Методика поверки «ГСОЕИ. Хроматографы газовые SCION моделей 436-GC и 456-GC» (ΜΠ-242-1487-2013)
Федеральное государственное унитарное предприятие
«Всероссийский научно-исследовательский институт метрологии им. Д.И. Менделеева» ФГУП «ВНИИМ им.Д.И.Менделеева»
УТВЕРЖДАЮ
И.о.директора ФГУП
. Д.И.Менделеева»
25.10.2019 г.
Государственная система обеспечения
Хроматографы газовыеSCION моделей 436-GC и 456-GC
МЕТОДИКА ПОВЕРКИ
МП-242-1487-2013
(с Изменением №1)
Зам.руководителя отдела Госэталонов в области физико-химических измерений ФГУП «ВНИИМхйМ. Д34.Менделеева»
(1 ■''' А. В. Кол обо ва
Старший научный сотрудник
ФГУП «ВНИИМ им. Д.И.Менделеева»
М.А.Мешалкин
Санк г - Петербург
2019
Настоящая методика поверки распространяется на хроматографы газовые SCION моделей 436-GC и 456-GC (далее - хроматографы) и устанавливает методы и средства их первичной поверки до ввода в эксплуатацию или после ремонта и периодической поверки в процессе эксплуатации. Методика распространяется только на вновь выпускаемые хроматографы. Интервал между поверками — 1 год.
1. Операции поверки1.1 При проведении поверки должны выполняться операции, указанные в таблице 1.
Таблица 1 - операции поверки
|
Наименование операции |
Номер пункта |
Проведение операции при поверке | |
|
первичной |
периодической | ||
|
Внешний осмотр |
6.1 |
Да |
Да |
|
Опробование |
6.2 | ||
|
—проверка соответствия ПО |
Да |
Да | |
|
—определение дрейфа и уровня шума нулевого сигнала |
Да |
Да11 | |
|
—определение предела детектирования |
Да |
Да | |
|
Определение относительного СКО выходного сигнала |
6.3 |
Да |
Да" |
|
Определение изменения выходного сигнала за 48 ч непрерывной работы хроматографа |
6.4 |
Да |
Да" |
|
Определение метрологических характеристик по документу на методику выполнения измерений |
- |
Нет |
Да2’ |
|
1) При отсутствии НД на методику (метод) измерений по ГОС' |
Г 8.563-2009. | ||
2) При наличии ИД на методику (метод) измерений по ГОСТ 8.563-2009.
При наличии нормативных документов по ГОСТ 8.563-2009 на методику выполнения измерений опробование хроматографов проводят путем проверки их работоспособности в соответствии с НД на них, а определение метрологических характеристик, в соответствии с МИ 2531-99 «Анализаторы состава веществ и материалов универсальные. Общие требования к методикам поверки в условиях эксплуатации», проводится с использованием образцов для контроля (ГСО, аттестованные смеси), материалов, реактивов, вспомогательного оборудования в соответствии с требованиями НД на МВИ. При выполнении поверки с использованием МВИ. пункты, отмеченные индексом ” в таблице 1, не выполняются.
-
1.2. Операции поверки проводят с использованием капиллярной или насадочной колонки.
1.3 По заявлению владельца хроматографа (или другого лица, представившего хроматограф на поверку), допускается проведение поверки меньшего количества детекторов из состава хроматографа с обязательным указанием в свидетельстве о поверке сведений о поверенных детекторах.
(Измененная редакция, Изм. № 1)
2. Средства поверки-
2.1. Основные средства поверки:
-стандартный образец состава гексадекана ГСО 7289-96, стандартный образец состава жидкой смести метилпаратиона в гексане ГСО 11056-2018 или стандартный образец состава жидкой смести метилпаратиона в изооктане ГСО 11057-2018, стандартный образец состава пестицида гамма-ГХЦГ (линдана) ГСО 8890-2007.
-стандартный образец состава искусственной газовой смеси, содержащей углеводородные газы с диапазоном аттестованных значений молярной доли пропана (в азоте или гелии) от 1000 до 10000 млн'1, имеющие относительную погрешность аттестации не более ±10% (например: ГСО 10772-2016).
-стандартный образец состава искусственной газовой смеси, содержащей углеводородные газы с диапазоном аттестованных значений молярной доли метана (в азоте или гелии) от 10 до 100 млн'1, имеющие относительную погрешность аттестации не более ±15 % (например: ГСО 10772-2016).
-стандартный образец состава искусственной газовой смеси с серосодержащими газами с диапазоном аттестованных значений молярной доли сероводорода (в азоте или гелии) от 1 до 100 млн'1, имеющие относительную погрешность аттестации не более ±10 % (например: ГСО 10771-2016).
-
2.2. Растворители:
Гексан "ХЧ" по ТУ 2631-003-05807999-98 или изооктан эталонный по ГОСТ 1433-83.
2.3 Вспомогательные средства поверки:
-
- меры вместимости: пипетки 2 класса точности по ГОСТ 29227-91, колбы наливные 2 класса точности по ГОСТ 1770-74
-
- весы лабораторные высокого класса точности по ГОСТ OIML R 76-1-2011.
-
- термогигрометр электронный или гигрометр психрометрический, зарегистрированные в Федеральном фонде по обеспечению единства измерений (например ФИФ №22129-09: ФИФ № 69566-17 или аналогичные).
-
2.4. Допускается применение аналогичных средств поверки, обеспечивающих определение метрологических характеристик поверяемых средств измерений с требуемой точностью.
(Измененная редакция, Изм. № 1)
-
2.5. При проведении поверки хроматографа для ввода пробы возможно использование как крана-дозатора или газоплотного шприца (п. 2.1) для ввода газовых проб, так и инжектора для ввода проб при помощи шприца для жидкости или автоматического дозатора (п.2.2).
-
2.6. При проведении поверки хроматографа с газовым краном-дозатором или при использовании газоплотного шприца для определения пределов детектирования и СКО выходных сигналов следует использовать поверочные газовые смеси, указанные в п.2.1, или аналогичные, допущенные к применению в установленном порядке.
-
2.7. При проведении поверки хроматографа с инжекторами, обеспечивающими шприцевой/автоматический ввод жидких проб, должны быть использованы поверочные смеси веществ, указанные в таблице №2. Смеси приготавливают согласно Приложению №1 к настоящей методике поверки или используют готовые.
Таблица 2 - Поверочные смеси
|
Тип детектора |
Контрольное вещество/растворитель |
Содержание определяемого компонента, мг/см3 |
|
ДТП |
Гексадекан/гексан или Г ексадекан/изооктан |
от 0,2 до 0,3 |
|
ПИД |
Гексадекан/гексан или Г ексадекан/изооктан |
от 0,02 до 0,03 |
|
эзд |
Линдан/гексан или Линдан/изооктан |
(3.0-5,0) х10‘5 |
|
тид |
Метафос/гексан или Метафос/изоокган |
(1,5-2,0) И0'! |
|
ППФД |
Метафос/гексан или Метафос/изооктан |
(1,5-2,0) хЮ'3 |
(Измененная редакция, Изм. № 1)
3. Требования к квалификации поверителей-
3.1. К проведению поверки допускаются лица, имеющие техническое образование, изучившие Руководство по эксплуатации хроматографа и детекторов (далее — РЭ) и методику поверки. Для снятия данных при поверке допускается участие операторов, обслуживающих хроматограф (под контролем поверителя).
При проведении поверки должны быть соблюдены следующие условия:
-
4.1. Температура окружающего воздуха от +18 до +25°С
-
4.2. Относительная влажность окружающего воздуха (при 25°С) от 20 до 80%
-
4.3. Атмосферное давление от 84 до 106 кПа
-
5.1. Перед проведением поверки должны быть выполнены следующие подготовительные работы:
приготовлены поверочные смеси согласно п. 2 настоящей методики,
- проведена проверка герметичности газовых линий хроматографа согласно РЭ. подготовка тестовой колонки согласно РЭ.
В качестве тестовых колонок могут быть использованы как колонки, рекомендованные заводом-производителем, так и любые другие типы колонок любых других производителей, обеспечивающие приемлемое время удерживания контрольного вещества.
-
5.2. Для хроматографа, собранного на заводе-изготовителе в конфигурации, не предусматривающей замену рабочих колонок на тестовые, допускается проводить поверку на установленных колонках, а режимы работы (температура термостата колонок, температура инжектора и детектора и т.д.) устанавливать (подбирать) исходя из его назначения (методики).
-
6.1. Внешний осмотр
При проведении внешнего осмотра должно быть установлено: отсутствие механических повреждений корпуса целостность показывающих приборов.
четкость маркировки.
-
6.2. Опробование
-
6.2.1. Опробование проводится в автоматическом режиме. После включения прибора и запуска управляющей программы, в случае успешного прохождения операций самотестирования прибора, на экране компьютера должно появиться стартовое окно программы управления. В противном случае на экране появляется сообщение об ошибке
-
6.2.2. Подтверждение соответствия программного обеспечения
Для определения номера версии встроенного программного обеспечения для управления хроматографами газовых SCION моделей 436-GC и 456-GC выполнить следующие действия:
-на панели управления хроматографа нажать кнопку «?»;
-на появившемся экране проверить версию ПО прибора. Копия экрана (пример) приведена на рисунке 1.
compassCDS Method Анализ 0.00
О
О
Режим
Рисунок 1 - Окно с идентификационными данными встроенного ПО

Стату
в

Определение номера версии автономного ПО осуществляется следующим образом:
- в главном окне программы в строке команд щелкнуть мышыо на команде “Help”. В открывшемся окне щелкнуть мышью по строке About, в результате чего откроется окно, в котором приведены идентификационное название ПО и номер версии. Копия экрана (пример) приведена на рисунке 2.
Рисунок 2 - Окно с идентификационными данными ПО CompassCDS
Хроматограф считается выдержавшим поверку по п. 6.2.2, если номер версии встроенного ПО не ниже 5.06, а номер версии автономного ПО не ниже 3.0.0.51.
(Измененная редакция, Изм. № 1)
-
6.2.3. Определение уровня флуктуационных шумов нулевого сигнала, дрейфа нулевого сигнала и предела детектирования
-
6.2.3.1. Уровень флуктуационных шумов нулевого сигнала определяют после выхода хроматографа на рабочий режим и принимают его равным амплитуде (размаху) повторяющихся колебаний нулевого сигнала с периодом не более 20 секунд. Для определения уровня флуктуационных шумов проводят регистрацию нулевой линии в течение 10 минут, при этом единичные выбросы длительностью более 1 с не учитывают
-
6.2.3.2. За дрейф нулевого сигнала принимают наибольшее смещение средней линии нулевого сигнала в течение 20 минут.
-
6.2.3.3. Дрейф и шум не должны превышать значений, указанных в таблице 3.
Таблица 3 - Уровень флуктуационных шумов и дрейф нулевого сигнала
|
Тип детектора |
Уровень флуктуационных шумов (Дх), не более |
Дрейф нулевого сигнала, не более |
|
ДТП |
1,0-1 О'4, в |
1,010"4, В/мин |
|
ПИД |
4,5 10’5, В |
6,0- 10-5, В/мин |
|
эзд |
б,ою~*, в |
1,0-1 О’4, В/мин |
|
тид |
5,0 Ю"1, В |
6.0-10-*. В/мин |
|
ППФД |
5,0 юА в |
6,0-ЮЛ В/мин |
|
ГИПРД |
5,0- 10м, В |
6,0 10 4, В/мин |
6.2.4. Определение предела детектирования.
-
6.2.4.1. Вводят в инжектор-испаритель микрошприцом (или с помощью автосэмплера) 1-10 мкл поверочной смеси либо краном-дозатором 0,1-1 см3 газовой смеси. Воспроизводят хроматограмму на дисплее/принтере. При использовании капиллярных колонок можно применять для инжектора режим деления потока (сплит). В этом случае, при расчете предела обнаружения, нужно учитывать введенный коэффициент в качестве множителя.
-
6.2.4.2. Уровень шума, необходимый для расчета предела обнаружения, взять из данных, полученных при выполнении п.6.2.2.
-
6.2.4.3. Измерить выходной сигнал — площадь пика контрольного вещества (далее — S), выраженный в соответствующих для каждого детектора единицах ( В * с, А х с, Гц * с).
-
6.2.4.4. Вычисляют предел детектирования по формуле:
а) для ПИД, ЭЗД в г/с:
(1)
б) для ППФД. ТИД (по фосфору или сере в метафосе (метилпаратионе) в г/с:
= 0,12
(2)
в) для ДТП: в г/см3
2 х Д • G
X
(3)
SxQ
где:
G - масса введенного контрольного вещества, рассчитанная по формуле (4) и выраженная в граммах;
0,12 - коэффициент, учитывающий содержание серы (или фосфора) в метилпаратионе;
0,053 - коэффициент, учитывающий содержание азота в метилпаратиона;
Q - объёмный расход газа-носителя, см 7с.
S - площадь пика (среднее значение по двум измерениям).
г) При использовании жидкой пробы масса контрольного компонента определяется по формуле G=CtxK (4)
где: Си-массовая концентрация контрольного вещества в смеси (в случае жидких проб), г/см’. V - объём введённой контрольной смеси, см3
д) При использовании газовой пробы масса контрольного компонента определяется по формуле:
G _г 0,0\Р М-Сг '■ г /?(/ + 273)
(5)
где У v —объем газовой пробы, см3;
Р — атмосферное давление, Па;
М — молярная масса. Для пропана М= 44 г/моль, для сероводорода М= 34 г/моль;
Q — объемная доля контрольного вещества в газовой смеси, %;
к — газовая постоянная, я = 8,3 • 10 6 Па ‘см *__J
моль • град.
t — температура окружающей среды, °C;
Со=О,941 (для сероводорода);
Со=1 (для пропана).
е) Предел обнаружения для ГИПРД по метану определянтся по следующей формуле:
2хДл*С
(6)
Н
где: Дх - уровень флуктуационных шумов нулевого сигнала, мВ;
С - объемная (молярная) доля контрольного вещества, млн'
Н - среднее значение высоты пика контрольного вещества для числа измерений N 10, мВ.
-
6.2.4.5 Найденные Cmin не должны превышать значений пределов детектирования, указанных в Приложении 2.
-
6.3.1. Вводят в инжектор-испаритель один и тог же объем в пределах 1-10 мкл жидкой поверочной смеси с помощью микрошприца (автодозатора) или 0,1-1 см3 газовой смеси с помощью крана-дозатора или газоплотного шприца и воспроизводят на дисплее хроматограмму.
-
6.3.2. Фиксируют время удерживания (далее— ti), высоту (далее hi) и площадь пика контрольного вещества (далее — Si).
-
6.3.3. Повторяют операции по пп. 6.3.1.-6.3.2. несколько раз до получения десяти достоверных измерений. При этом недостоверные результаты измерений, которые можно оценить как выбросы (см. ГОСТ Р ИСО 5725-1-2002, п. 3.21), отбраковываются и не учитываются в расчетах.
-
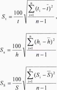
6.3.4. Относительное СКО выходного сигнала (по времени удерживания, высоте и площади пика), выраженное в процентах, вычисляют по формулам 7, 8 и 9 соответственно:

(7)
(8)
(9)
-
6.3.5. Найденные значения не должны превышать пределов допускаемого относительного СКО выходного сигнала, указанных в Приложении №2.
-
6.4.1 Относительное изменение выходного сигнала 8t за цикл измерений 48 часов, выраженное в процентах, определяют по формуле:
(Ю)
—-х 100
где: S — среднее арифметическое значение ( вычисленное по трём результатам измерений) выходного сигнала (площади пика ) в начальный момент времени.
St — среднее арифметическое значение (вычисленное по трём результатам измерений) выходного сигнала (площади пика) через 48 часов.
Изменение выходного сигнала не должно превышать значений, указанных в Приложении 2.
7. Оформление результатов поверки-
7.1. Данные, полученные при поверке, оформляются в виде протокола, по форме установленной в организации, проводящей поверку.
-
7.2. Хроматограф, удовлетворяющий требованиям настоящей методики поверки, признается годным и на него оформляется свидетельство о поверке по установленной форме.
На оборотной стороне свидетельства приводится следующая информация:
- результаты определения метрологических характеристик;
-дополнительная информация в соответствии с требованиями, установленными в организации, проводящей поверку.
-
7.3. Хроматограф не удовлетворяющие требованиям настоящей методики, к дальнейшей эксплуатации не допускается и на него выдается извещение о непригодности.
-
7.4. Знак поверки наносится на лицевую панель хроматографа и (или) на свидетельство о поверке.
(Измененная редакция, Изм. № 1)
Приложение 1
Методика приготовления поверочных растворовНастоящая методика устанавливает методику приготовления поверочных растворов, предназначенных для контроля метрологических характеристик хроматографа.
1 Процедура приготовления поверочных растворов
-
1.1 Растворы в диапазоне от 1 до 10 мг/см3 приготавливают объемно-весовым методом. Массовую концентрацию контрольного вещества (с.) определяют по формуле:
/77
С1 — 1
(1)
V
где — масса контрольного вещества, мг;
V — объем приготовленного раствора, см3.
-
1.2 Исходные вещества, используемые для приготовления раствора, выдерживают не менее 2 ч в лабораторном помещении.
-
1.3 Температура окружающей среды при приготовлении контрольных растворов не должна изменяться более, чем на 4 °C.
-
1.4 Определяют массу (W|) мерной колбы вместимостью 100 см3. Результат взвешивания записывают до первого десятичного знака.
-
1.5 В мерную колбу вносят от 100 до 1000 мг контрольного вещества и вновь взвешивают колбу (тг).
-
1.6 Вычисляют массу контрольного вещества (/77) в мг
(2)
-
1.7 В колбу с контрольным вещества вводят от 20 до 25 см3 растворителя, перемешивают содержимое и доводят объем раствора до 100 см3. Тщательно перемешивают раствор.
-
1.8 Рассчитывают массовую концентрацию контрольного вещества по п. 1.1.
-
1.9 Растворы с содержанием контрольного вещества от 5-10’1 2 до 1 мг/см? приготавливают объемным методом путем последовательного разбавления более концентрированных растворов. Массовую концентрацию контрольного вещества рассчитывают по формулам:
С,-Г2
100
100
-
1.10 Перед каждым разбавлением рассчитывают значение аликвотной доли раствора ( И|,и2,гп), исходя из заданного значения концентрации контрольного вещества (C0,CJ,Cn_|) и концентрации разбавляемого раствора.
1.11В мерную колбу вместимостью 100 см3 вносят аликвотную долю разбавляемого раствора, доводят объем приготавливаемого раствора до 100 см3 и тщательно перемешивают.
2 Хранение поверочных растворов
А.2.1 Поверочные растворы хранят в чистых склянках с хорошо притертыми пробками, вдали от источников огня и нагревательных приборов при температуре от 4 °C до 8 °C.
Срок хранения исходного раствора от 3 до 5 дней, смеси меньших концентраций хранению не подлежат.
3. 2. При использовании средств измерений и стандартных образцов и реактивов, указанных в п.1. настоящего приложения, относительная погрешность поверочного раствора, приготовленного по данной методике, не превышает ±5 %.
11риложение 2
2.1. Расшифровка сокращенных названий детекторов
-
• ДТП — детектор по теплопроводности;
-
• ПИД — пламенно-ионизационный детектор;
-
• ЭЗД — электронно-захватный детектор;
-
• ТИД — термоионный детектор;
-
• ППФД — пульсирующий пламенно-фотометрический детектор
-
• ГИПРД — гелиевый ионизационный пульсирующего разряда детектор
1 Предел детектирования и предельное допускаемое значение относительного изменения выходного сигнала за 48 часов непрерывной работы (в зависимости от типа детектора):
|
Детектор |
Предел детектирования, не более |
Контрольное вещество |
Предельное допускаемое значение относительного изменения выходного сигнала за цикл измерений 48 часов (по площади пика), % |
|
ДТП |
ЗЮ*10 г/см3 |
Г ексадекан Пропан1 |
±6,0 |
|
ПИД |
1,41012 г/с |
Гексадекан Пропан1 |
±6,0 |
|
ЭЗД |
2 10'14 г/с |
Линдан |
±8,0 |
|
ТИД |
1 • 1 О*1 3 г/с по фосфору |
Метафос |
±8,0 |
|
ППФД |
1 ПО'12 г/с по сере |
Метафос Сероводород1 |
±10,0 |
|
ГИПРД |
100 млрд'1 |
Метан |
± 10,0 |
|
Примечание 'при вводе пробы с помощью газового крана или газоплотного шприца | |||
(Измененная редакция, Изм. № 1)
2 Относительное СКО выходного сигнала (в зависимости от детектора). %. не более:
|
Детектор |
Автоматическое дозирование пробы |
Ручное дозирование пробы | ||||
|
По времени удерживания |
По высоте пика |
По площади пика |
По времени удерживания |
По высоте пика |
По площади пика | |
|
ДТП |
0,2 |
2,0 |
2,0 |
0,3 |
4,0 |
4,0 |
|
ПИД |
0,2 |
3,0 |
3,0 |
0,3 |
4,0 |
4.0 |
|
ЭЗД |
0,2 |
4,0 |
4,0 |
0,3 |
5,0 |
5,0 |
|
ТИД |
0,2 |
4,0 |
4,0 |
0,3 |
5,0 |
5,0 |
|
ППФД |
0,2 |
8,0 |
8,0 |
0,3 |
10,0 |
10.0 |
|
ГИПРД |
0,2 |
5,0 |
5,0 |
- |
- |
- |
12
где п — номер ступени разбавления исходного раствора с концентрацией Q.
— аликвотная доля раствора с массовой концентрацией Со,CJ,Cn_b соответственно, мг/см3.
