Методика поверки «ГСИ. Спектрометры оптико-эмиссионные SPECTROLAB. SPECTROMAXx» (МП 73-241-2017)
ФЕДЕРАЛЬНОЕ ГОСУДАРСТВЕННОЕ УНИТАРНОЕ ПРЕДПРИЯТИЕ УРАЛЬСКИЙ НАУЧНО-ИССЛЕДОВАТЕЛЬСКИЙ ИНСТИТУТ МЕТРОЛОГИИ (ФГУП «УНИИМ»)

ГОСУДАРСТВЕННАЯ СИСТЕМА ОБЕСПЕЧЕНИЯ ЕДИНСТВА ИЗМЕРЕНИЙ
Спектрометры оптико-эмиссионные SPECTROLAB, SPECTROMAXx
МЕТОДИКА ПОВЕРКИ МП 73-241-2017Екатеринбург
2017
ПРЕДИСЛОВИЕ
-
1 РАЗРАБОТАНА ФГУП «Уральский научно-исследовательский институт метроло гии» (ФГУП «УНИИМ»)
-
2 ИСПОЛНИТЕЛЬ Зеньков Е.О.
-
3 УТВЕРЖДЕНА ФГУП «УНИИМ» в мае 2017 г.
СОДЕРЖАНИЕ
Государственная система обеспечения единства измерений Спектрометры оптико-эмиссионные SPECTROLAB, SPECTROMAXx Методика поверки |
МП 73-241-2017 |
Дата введения в действие: май 2017 г
1 Область примененияНастоящая методика поверки распространяется на спектрометры оптико-эмиссионные SPECTROLAB, SPECTROMAXx (далее - спектрометры) производства фирмы «Spectro Analytical Instruments GmbH», Германия и устанавливает методы и средства первичной и периодической поверок.
Поверка спектрометров должна производиться в соответствии с требованиями настоящей методики. Интервал между поверками - два года.
2 Нормативные ссылкиВ настоящей методике поверки использованы ссылки на следующие документы: Приказ Минпромторга России N 1815 от 02.07.2015 «Об утверждении Порядка проведения поверки средств измерений, требования к знаку поверки и содержанию свидетельства о поверке»
Приказ Минтруда России №328н от 24.07.2013 «Об утверждении Правил по охране труда при эксплуатации электроустановок»
ГОСТ 12.2.007.0-75 Система стандартов безопасности труда. Изделия электротехнические. Общие требования безопасности
ГОСТ 12.2.003-91 Система стандартов безопасности труда. Оборудование производственное. Общие требования безопасности.
3 Операции поверки3.1 При поверке должны быть выполнены операции, указанные в таблице 1.
Таблица 1 - Операции поверки
Наименование операции |
Номер пункта ме-тодики поверки |
Обязательность проведения операций при | |
первичной поверке |
периодической поверке | ||
1 |
2 |
3 |
4 |
1 Внешний осмотр |
8.1 |
да |
да |
2 Опробование |
8.2 |
да |
да |
Продолжение таблицы 1
1 |
2 |
3 |
4 |
3 Проверка метрологических характеристик | |||
3.1 Проверка относительного среднего квадратического отклонения результатов измерений выходного сигнала |
8.3.1 |
да |
да |
3.2 Проверка относительной погрешности результатов измерений массовой доли элементов |
8.3.2 |
да |
да |
3.3 Проверка диапазона измерений массовой доли элементов |
8.3.3 |
да |
нет |
-
3.2 В случае невыполнения требований хотя бы к одной из операций поверка прекращается, спектрометр бракуется.
-
4.1 При проведении поверки применяют следующие средства поверки:
- стандартный образец состава порошка железного типа ПЖВЗ ГСО 3011-2002 (массовая доля железа 99,1 %, абс. погрешность ± 0,1 %; массовая доля кремния 0,060 %, абс. погрешность ± 0,002 %; массовая доля марганца 0,329 %, абс. погрешность ± 0,005 %);
-
- стандартный образец состава алюминия ГСО 10462-2017 (комплект VSA4) (массовая доля бериллия 0,000513 %, абс. погрешность ± 0,000027 %; массовая доля меди 0,095 %, абс. погрешность ± 0,005 %);
-
- стандартный образец состава алюминия ГСО 10662-2015 (комплект VSAC11) (массовая доля цинка 1,0 %, абс. погрешность ± 0,04 %; массовая доля олова 0,0351 %, абс. погрешность ± 0,0032 %; массовая доля магния 0,91 %, абс. погрешность ± 0,08 %);
-
- стандартный образец состава сплава на никелевой основе ХН70Ю (Н11) ГСО 1418-92П (массовая доля марганца 0,147 %, абс. погрешность ± 0,003 %; массовая доля хрома 27,04 %, абс. погрешность ± 0,03 %; массовая доля алюминия 2,83 %, абс. погрешность ± 0,03 %; массовая доля железа 0,47 %, абс. погрешность ± 0,01 %).
-
4.2 Допускается применение других средств поверки, обеспечивающих требуемую точность и диапазоны измерений.
-
5.1 При проведении поверки должны быть соблюдены «Правила по охране труда при эксплуатации электроустановок», утвержденные Приказом Минтруда России №328н от 24 июля 2013 г., требования ГОСТ 12.2.007.0, ГОСТ 12.2.003.
-
5.2 Поверитель перед проведением поверки спектрометров должен ознакомиться с руководством по эксплуатации на спектрометр и пройти обучение по технике безопасности на месте проведения поверки.
-
6.1 При проведении поверки должны быть соблюдены следующие условия:
-
- температура окружающего воздуха, °C от 18 до 25
-
- относительная влажность воздуха, (при t = 20 °C), %, не более 80
-
6.2 Спектрометры устанавливаются вдали от источников магнитных и электрических полей.
-
7.1 Спектрометр подготовить к работе в соответствии с руководством по эксплуатации (далее - РЭ).
-
7.2 Стандартные образцы, используемые при поверке, подготовить в соответствии с их инструкцией по применению.
-
8.1 Внешний осмотр.
При внешнем осмотре установить:
-
- отсутствие видимых повреждений спектрометра;
-
- соответствие комплектности, указанной в РЭ;
-
- четкость обозначений и маркировки.
-
8.2 Опробование.
-
8.2.1 Проверить работоспособность органов управления и регулировки спектрометра при помощи встроенных систем контроля в соответствии с РЭ.
-
8.2.2 Провести проверку идентификационных данных ПО спектрометра. Идентификационное наименование ПО идентифицируется при включении спектрометра или при обращении к соответствующему подпункту меню. Идентификационное наименование ПО должно соответствовать указанному в таблице 2.
Таблица 2 - Идентификационные данные ПО
Идентификационные данные |
Значение |
Идентификационное наименование ПО |
Spark Analyzer Pro |
Номер версии ПО |
- |
Цифровой идентификатор ПО |
- |
8.3 Проверка метрологических характеристик
Для проверки относительного СКО результатов измерений выходного сигнала и относительной погрешности измерений массовой доли элементов выбрать не менее трех элементов в ГСО, указанных в разделе 4, таким образом, чтобы значения массовой доли элементов находились в начале, середине и в конце диапазона измерений.
-
8.3.1 Проверка относительного среднего квадратического отклонения результатов измерений выходного сигнала
Установить режим работы спектрометра в соответствии с РЭ для измерений относительной интенсивности спектральной линии от конкретного элемента ГСО.
Выполнить не менее 10 измерений выходного сигнала каждого из используемых ГСО.
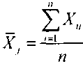
По результатам измерений для каждого ГСО вычислить среднее арифметическое выходного сигнала (I}) и относительное CKO (St>/) результатов измерений выходного сигнала по формулам:
п
. (1) п
s Н PL1111"1' (2>где I - результат z-ro измерения выходного сигналаj-го элемента, усл. ед.;
п - количество измерений выходного сигнала.
Полученные значения относительного среднего квадратического отклонения результатов измерений выходного сигнала должны удовлетворять требованиям таблицы 3.
-
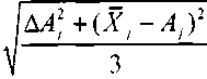
8.3.2 Проверка относительной погрешности измерений массовой доли элементов
Выполнить не менее пяти измерений массовой доли каждого выбранного элемента в ГСО. Для каждого случая рассчитать среднее арифметическое (Xtj) и относительную погрешность ) измерений массовой доли элементов по формулам:

(3)

+ -^•100,
п
где Xfj - i-oe измеренное значение массовой доли j-ro элемента в ГСО, %;
А, - значение массовой доли j-ro элемента в ГСО, %;
А4; - абс. погрешность массовой доли j-ro элемента в ГСО, %;
п - количество измерений;
t - коэффициент Стьюдента, равный 2,78 при п=5
S'/ - CKO измерений массовой доли j-ro элемента в ГСО, %, рассчитываемый по формуле
lYcZ-X)2
<5)
Полученные значения относительной погрешности измерений массовой доли элементов должны удовлетворять требованиям таблицы 3.
-
8.3.3 Проверка диапазона измерений массовой доли элементов
Проверку диапазона измерений массовой доли элементов провести одновременно с определением СКО и отн. погрешности по 8.3.1-8.3.2 (провести измерения массовой доли элементов в начале, середине и в конце диапазона измерений).
Полученные значения диапазона измерений массовой доли элементов должны удовлетворять требованиям Таблицы 3.
Таблица 3 - Метрологические характеристики спектрометров
Наименование характеристик |
Значения характеристик для модели | |
SPECTROLAB |
SPECTROMAXx | |
Диапазон измерения массовой доли элементов (примесей) в металлах и сплавах, % |
от 110’5 до 50 |
от 110'4 до 50 |
Предел допускаемого относительного среднего квадратического отклонения результатов измерений выходного сигнала, % |
2,5 |
2,5 |
Пределы допускаемой относительной погрешности измерений массовой доли элементов, %: от 1 • 10’5 до 0,1 % включ. |
± 15 |
±20 |
св. 0,1 до 1,0 % включ. |
± 10 |
± 10 |
св. 1,0 до 50,0 % включ. |
±5 |
±5 |
-
8.3.4 Если спектрометр используется не во всех поддиапазонах измерений, допускается периодическую поверку проводить одном или нескольких поддиапазонах измерений с указанием этих поддиапазонов измерений в свидетельстве о поверке. В этом случае проверку относительного среднего квадратического отклонения результатов измерений выходного сигнала и относительной погрешности результатов измерений провести в трех точках используемого поддиапазона измерений (провести измерения в начале, середине и в конце используемого поддиапазона измерений).
-
9.1 Оформляют протокол проведения поверки по форме Приложения А.
-
9.2 Положительные результаты поверки оформляют выдачей свидетельства о поверке в соответствии с Приказом Минпромторга № 1815. Знак поверки наносится на лицевую панель спектрометра в соответствии с рисунком 1. приведенным в Описании типа.
-
9.3 При отрицательных результатах поверки спектрометр признают непригодным к дальнейшей эксплуатации, аннулируют свидетельство о поверке, гасят клеймо и выдают извещение о непригодности с указанием причин в соответствии с Приказом Минпромторга № 1815.
Разработчик:
Инженер I категории лаб. 241 ФГУП «УНИИМ»
Е.О. Зеньков
(рекомендуемое)
ФОРМА ПРОТОКОЛА ПОВЕРКИ
ПРОТОКОЛ №_______ПРОВЕДЕНИЯ ПОВЕРКИ
Спектрометр оптико-эмиссионный, модель___________, зав №__________
Документ на поверку: МП 73-241-2016 «ГСП. Спектрометры оптико-эмиссионные
SPECTROLAB, SPECTROMAXx. Методика поверки».
Информация об использованных средствах поверки:
Условия проведения поверки:
-
- температура окружающего воздуха, °C ____________
-
- относительная влажность воздуха, % ____________
Результаты внешнего осмотра________________________________________________
Результаты опробования______________________________________________________
Проверка метрологических характеристик
Таблица А.1 - Результаты проверки СКО результатов измерений выходного сигнала
Значение массовой доли компонента в ГСО |
№ из-ме-ре-ния |
Результаты измерения выходного сигнала, усл. ед |
Среднее арифметическое измеренное значение выходного сигнала, усл. ед. |
СКО результатов измерений выходного сигнала, % |
Нормируемые значения СКО результатов измерений выходного сигнала, % |
1 | |||||
2 | |||||
3 | |||||
4 | |||||
5 | |||||
6 | |||||
7 | |||||
8 | |||||
9 | |||||
10 |
Таблица А.2 - Результаты проверки относительной погрешности результатов измерений массовой доли элементов
Значение массовой доли компонента в ГСО |
№ измерения |
Результаты измерения массовой доли компонента на спектрометре, % |
Относительная погрешность результатов измерений массовой доли элементов, % |
Нормируемые значения относительной погрешности результатов измерений массовой доли элементов, % |
1 | ||||
2 | ||||
3 | ||||
4 | ||||
5 |
Таблица А.З - Результаты проверки диапазонов измерений массовой доли компонентов
Полученные значения диапазона измерений, % |
Соответствие требованиям Да(+)/Нет(-) |
Результат проведения поверки:__________________________________________________
Выдано свидетельство о поверке (извещение о непригодности)
от «___»_____________20___г, №__________________
Поверитель__________________________________________
подпись (Ф.И.О.)
Организация, проводившая поверку____________________________________________