Методика поверки «Устройства бортовые приемо-преобразующие БППУ-ГН» (651-19-038 ΜΠ)
УТВЕРЖДАЮ
Первый заместитель
генерального директора — заместитель по научной работе ФГУП «ВНИИФТРИ»
ИНСТРУКЦИЯ
Устройства бортовые приемо-преобразующие БППУ-ГН
МЕТОДИКА ПОВЕРКИ
651-19-038 МП р.п. Менделеево
СодержаниеСсылочные нормативные документы
1 Общие сведения-
1.1 Настоящая методика поверки распространяется на устройства бортовые приемо-преобразующие Б1111У-ГН (далее — бортовое устройство ГН), изготавливаемые ОАО «ЛИИП им. Гризодубовой В.С.», Московская область, г. Жуковский, и устанавливает методы и средства их первичной и периодической поверок.
-
1.2 Интервал между поверками — 5 лет.
-
2.1 При поверке выполняют операции, представленные в таблице 1.
Таблица 1 — Перечень операций, выполняемых при поверке
|
Наименование операции |
Номер пункта методики |
Проведение поверки | |
|
после ремонта |
при периодической поверке | ||
|
1 Внешний осмотр. |
8.1 |
да |
да |
|
2 Опробование, идентификация ПО |
8.2 |
да |
да |
|
3 Определение (контроль) метрологических характеристик | |||
|
3.1 Определение абсолютного смещения (при доверительной вероятности 0,95) формируемой шкалы времени относительно национальной шкалы координированного времени Российской Федерации UTC(SU) в режиме синхронизации по сигналам НКА |
8.3 |
да |
да |
|
3.2 Определение инструментальной абсолютной погрешности (при доверительной вероятности 0,95) определения координат в абсолютном режиме |
8.4 |
да |
да |
|
3.3 Определение инструментальной абсолютной погрешности (при доверительной вероятности 0,95) определения координат в дифференциальном режиме |
8.5 |
да |
да |
|
Наименование операции |
Номер пункта методики |
Проведение поверки | |
|
после ремонта |
при периодической поверке | ||
|
3.4 Определение инструментальной абсолютной погрешности (при доверительной вероятности 0,95) определения составляющих вектора скорости в абсолютном режиме |
8.6 |
да |
да |
|
3.5 Определение инструментальной абсолютной погрешности (при доверительной вероятности 0,95) определения составляющих вектора скорости в дифференциальном режиме |
8.7 |
да |
да |
2.1 При получении отрицательных результатов при выполнении любой из операций поверка прекращается, и бортовое устройство ГН бракуется.
-
2.2 Не допускается проведение поверки отдельных измерительных каналов или отдельных автономных блоков или меньшего числа измеряемых величин или на меньшем числе поддиапазонов измерений.
-
3.1 Рекомендуемые средства поверки бортовых устройств ГН приведены в таблице 2.
Таблица 2 — Средства измерений, используемые при поверке
|
Номер пункта методики |
Наименование рабочих эталонов или вспомогательных средств поверки. Номер документа, регламентирующего технические требования к рабочим эталонам или вспомогательным средствам. Разряд по государственной поверочной схеме и (или) метрологические и основные технические характеристики |
|
8.3 |
Стандарт частоты и времени водородный 41-1007, пределы допускаемой относительной погрешности по частоте в режиме синхронизации по сигналам ГНСС ГЛОНАСС/GPS ±1,0 -10'13, пределы допускаемой абсолютной погрешности привязки шкалы времени относительно шкалы времени UTC(SU) в режиме синхронизации по сигналам ГНСС ГЛОНАСС/GPS ±50 нс |
|
Номер пункта методики |
Наименование рабочих эталонов или вспомогательных средств поверки. Номер документа, регламентирующего технические требования к рабочим эталонам или вспомогательным средствам. Разряд по государственной поверочной схеме и (или) метрологические и основные технические характеристики |
|
8.3 |
Частотомер универсальный CNT-90, пределы допускаемой абсолютной погрешности измерения интервалов времени ±0,62 нс для интервалов времени не более 100 мкс; ±200 нс для интервалов времени не более 1 с |
|
8.4, 8.5 |
Рабочий эталон координат местоположения 1 разряда согласно государственной поверочной схеме для координатно-временных средств измерений, утвержденной приказом № 2831 Федерального агентства по техническому регулированию и метрологии от 29 декабря 2018 г., предел допускаемой погрешности: воспроизведения координат местоположения потребителя ГНСС в системах координат ГСК-2011, ПЗ-90.11, WGS-84 0,1 м; воспроизведения скорости изменения беззапросной дальности 0,01 м/с; воспроизведения без-запросной дальности по фазе дальномерного кода 0,05 м и по фазе несущей частоты 0,002 м |
3.2 Все средства поверки, применяемые при поверке бортовых устройств ГН, должны быть исправны, аттестованы или поверены.
-
3.3 Вместо указанных в таблице 2 средств поверки допускается применять другие аналогичные, обеспечивающие определение метрологических характеристик бортовых устройств ГН с требуемой точностью.
-
4.1 Поверка должна осуществляться лицами с высшим или средним техническим образованием, квалифицированными в качестве поверителей в области координатно-временных средств измерений.
-
5.1 При проведении поверки должны быть соблюдены все требования безопасности в соответствии с ГОСТ 12.3.019.
-
6.1 При проведении поверки бортового устройства ГН должны соблюдаться следующие условия:
-
- температура окружающего воздуха от 10 до 30 °C;
-
- атмосферное давление от 735 до 790 мм рт.ст.;
-
- относительная влажность воздуха от 30 до 80 %;
-
- напряжение питания в сети постоянного тока блока спутникового навигационного датчика (бортовой блок) от 19 до 35 В;
-
- напряжение питания в сети постоянного тока блока спутникового навигационного датчика (контрольно-корректирующая станция) от 4,75 до 5,25 В.
-
7.1 Поверитель должен изучить техническую документацию изготовителя, руководство по эксплуатации «Устройство бортовое приемо-преобразующее Б1111У-ГН ТВИГ.464425.003 РЭ» (далее — РЭ ГН) и руководства по эксплуатации применяемых средств поверки.
-
7.2 Перед проведением операций поверки необходимо:
-
- проверить комплектность рекомендованных (или аналогичных им) средств поверки;
-
- заземлить (если это необходимо) рабочие эталоны, средства измерений и включить питание заблаговременно перед очередной операцией поверки (в соответствии со временем установления рабочего режима, указанным в РЭ).
-
8.1 Внешний осмотр
-
8.1.1 При проведении внешнего осмотра проверить отсутствие механических повреждений и ослабления элементов, четкость фиксации их положения, чёткость обозначений, чистоту и исправность разъёмов и гнёзд.
-
8.1.2 Результаты поверки считать положительными, если отсутствуют механические повреждения и ослабления элементов, фиксация их положения чёткая, разъёмы и гнёзда чистые и исправные. В противном случае бортовые устройства ГН бракуются и направляются в ремонт.
-
-
8.2 Опробование, идентификация ПО
-
8.2.1 Опробование бортового устройства ГН
-
8.2.1.1 Для проведения опробования бортового устройства ГН подключить БСНД-К (контрольно-корректирующая станция) и БСНД-К (бортовой блок) к антеннам с МШУ и ПЭВМ согласно рисунку 1.

-
-
Рисунок 1 — Схема подключения бортового устройства ГН для проверки работоспособности
-
8.2.1.2 Установить антенны бортового устройства ГН под открытым небом без объектов, препятствующих приёму навигационного сигнала, и включить бортовое устройство ГН согласно РЭ ГН.
-
8.2.1.3 Запустить на ПЭВМ специализированное ПО согласно РЭ ГН и убедиться в обмене информацией ПЭВМ с БСНД-К (контрольно-корректирующая станция) и БСНД-К (бортовой блок).
-
8.2.2 Идентификация ПО
-
8.2.2.1 Определить идентификационные данные ПО бортового устройства ГН в соответствии с РЭ ГН. Идентификационные данные ПО представлены в таблице 3.
-
Таблица 3 — Идентификационные данные ПО устройства бортового приемопреобразующего БППУ-ГН
|
Идентификационные данные (признаки) |
Значение | |
|
Идентификационное наименование |
ТВИГ.00043 ТеАп |
ТВИГ.00043 v 13b |
|
Номер версии (идентификационный номер), не ниже |
1.0 |
1.0 |
|
Цифровой идентификатор (версия 1.0) (алгоритм вычисления MD5) |
с35092е93Ь7с922Ь 725197fcf359e9a6 |
4fccb6a296d0ae39 8fbe24051605699а |
-
8.2.3 Результаты поверки бортового устройства ГН считать положительными, если ПЭВМ получает пакеты информации с БСНД-К (контрольно-корректирующая станция) и БСНД-К (бортовой блок), а идентификационные данные ПО соответствуют данным, указанным в таблице 3. В противном случае бортовое устройство ГН бракуются и направляются в ремонт.
-
8.3 Определение абсолютного смещения (при доверительной вероятности 0,95) формируемой шкалы времени относительно национальной шкалы координированного времени Российской Федерации UTC(SU) в режиме синхронизации по сигналам НКА
-
8.3.1 Собрать схему, приведенную на рисунке 2.
Рисунок 2 — Схема для определения смещений формируемой ШВ относительно ШВ UTC(SU) в режиме синхронизации по сигналам НКА
-
-
8.3.2 На вход «В» частотомера подать импульсный сигнал 1 Гц от бортового устройства ГН, на вход «А» частотомера подать импульсный сигнал 1 Гц от стандарта частоты и времени водородного 41-1007. Частотомер универсальный CNT-90 установить в режиме измерений интервалов времени.
-
8.3.3 Настроить входы «А» и «В» частотомера в соответствии с параметрами импульсных сигналов 1 Гц:
-
- импульсный сигнал;
-
- измерения по переднему фронту;
-
- входная нагрузка 50 Ом;
-
- уровень напряжения точки привязки по переднему фронту 1,0 В.
-
8.3.4 Произвести не менее 100 измерений интервала времени между выходными импульсными сигналами 1 Гц бортового устройства ГН и стандарта частоты и времени водородного 41-1007 (смещений формируемой ШВ относительно ШВ UTC(SU)).
-
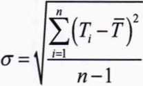
8.3.5 Оценить среднее арифметическое значение Т измеряемого интервала времени по формуле (1):

(1)
где Т, — z-й результат измерений; п - количество результатов измерений.
-
8.3.6 Вычислить СКО результатов измерений по формуле (2):


-
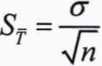
8.3.7 Вычислить CKO среднего арифметического по формуле (3):

(3)
-
8.3.8 Рассчитать доверительные границы случайной составляющей погрешности по формуле (4):
(4)
где t — коэффициент Стьюдента, равный 1,96 при (и-1) = 100 и доверительной вероятности 95 %.
-
8.3.9 Оценить доверительные границы НСП по формуле (5):


где — пределы допускаемой абсолютной погрешности привязки шкалы времени 41-1007 относительно шкалы времени UTC(SU) в режиме синхронизации по сигналам НКА ±50 нс;
02 — пределы допускаемой погрешности измерения интервалов времени при использовании частотомера универсального CNT-90, ±200 нс.
03 и 04 — пределы допускаемой погрешности при измерении задержки сигнала в кабелях, подключаемых к частотомеру универсальному CNT-90, ±200 нс.
-
8.3.10 Оценить доверительные границы погрешности по формуле (6):
(6)
где А” — коэффициент, зависящий от соотношения случайной составляющей погрешности и НСП (см. ниже формулу (10));
Sz — суммарное СКО вычислить по формуле (7):

(7)
где50 — СКО НСП, вычислить по формулам (8) и (9):

(8)

-
8.3.11 Максимальное смещение формируемой ШВ бортового устройства ГН относительно ШВ UTC(SU) в режиме синхронизации по сигналам НКА определить по формуле (10):

(Ю)
-
8.3.12 Результаты поверки считать положительными, если значение абсолютного смещения (при доверительной вероятности 0,95) формируемой шкалы времени относительно национальной шкалы координированного времени Российской Федерации UTC(SU) в режиме синхронизации по сигналам НКА находятся в границах ±6-10-6 с. В противном случае бортовые устройства ГН бракуются и направляются в ремонт.
-
8.4 Определение инструментальной абсолютной погрешности (при доверительной вероятности 0,95) определения координат в абсолютном режиме
-
8.4.1 Для проведения измерений собрать схему, приведенную на рисунке 3.
-
8.4.2 Установить БСНД-К (контрольно-корректирующая станция) на одном из геодезических пунктов из состава рабочего эталона единиц координат местоположения под открытым небом без объектов, препятствующих приёму навигационного сигнала, и включить автономный режим работы согласно РЭ ГН.
-
8.4.3 Разместить БСНД-К (бортовой блок) на мобильной платформе и включить в автономном режиме работы согласно РЭ ГН.
-
Рисунок 3 — Схема подключения бортового устройства ГН при определении координат
-
8.4.4 Настроить смещение вывода позиции приемо-измерительного устройства из состава рабочего эталона единиц координат местоположения на фазовый центр антенны БСНД-К (бортовой блок).
-
8.4.5 Провести заезд на мобильной платформе по маршруту с характеристиками, представленными в таблице 4.
Таблица 4 — Условия проведения выездной поверки на мобильной платформе
|
Наименование характеристики |
Значение |
|
Удаление от базовой станции |
до 30 км |
|
Скоростной режим |
до 30 м/с |
|
Передвижение по маршруту |
в движении не менее 60 мин, стоянка не менее 30 мин |
|
Наличие объектов, препятствующих приёму навигационного сигнала, затенение |
нет |
|
Перепад высот на маршруте |
50 м |
|
Отклонения плоскости спутниковой антенны от плоскости местного горизонта на углы крена и тангажа |
не более 20° |
-
8.4.6 Обработать результаты измерений рабочего эталона координат, получив координаты местоположения относительно базовой станции.
-
8.4.7 Обработать результаты измерений бортового устройства ГН в абсолютном режиме с помощью штатного ПО, получив координаты местоположения.
-
8.4.8 Выбрать измерения на общем интервале времени длительностью не менее 3600 с.
-
8.4.9 Рассчитать абсолютную погрешность определения широты по формуле (11):
(И)
где i — значение эпохи измерения;
В — измеренная широта БСНД-К (бортовой блок), градус;
Вге/— измеренная широта эталоном, градус
-
8.4.10 Рассчитать абсолютную погрешность определения долготы по формуле (12):

(12)
где А — измеренная долгота БСНД-К (бортовой блок), градус;
Lref— измеренная долгота эталоном, градус
-
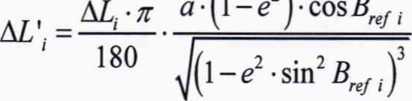
8.4.11 Перевести полученные значения абсолютной погрешности определения широты и долготы в метры по формулам (13) и (14) соответственно:


(13)


(14)
где AS/, АЛ, — абсолютная погрешность определения широты и долготы на z-ю эпоху, градус;
а — большая полуось общеземного эллипсоида, м;
е — эксцентриситет общеземного эллипсоида.
-
8.4.12 Рассчитать математическое ожидание абсолютной погрешности определения широты по формуле (15) и долготы по формуле (16):
(15)

(16)
где А— количество измерений
-
8.4.13 Рассчитать СКО абсолютной погрешности определения широты по формуле (17) и долготы по формуле (18):
°в=\
(17)
1=1_______________
W-1(IS)
-
8.4.14 Рассчитать абсолютную погрешность определения высоты по формуле (19):
^i=ni-nrefh (19)
где Л — измеренная высота БСНД-К (бортовой блок), м;
href— измеренная высота эталоном, м.
-
8.4.15 Рассчитать математическое ожидание абсолютной погрешности определения высоты по формуле (20):
(20)
-
8.4.16 Рассчитать СКО абсолютной погрешности определения высоты по формуле (21):

-
8.4.1 Рассчитать доверительные границы инструментальной абсолютной погрешности (при доверительной вероятности 0,95) определения координат в абсолютном режиме по формулам (22)-(24):
-
8.4.2 Результаты поверки считать положительными, если значения инструментальной абсолютной погрешности (при доверительной вероятности 0,95) определения координат в абсолютном режиме по каждой координатной оси находятся в границах ±20 м. В противном случае бортовые устройства ГН бракуются и направляются в ремонт.
-
8.5 Определение инструментальной абсолютной погрешности (при доверительной вероятности 0,95) определения координат в дифференциальном режиме
-
8.5.1 Обработать результаты измерений бортового устройства ГН в ходе заезда п. 8.4.5 в дифференциальном режиме с помощью штатного ПО, получив координаты местоположения.
-
8.5.2 Повторить операции согласно пп. 8.4.8-8.4.1.
-
8.5.3 Результаты поверки считать положительными, если значения инструментальной абсолютной погрешности (при доверительной вероятности 0,95) определения координат в дифференциальном режиме по каждой координатной оси находятся в границах ±7 м. В противном случае бортовые устройства ГН бракуются и направляются в ремонт.
-
-
8.6 Определение инструментальной абсолютной погрешности (при доверительной вероятности 0,95) определения составляющих вектора скорости в абсолютном режиме
-
8.6.1 Обработать результаты измерений рабочего эталона координат в ходе заезда п. 8.4.5, получив составляющие вектора скорости в локальной системе координат XYZ относительно базовой станции.
-
8.6.2 Обработать измерения бортового устройства ГН в ходе заезда п. 8.4.5 в абсолютном режиме с помощью штатного ПО, получив составляющие вектора скорости.
-
8.6.3 Для каждой составляющей вектора скорости определить инструментальную абсолютную погрешность (при доверительной вероятности 0,95)
-
8.6.3.1 Рассчитать абсолютную погрешность определения составляющей вектора скорости по формуле (25):

-
-
(25)
где V — измеренная составляющая вектора скорости БСНД-К (бортовой блок), м;
Vref— измеренная составляющая вектора скорости эталоном, м.
-
8.6.3.2 Рассчитать математическое ожидание абсолютной погрешности определения составляющей вектора скорости по формуле (26):

(26)
-
8.6.3.3 Рассчитать CKO абсолютной погрешности определения составляющей вектора скорости по формуле (27):

N

(27)
-
8.6.3.4 Рассчитать доверительные границы инструментальной абсолютной погрешности (при доверительной вероятности 0,95) определения составляющей вектора скорости в абсолютном режиме по формуле (28):

(28)
-
8.6.4 Результаты поверки считать положительными, если значения инструментальной абсолютной погрешности (при доверительной вероятности 0,95) определения составляющих вектора скорости в абсолютном режиме находятся в границах ±0,2 м.
-
8.7 Определение доверительных границ инструментальной абсолютной погрешности (при доверительной вероятности 0,95) определения составляющих вектора скорости в дифференциальном режиме
-
8.7.1 Обработать результаты измерений бортового устройства ГН в ходе заезда п. 8.4.5 в дифференциальном режиме с помощью штатного ПО, получив составляющие вектора скорости.
-
8.7.2 Повторить операции согласно пункту 8.6.3.
-
8.7.3 Результаты поверки считать положительными, если значения инструментальной абсолютной погрешности (при доверительной вероятности 0,95) определения составляющих вектора скорости в дифференциальном режиме находятся в границах ±0,2 м/с.
-
-
9.1 При положительных результатах поверки на бортовые устройства ГН выдается свидетельство установленной формы.
-
9.2 Результаты поверки по требованию заказчика записываются на оборотной стороне свидетельства о поверке или оформляются отдельным приложением к свидетельству.
-
9.3 В случае отрицательных результатов поверки поверяемые бортовые устройства ГН к дальнейшему применению не допускается, на них выдается извещение о непригодности к дальнейшей эксплуатации с указанием причин забракования.
Заместитель начальника НИО-8 по научной работе ФГУП «ВНИИФТРИ» Начальник
841 лаборатории ФГУП «ВНИИФТРИ»
Старший научный сотрудник
841 лаборатории ФГУП «ВНИИФТРИ»

-
B. Н. Федотов
Д.С. Печерица
-
C. Ю. Бурцев
Ссылочные нормативные документы
|
Обозначение документа, на который дана ссылка |
Номер раздела, подраздела, пункта, подпункта, перечисления, приложения, разрабатываемого документа, в котором дана ссылка |
|
ГОСТ 12.3.019-80 |
5.1 |
|
ТВИГ.464425.003 РЭ |
7.1, 8.2.1.2, 8.2.1.3, 8.4.2, 8.4.3 |
БСНД — блок спутникового навигационного датчика;
ГНСС — глобальная навигационная спутниковая система;
МШУ — малошумящий усилитель;
НКА — навигационный космический аппарат;
НСП — неисключенная систематическая погрешность;
ПО — программное обеспечение;
ПЭВМ — персональная электронно-вычислительная машина;
СИ — средства измерений;
СКО — среднее квадратическое отклонение;
ШВ — шкала времени;
ШВ UTC(SU) — национальная шкала координированного времени РФ UTC (SU).
