 |
Меры длины концевые плоскопараллельные Набор №1. Длины мер от 0,5 до 100,0 мм (83 шт.). Класс точности 2 в соответствии с ГОСТ 9038-90 Per. № 432-50. |
|
8.4.1 |
Меры длины концевые плоскопараллельные Набор №8. Длины мер от 50 до 500 мм (10 шт.). Класс точности 2 в соответствии с ГОСТ 9038-90. Per. № 37335-08. |
|
8.3 |
Штангенциркуль ШЦЦ-I (далее штангенциркуль). Диапазон измерений длины от 0 до 250 мм. Шаг дискретности цифрового отсчетного устройства 0,01 мм. Пределы допускаемой погрешности измерений длины ± 0,04 мм Per №52058-12 |
|
Вспомогательное оборудование | |
|
8.4.1 |
Приспособление для измерения геометрических размеров приведено в приложении Б и В |
Лица, допускаемые к проведению поверки, должны изучить устройство и принцип работы поверяемой установки и средств поверки по эксплуатационной документации, пройти обучение на право проведения поверки по требуемому виду измерений.
5 ТРЕБОВАНИЯ БЕЗОПАСНОСТИ-
5.1 При подготовке и проведении поверки должно быть обеспечено соблюдение требований безопасности работы и эксплуатации для оборудования и персонала, проводящего поверку, в соответствии с приведенными требованиями безопасности в нормативно-технической и эксплуатационной документации на установки и на средства поверки.
-
5.2 Освещенность рабочего места поверителя должна соответствовать требованиям Санитарных правил и норм СанПиН 2.2.1/2.1.1.1278-03.
-
6.1 При проведении поверки должны быть выполнены следующие условия:
-
- температура окружающей среды (20 ± 2)°С;
-
- относительная влажность окружающей среды от 30 до 70 %;
-
- атмосферное давление (100 ± 4) кПа.
-
6.2 Измерения на установке должны осуществляться в соответствии с руководством по эксплуатации. Проведение измерений можно начинать только после установления рабочего режима поверяемой установки и средств поверки.
-
7.1 Если установка и средства поверки до начала измерений находились в климатических условиях, отличающихся от указанных в п. 6.1 методики поверки, то установку нужно выдержать при климатических условиях, согласно п. 6.1 один час и средства поверки выдержать не менее часа, или времени, указанного в эксплуатационной документации.
-
7.2 Перед проведением поверки, средства поверки и установку подготовить к работе в соответствии с руководством по эксплуатации средств поверки и руководством по эксплуатации установки.
-
8 ПРОВЕДЕНИЕ ПОВЕРКИ
-
8.1.1 При внешнем осмотре должно быть установлено:
-
- комплектность поверяемой установки в соответствии с технической документацией;
-
- отсутствие механических повреждений настроечных образцов, механического и измерительного модулей, влияющих на работоспособность установки;
-
- целостность кабелей, соединяющих модули;
-
- четкая маркировка установки с указанием ее модификации по системе компании-изготовителя.
-
8.1.2 Установка считается прошедшей операцию поверки с положительным результатом, если установка соответствует требованиям, приведенным в пункте 8.1.1 методики поверки.
-
8.2.1 Включить установку:
-
8.2.1.1 Включить питание установки поворотом тумблера на шкафу автоматики
-
управляющего модуля установки.
-
8.2.1.2 Включить промышленный вычислитель вычислительного модуля
установки нажатием на нем кнопки питания.
-
8.2.1.3 Дождаться загрузки на промышленном вычислителе ОС Windows.
Запустить программное обеспечение установки нажатием на рабочем столе экрана промышленного вычислителя иконку «
».
-
8.2.2 На панели быстрого доступа нажать кнопку «О программе».
-
8.2.3 В отрывшемся окне прочитать название и номер версии ПО (рисунок 1).
О программе
М A R V ! ЕMRT-K
Программное обеспечение Установки контроля геометрических параметров ИРК
Версия: 1.30.0.5
С 2019 000 НАРВИ. Все права зашидекя.
ОК
Рисунок 1 - Окно «О программе»
-
8.2.4 Установка считается прошедшей операцию поверки с положительным результатом, если идентификационные данные ПО установки соответствуют значениям, приведенным в таблице 3.
Таблица 3 -Идентификационные данные ПО дефектоскопа
|
Идентификационные данные (признаки) |
Значение |
|
Идентификационное наименование ПО |
MRT-K |
|
Номер версии (идентификационный номер) ПО |
1.30.0.0 и выше |
|
Цифровой идентификатор ПО |
- |
-
8.3.1 Произвести измерение объекта контроля в соответствии с руководством по эксплуатации.
-
8.3.2 Убедиться, что установка производит полный цикл измерений в автоматическом режиме.
-
8.3.3 Убедиться, что установка выводит все предусмотренные для данного объекта контроля параметры.
-
8.3.4 Штангенциркулем произвести десять измерений диаметра колеса энкодера в разных точках.
-
8.3.5 Рассчитать среднеарифметическое десяти измерений колеса энкодера dcp, мм.
-
8.3.6 Рассчитать длину окружности 1окр, мм, по формуле (1):
Ькр тс ■ dCp (1)
-
8.3.7 На колесе энкодера и держателе колеса энкодера нанести риски друг на против друга.
-
8.3.8 На установке произвести обнуление энкодера, нажав кнопку «Обнулить». (Рисунок 2)
СВ Контроль колеса. v0.0.5
ЕГ
Готовность
Загмсь Открыть
Критерии НастроГкм
Отладка
Оборудование Измерения Поверка Слисок
Значение знкодера, ни
I10* ~i
Обнулить
Установка контроля геомет
Заводско
РЕЗУЛЬТАТ
Рисунок 2 - Показания углового энкодера.
-
8.3.9 Совершить один полный оборот до момента, когда риски сойдутся на одном уровне. Зафиксировать полученное значение 1К, мм.
-
8.3.10 Повторить измерения согласно пункта 8.3.9 для количества оборотов (пк) 2, 3, 4, 5, 10, 20 и количества оборотов, необходимое для измерения расстояния 15000 мм.
-
8.3.11 Провести измерения по пунктам 8.3.9 - 8.3.10 еще 2 раза и рассчитать среднее арифметическое значение.
-
8.3.12 Рассчитать отклонения от номинального значения А1К, мм, по формуле (2):
А1к пк • 10Кр — 1К (2)
-
8.3.13 Установка считается прошедшей операцию поверки с положительным результатом, если выполняются пункты 8.3.2 - 8.3.3 и отклонение энкодера положения в диапазоне от 0 до 15000 мм составляет ± (0,Г1к+1), где 1к - измеренное энкодером расстояние, мм.
8.4 Определение метрологических характеристик
8.4.1 Определение диапазона и расчет абсолютной погрешности измерений положения точки поверхности объекта контроля по осям X и Z-
8.4.1.1 Набрать с помощью мер длины концевых плоскопараллельных взятых из набора номер 1 и номер 8 (ГОСТ 9038-90 «Меры длины концевые плоскопараллельные. Технические условия») размер, соответствующий размеру настроечного образца 1 из комплекта поставки установки в контрольной точке «А1» (приложение Г). Меры длины концевые плоскопараллельные притереть друг к другу. Выложить их на ровную поверхность, обеспечивающую неподвижное положение. С помощью приспособления для измерения геометрических размеров (приложение Б), с закрепленным на нем индикатором, произвести настройку индикатора на размер набранных мер длины концевых плоскопараллельных.
-
8.4.1.2 Провести десять измерений расстояния между контрольными точками «А1» настроечного образца 1, Тн„ мм, что является координатой по оси X.
-
8.4.1.3 Рассчитать среднее арифметическое значение десяти измерений расстояния между контрольными точками «А1» настроечного образца 1, Lh, мм.
-
8.4.1.4 Вычислить среднее квадратическое отклонение (СКО) результата десяти измерений по формуле:
Т"=1(Ьн£-Ьн)2 п(п-1)
(3)
где и - количество измерений.
-
8.4.1.5 Проверить наличие грубых погрешностей и, при необходимости, исключить их.
Для этого вычислить критерии Граббса Gi. G2:
с |^нтах—^н| г* |Lh—LHmin|
-----S----С2 ----7---- (4)
где ZHwax - максимальное значение результата измерений расстояния между контрольными точками «А1» настроечного образца 1, мм;
Гн„„„ - минимальное значение результата измерений расстояния между контрольными точками «А1» настроечного образца 1, мм.
Если G,>GT, то Ьнтах исключают, как маловероятное значение, если G2>GT, то Lnmin исключают, как маловероятное значение (здесь критическое значение критерия Граббса при десяти измерениях GT = 2,482).
Если количество оставшихся результатов измерений стало меньше десяти, повторить п.
-
8.4.1.1 - 8.4.1.5, чтобы количество измерений без грубых погрешностей оставалось равным десяти.
-
8.4.1.6 Вычислить СКО среднего арифметического расстояния между контрольными точками «А1» настроечного образца 1по формуле:

где 5 - СКО результата десяти измерений расстояния между контрольными точками «А1» настроечного образца 1, мм;
п - количество измерений расстояния между контрольными точками «А1» настроечного образца 1.
-
8.4.1.7 Вычислить доверительные границы е, мм, случайной погрешности оценки расстояния между контрольными точками «А1» настроечного образца 1 при Р=0,95:
г = 2,262-5-,
X
(6)
где 2,262 - значение коэффициента Стьюдента для доверительной вероятности Р = 0,95 и числа результатов измерений равным десяти;
5- - СКО среднего арифметического расстояния между контрольными точками «А1» настроечного образца 1, мм.
-
8.4.1.8 Рассчитать значение СКО неисключенной систематической погрешности (НСП) S&, мм, серии измерений расстояния между контрольными точками «А1» настроечного образца 1по формуле:

где сумма абсолютных погрешностей индикатора и концевых мер, взятые из
свидетельств о поверки, мм.
-
8.4.1.9 Вычислить суммарное среднее квадратическое отклонение оценки расстояния между контрольными точками «А1» настроечного образца 1по формуле:

(8)
где SQ- среднее квадратическое отклонение НСП серии измерений расстояния между контрольными точками «А1» настроечного образца 1, мм;
S- - СКО среднего арифметического расстояния между контрольными точками «А1» настроечного образца 1, мм.
-
8.4.1.10 Рассчитать значение абсолютной погрешности AZh, мм, серии измерений расстояния между контрольными точками «А1» настроечного образца 1по формуле:
(9)
где К - коэффициент, зависящий от соотношения случайной составляющей погрешности и НСП, который рассчитывается по формуле:
£ + ®Е
5- + 5Я
(Ю)
где 8 - доверительные границы случайной погрешности оценки расстояния между контрольными точками «А1» настроечного образца 1, мм;
- абсолютная погрешность индикатора и концевых мер, взятые из свидетельства о поверки, мм;
5-
х - СКО среднего арифметического расстояния между контрольными точками «А1» настроечного образца 1, мм;
5
0- среднее квадратическое отклонение НСП серии измерений расстояния между контрольными точками «А1» настроечного образца 1, мм.
-
8.4.1.11 Повторить пункты 8.4.1.1 - 8.4.1.10 между контрольными точками «А1», «А2», «АЗ» настроечного образца 2 из комплекта поставки установки, указанными на чертеже приложение Г.
-
8.4.1.12 Повторить пункты 8.4.1.1 - 8.4.1.10 между контрольными точками «Б1», «Б2» настроечных образцов 1 и 2, указанными на чертеже приложение Г, использовав приспособление для измерения геометрических размеров (приложение В).
-
8.4.1.13 Повторить пункты 8.4.1.1 - 8.4.1.10 между контрольными точками «В1», «В2», «ВЗ», «В4» настроечного образца 1 и контрольными точками «В 1», «В2», «ВЗ» настроечного образца 2, указанными на чертеже приложение Г, которые являются координатами по оси Z.
-
8.4.1.14 Установить в устройство подачи настроечного образца в зону контроля установки настроечный образец 1 и закрепить его с помощью быстрозажимных механизмов.
-
8.4.1.15 Выбрать в выпадающем списке «Критерии» «Настроечный образец 1».
I


ег в в i0 © ® х
•wl-» Svao >Ж1Й. О'гам 9кия
• ■*» *»» Вв <«че Cram 0»4» ояв. >>■ m я»а Жгагаявок чкгага
с.ж [:ЬЖ 11 ** •«-
f ла» к. XI я» т же V*
с--м (;?/»«’.!*»! w мтнме; i


СЬ»мП»м ж an fял рл» «едя х
ЫГ. Хк» 9мяBetKC- Ж
Cd»w1®4; Ж сзи [.мк*ч 3 rw; чип: sii св» »и «оэ • ж им (хм»«7Хжмв: св» »» «аг.ж
atf! ЛЖ4»4^3 Хж»: се» »»их ж.
сам (аж -и mj чивхsat св»и’ «а» • ж
им [аж «тле a ь=»: чивхлж- со» ж
4iap) хм», Нивз w. аз» »и «2? • ж Я1 (ОеЖ 43MJJ &»■' ж»:я» СВ»» t кж. ж ИМ [ОЖ 47*41J Хи» ВХНЛ СО» W1 кзж ш: [ 1кЖ «1Я 4 ха» ) S3* СВ» н> 1 *04. ок
сж(ил4мтхга»>яив1Я1: св» внеси, ж ИМ (иж «7 «и SJECm: XUD3 SA СВ» BVK2J ж ая [;>ж <’ tcj х»»*}ииозя1 св» »»t «а: • ж аЗ’(ОЖ4?«П Xsaa?MUDLSaS;OD»aB<«eil-aK СИ* tЛ*«Яи Хаж WJDXSM СО»ЯВ1«14 ж Б2Л(иЖ4М'Л ЭлЕМгЧизди: СВ»0В1М*Л-ж ОМ (UXB «М Л Хаж «XXSI2 СЬ»В» «СU Ж «Ы ГЛвЬвМЦХ«=».. xuwixt CB»«rt«tXЖ
св. цел»».
:з» Гож «мя М* •* •»» ълвм_гл«г
CJ4VI ;МЬ «Л Ч* М гчм^в В. | м9

Настроечной обрами 1
О X
IOGOUC

Рисунок 3 - Окно для выбора настроечного образца
-
8.4.1.16 Включить готовность промышленного вычислителявычислительного модуля установки к обработке данных нажатием кнопки «Готовность».
-
8.4.1.17 На панели оператора модуля управления установки, представляющей собой выносной пульт, выбрать режим «Калибровка».
УКГЖК МРК
3/12/2019 9:02 AM
|||^ Автомат 1Калибровка |'J^’ Ручной [А
Наладка 1*^^ Транзит
Date
5
9:00:24 AM
3/12/2019
IO
Ошибка узла «5 сети Profinet (A82 привод центратора 2)
3
9:00:24 AM
3/12/2019
Ю
Ошибка узла *3 сети Profhet (А62 привод вращения колеса )
2
9:00:24 AM
3/12/2019
IO
Ошибка узла *2 сети Profhet (ET200SP)
1
9:00:24 AM
3/12/2019
IO
Нет связи с терминалом
9
9:00:03 AM
3/12/2019
IO
Ошибка узла «9 сети Profhet (А122 горизонтальный привод...
8
9:00:03 AM
3/12/2019
Ю
Ошибка узла #8 сети Profhet (Al 12 привод домкрата)
7
9:00:03 AM
3/12/2019
IO
Ошибка узла #7 сети Profhet (А 102 привод центратора 4)
2
9:00:03 AM
3/12/2019
I
Ошибка узла «2 сети Profinet (ET200SP)
1
9:00:03 AM
3/12/2019
I
Нет связи с терминалом
9
8:59:54 AM
3/12/2019
I
Ошибка узла #9 сети Profinet (А122 горизонтальный привод...
8
8:59:54 AM
3/12/2019
I
Ошибка узла *8 сети Profinet (Al 12 привод домкрата)
7
8:59:54 AM
3/12/2019
I
Ошибка узла #7 сети Profinet (А102 привод центратора 4)
6
8:59:54 AM
3/12/2019
I
Ошибка узла “6 сети Profinet (А92 привод центратора 3)
5
8:59:54 AM
3/12/2019
I
Ошибка узла #5 сети Profinet (А82 привод центратора 2)
3
8:59:54 AM
3/12/2019
I
Ошибка узла #3 сети Profinet (АЬ2 привод вращения колеса )
Рисунок 4 - Панель оператора
-
8.4.1.18 На панели оператора в открывшемся окне установить галочку напротив «Поверка» и нажать кнопку «Старт».

Укгжк МРК Калибровка
Старт
Калибровка
Поверка
Юстировка
В*п«д ] горкм-лвльяая 1-ЮО.О ПОЗИЦИЯ
Вили 1
вертикальная 4100.0
ПОЗИЦИЯ
Вилка 2
«•ориюита.члая 1100.0 позиция
3/12/2019 9:30 AM


Рисунок 5 - Запуск установки в режиме поверка
-
8.4.1.19 Измерение параметров настроечного образца 1 выполнится автоматически. Измеренные значения в контрольных точках образца, указанные в приложении Г, выводятся на экран монитора.
M A R V ! Е
Установка контроля геометрических параметров МРК
Заводской номер 191
РЕЗУЛЬТАТЫ ИЗМЕРЕНИЙ
Дата 15.03.2019
Время 11:40
Образец Настроечный образец 1
Измеренные значения
|
Размер А1 образца, мм |
780,01 |
|
Размер А2 образца, мм |
— |
|
Размер АЗ образца, мм |
— |
|
Размер Б1 образца, мм |
140.00 |
|
Размер Б2 образца, мм |
140,01 |
|
Размер В1 образца, мм |
150,00 |
|
Размер В2 образца, мм |
15,00 |
|
Размер ВЗ образца, мм |
15,00 |
|
Размер В4 образца, мм |
15x02 |
Рисунок 6 - Вывод значений измерений настроечного образца
-
8.4.1.20 Повторить пункты 8.4.1.18 - 8.4.1.19 еще четыре раза.
-
8.4.1.21 Рассчитать среднеарифметические значения расстояний между всеми контрольными точками, Ьи, мм.
-
8.4.1.22 Выполнить оценку систематической составляющей погрешности измерений установкой расстояний между контрольными точками по формуле:
Атеист Lh, (11)
где Ьи - среднее арифметическое значение расстояния между контрольными точками измеренное установкой, мм;
Lh - среднее арифметическое значение расстояния между контрольными точками полученное в результате измерений по п.8.4.1.3, мм.
-
8.4.1.23 Вычислить оценку среднего квадратического отклонения среднего арифметического по формуле:

(12)
ХГ=1(^И£-ЬЙ)2 n-(n-l) где Лиг расстояния между контрольными точками измеренное установкой, мм; п - количество измерений установкой расстояния между контрольными точками, мм.
-
8.4.1.24 Вычислить абсолютную погрешность измерений расстояния между контрольными точками по формуле:
Д£ = /д£сист2 + Д£н2 + (С • <т(0)2, (13)
где t = 2,262- значение коэффициента Стьюдента, для доверительной вероятности Р = 0,95 и числа результатов измерений равным десяти.
-
8.4.1.25 Повторить пункты 8.4.1.14 - 8.4.1.24, установив настроечный образец 2 из комплекта поставки установки.
-
8.4.1.26 Установка считается прошедшей операцию поверки с положительным результатом, если выполняются требования, приведенные в таблице 4:
Таблица 4 - Значение результатов измерений
|
Наименование характеристики |
Значение |
|
Диапазон измерений положения точки поверхности объекта контроля по осям, мм: X Z |
от 0 до 790 от 790 до 1200 от 1200 до 1500 от 0 до 250 от 250 до 350 |
|
Пределы допускаемой абсолютной погрешности измерений положения точки поверхности объекта по осям, мм: X (модификация 1) X (модификация 2) Z (модификация 1) Z (модификация 2) |
±0,05 ±0,1 ±0,05 ±0,1 |
-
9.1 Результаты поверки заносятся в протокол. Рекомендуемая форма протокола поверки - приложение А. Протокол может храниться на электронных носителях.
-
9.2 При положительных результатах поверки оформляют свидетельство о поверке и наносится знак поверки в соответствии с приказом Минпромторга России от 02.07.2015 г. №1815 Об утверждении порядка проведения поверки средств измерений, требования к знаку поверки и содержанию свидетельства о поверке.
-
9.3 При отрицательных результатах поверки, установка признается непригодной к применению и на него выдается извещение о непригодности в соответствии с приказом Минпромторга России от 02.07.2015 г. №1815 Об утверждении порядка проведения поверки средств измерений, требования к знаку поверки и содержанию свидетельства о поверке с указанием причин непригодности.
Исполнители:
Начальник отдела Д-4
ФГУП «ВНИИОФИ»
Начальник отдела Д-2
ФГУП «ВНИИОФИ»
Инженер 1-ой категории отдела Д-4
ФГУП «ВНИИОФИ»

Приложение А (Рекомендуемое) Форма протокола поверки
Протокол первичной/периодической поверки №_____
От «___»___________20___года.
Средство измерений:_______________________________________________________________
Заводской номер:____________________________________________________________________
Дата выпуска:_____________________________________________________________________
Заводской номер преобразователя:_____________________________________________________
Серия и номер клейма предыдущей поверки:_________________________________________
Принадлежащее:_________________________________________________________________
Поверено в соответствии с методикой поверки:________________________________________
С применением эталонов:___________________________________________________________
Условия проведения поверки:
Температура окружающей среды_____°C;
относительная влажность_____________%;
атмосферное давление________________мм рт.ст.
А.1 Внешний осмотр
А.2 Идентификация программного обеспечения (ПО)
А.З Опробование
А.4 Результаты определения метрологических характеристик:
|
Метрологические характеристики |
Номинальная величина / погрешность |
Измеренноезначение |
Заключение |
Заключение:_______________________________________________________________________
Средство измерений признать пригодным (или непригодным) для применения
Поверитель:
Подпись
/_______________
ФИО
Приложение Б
(Рекомендуемое)
Схематическое изображение приспособления для измерения геометрических размеров


Приложение В (Рекомендуемое)
Схематическое изображение приспособления для измерения расстояния между контрольными точками «Б1», «Б2» настроечных образцов 1и 2

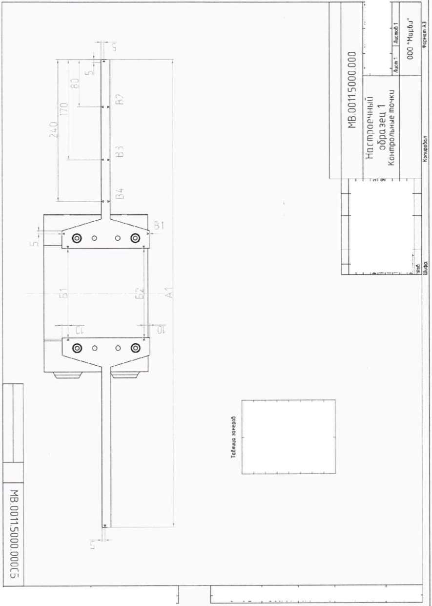
Приложение Г
(Рекомендуемое)
Чертежи настроечных образцов 1 и 2 с указанием точек контроля размеров

|
X X OJ 3 X ? ? | |||||||
|
сх о. |
S |
S |
со |
2 |
о |
|
наигЧи jdau |
Л QBOuj |
|
«о 3 £ | |
|
£ | |
|
F о |

|
DUOpn ирои |
vjnp л ЪЧ |
/4 дмп mdeq |
D-MDp П UQOU |
I'POU Ц 9-м |
Таблица Г.1 Номинальные значения расстояний между контрольными точками в
|
Размер |
А1 |
Б1 |
Б2 |
В1 |
В2 |
ВЗ |
В4 |
|
Значение, мм |
790 |
150 |
150 |
150 |
15 |
15 |
15 |
Таблица Г.2 Номинальные значения расстояний между контрольными точками в
настроечном образце 2
|
Размер |
А1 |
А2 |
АЗ |
Б1 |
Б2 |
В1 |
В2 |
вз |
|
Значение1, мм |
1200 |
1200 |
1200 |
250 |
250 |
250 |
130 |
130 |
|
Значение 2, мм |
1500 |
1500 |
1500 |
350 |
350 |
350 |
200 |
200 |



|
кэнпби vfeu |
|
XMUDQ П -UpOU |
Л Чип имд |
DU BQ П UpOJ |
18
