Методика поверки «ГСОЕИ. СИСТЕМА ИЗМЕРЕНИЙ КОЛИЧЕСТВА И ПОКАЗАТЕЛЕЙ КАЧЕСТВА НЕФТЕПРОДУКТОВ ПЕРЕДВИЖНАЯ КАРКАСНОГО ТИПА № 1/588/7» (ΜΠ 0213-14-2015)
ФЕДЕРАЛЬНОЕ АГЕНТСТВО ПО ТЕХНИЧЕСКОМУ РЕГУЛИРОВАНИЮ И МЕТРОЛОГИИ
Федеральное государственное унитарное предприятие «Всероссийский научно-исследовательский институт расходометрии»
Государственный научный метрологический центр
ФГУП «ВНИИР»
УТВЕРЖДАЮ

ИНСТРУКЦИЯ
Государственная система обеспечения единства измерений
СИСТЕМА ИЗМЕРЕНИЙ КОЛИЧЕСТВА И ПОКАЗАТЕЛЕЙ КАЧЕСТВА НЕФТЕПРОДУКТОВ ПЕРЕДВИЖНАЯ КАРКАСНОГО ТИПА № 1/588/7 Методика поверки
МП 0213-14-2015
с изменением № 1
НачальнщЛИО-М ФГУП «ВНИИР»
Тел.: +7 (843) 299-72-00
Казань
2019
ИСПОЛНИТЕЛИ |
Груздев Р.Н., Черепанов М.В. |
УТВЕРЖДЕНА |
ФГУП «ВНИИР» |
Изменение № 1 утверждено ФГУП «ВНИИР» 04 декабря 2019 г.
Настоящая инструкция распространяется на систему измерений количества и показателей качества нефтепродуктов передвижную каркасного типа № 1/588/7 (далее -СИКН), и устанавливает методику периодической (первичной) поверки при эксплуатации, а так же после ремонта.
Если очередной срок поверки измерительного компонента наступает до очередного срока поверки СИКН, или появилась необходимость проведения внеочередной поверки измерительного компонента, то поверяется только этот измерительный компонент, при этом внеочередную поверку СИКН не проводят.
Интервал между поверками - 12 месяцев.
(Измененная редакция, Изм. № 1)
-
1. Операции поверки
При проведении поверки выполняют операции, приведенные в таблице 1.
Таблица 1
Наименование операции |
Номер пункта документа по поверке |
Внешний осмотр |
6.1а |
Подтверждение соответствия программного обеспечения |
6.2 |
Опробование |
6.3а |
Определение метрологических характеристик |
6.5 |
Если при проведении какой-либо операции поверки получен отрицательный результат, дальнейшую поверку не проводят.
1 (Измененная редакция, Изм. № 1)
-
2. Средства поверки
-
2.1 Рабочий эталон 1-го или 2-го разряда (поверочная установка (далее - ПУ)) в соответствии с частью 2 Государственной поверочной схемы, утвержденной приказом Госстандарта от 07.02.2018 № 256.
-
Примечание - В качестве ПУ могут применяться трубопоршневая поверочная установка (ТПУ) или компакт-прувер (КП).
-
2.1 (Измененная редакция, Изм. № 1)
22 Поточный преобразователь плотности (далее - ПП) с пределами допускаемой абсолютной погрешности ±0,3 кг/м3.
-
2.2 (Измененная редакция, Изм. № 1)
-
2.3 Преобразователи избыточного давления с унифицированным выходным сигналом с пределами допускаемой приведенной погрешности ±0,5 %.
-
2.4 Датчики температуры с пределами допускаемой абсолютной погрешности ±0,2 °C.
-
2.5 Комплекс измерительно-вычислительный ИМЦ-07 (далее - ИВК) с пределами допускаемой относительной погрешности преобразования входных электрических сигналов в значение коэффициента преобразования счетчиков-расходомеров массовых Micro Motion модификации CMF (далее - СРМ) ±0,05 %.
-
2.6 Допускается применять другие аналогичные по назначению средства поверки обеспечивающие определение метрологических характеристик СИКН с требуемой точностью.
-
2.7 Применяемые эталоны должны быть аттестованы в установленном порядке, средства поверки должны быть поверены и иметь действующие знак поверки и (или) свидетельство о поверке, и (или) запись в паспорте (формуляре), заверенную подписью поверителя и знаком поверки.
2.3-2.7 (Введены дополнительно , Изм. № 1)
-
3. Требования безопасности
При проведении поверки соблюдают требования, определяемые:
-
- в области промышленной безопасности - Федеральные нормы и правила в области
промышленной безопасности «Правила безопасности в нефтяной и газовой промышленности», введенные в действие Приказом от 12.03.2013г. № 101 Федеральной службы по
экологическому, технологическому и атомному надзору;
-
- в области пожарной безопасности - Федеральным законом № 69-ФЗ от 21 декабря 1994 г. «О пожарной безопасности», «Правила противопожарного режима в Российской Федерации», утверждены постановлением Правительства РФ от 25.04.2012г. № 390, СНиП 21.01-97 «Пожарная безопасность зданий и сооружений» с изменением № 2 2002 г.;
-
- в области соблюдения правильной и безопасной эксплуатации электроустановок -Приказ Минтруда России от 24.07.2013 № 328н «Об утверждении Правил по охране труда при эксплуатации электроустановок»;
-
- в области охраны окружающей среды - Федеральным законом «Об охране окружающей среды» № 7-ФЗ от 10.01.2002 года и другими действующими законодательными актами на территории РФ, а также другими действующими отраслевыми НД;
-
- правилами безопасности при эксплуатации используемых СИ, приведенными в их эксплуатационной документации.
-
4. Условия поверки
Поверка СИКН проводится в условиях эксплуатации, в диапазоне измерений расхода, установленном в описании типа, или фактически обеспечивающимся при поверке диапазоне измерений с обязательным указанием в свидетельстве о поверке информации об объеме проведения поверки. Фактический диапазон измерений не может превышать диапазона измерений, указанного в описании типа СИКН.
Технические характеристики СИКН и физико-химические показатели нефтепродукта должны соответствовать требованиям, указанным в описании типа СИКН.
(Измененная редакция, Изм. № 1)
-
5. Подготовка к поверке
Подготовку средств поверки и СИКН осуществляют в соответствии с их эксплуатационной документацией.
-
6. Проведение поверки
-
6.1 (Удален, Изм. № 1)
-
6.1а Внешний осмотр
При внешнем осмотре должно быть установлено соответствие СИКН следующим требованиям:
-
- комплектность СИКН должна соответствовать технической документации;
-
- на компонентах СИКН не должно быть механических повреждений и дефектов покрытия, ухудшающих внешний вид и препятствующих проведению поверки;
-
- надписи и обозначения на компонентах СИКН должны быть четкими и соответствовать технической документации;
-
- должно быть в наличии свидетельство о предыдущей поверке СИКН (при периодической поверке).
Результаты считают положительными, если СИКН соответствует вышеперечисленным требованиям.
6.1а (Введен дополнительно, Изм. № 1)
-
6.2 Подтверждение соответствия программного обеспечения (ПО)
-
6.2.1 Определение идентификационных данных ПО ИВК проводят в соответствии с руководством оператора в следующей последовательности:
-
а) включить питание, если питание было выключено;
б) дождаться после включения питания появления на дисплее главного меню или войти в главное меню;
в) в главном меню выбрать пункт меню «Основные параметры»;
г) выбрать пункт меню «Просмотр»;
д) выбрать пункт меню «О программе», на экране появится диалоговое окно с информацией о ПО.
-
6.2.2 Определение идентификационных данных ПО АРМ оператора «Форвард «Рго» проводят в соответствии с руководством пользователя в следующей последовательности:
а) в основном меню, расположенном в верхней части экрана монитора АРМ оператора, выбрать пункт меню «О программе»;
б) нажать кнопку «Модули», на экране появится диалоговое окно с информацией о ПО.
Полученные результаты идентификации ПО СИКН должны соответствовать данным указанным в описании типа на СИКН.
Результаты считают положительными, если идентификационные данные ПО СИКН соответствуют идентификационным данным, указанным в описании типа СИКН.
-
6.3 (Удален, Изм. № 1)
6.3а Опробование
6.3а. 1 Проверяют действие и взаимодействие компонентов в соответствии с руководством по эксплуатации СИКН, возможность получения отчета.
6.3а.2 Проверяют герметичность СИКН.
На элементах и компонентах СИКН не должно быть следов протечек нефтепродукта.
Результаты считают положительными, если компоненты СИКН функционируют в штатном режиме, АРМ оператора формирует отчетные документы, на элементах и компонентах СИКН отсутствуют следы нефтепродукта.
-
6.3 а (Введен дополнительно, Изм. № 1)
-
6.4 (Удален, Изм. № 1)
-
6.5 Определение метрологических характеристик
-
6.5.1 Определение метрологических характеристик СИ, входящих в состав СИКН.
-
6.5.1.1 Проводят проверку наличия действующих знаков поверки и (или) свидетельств о поверке, и (или) записей в паспортах (формулярах), у СИ являющихся измерительными компонентами СИКН. Все СИ (измерительные компоненты), входящие в состав СИКН, на момент проведения поверки СИКН должны быть поверены в соответствии с документами на поверку, указанных в свидетельствах об утверждении типа (описаниях типа) данных СИ. Перечень измерительных компонентов, входящих в состав СИКН, приведен в описании типа на СИКН.
Примечание - Проверку по 6.5.1.1 для счетчиков-расходомеров массовых Micro Motion модификации CMF (далее - СРМ) не проводят.
-
6.5.1.2 Определение относительной погрешности измерительного канала массового расхода нефтепродуктов.
Определение относительной погрешности измерительного канала массового расхода нефтепродуктов проводят с применением ПУ.
В соответствии с технической документацией, устанавливают или проверяют установленные ранее в СРМ:
-
- коэффициенты (градуировочный, коррекции);
-
- значение массового расхода и соответствующее ему значение частоты выходного сигнала СРМ или коэффициент преобразования СРМ;
-
- проверяют или устанавливают в ИВК значение массового расхода и соответствующее ему значение частоты выходного сигнала СРМ или коэффициент преобразования СРМ, Кпм, имп/т, соответствующий установленному значению в преобразователе СРМ или вычисленный по формуле
fM-3600
(1)
Qm
где fM - значение частоты, установленное в преобразователе СРМ, Гц;
Qm - значение массового расхода, установленное в преобразователе СРМ, т/ч.
Вводят в память ИВК или проверяют введенные ранее данные, необходимые для обработки результатов измерений.
Проверяют отсутствие газа (воздуха) в измерительной линии, ПУ и ПП, а также в верхних точках трубопроводов. Для этого устанавливают массовый расход нефтепродукта в пределах рабочего диапазона измерений массового расхода СРМ и открывают краны, расположенные в высших точках измерительной линии и ПУ. Проводят 1 - 3 раза запуск поршня, удаляя после каждого запуска газ (воздух). Считают, что газ (воздух) отсутствует полностью, если из кранов вытекает струя нефтепродукта без газовых (воздушных) пузырьков.
При рабочем давлении проверяют герметичность системы, состоящей из поверяемого СРМ, ПУ и ПП. При этом не допускается появление капель или утечек нефтепродукта через сальники, фланцевые, резьбовые или сварные соединения при наблюдении в течение 5 мин.
Проверяют герметичность задвижек, через которые возможны утечки нефтепродукта, влияющие на результаты измерений при поверке.
Проверяют герметичность устройства пуска и приема поршня ПУ в соответствии с технической документацией.
Проверяют стабильность температуры нефтепродукта. Для этого запускают поршень ПУ и регистрируют температуру в ПП, на входе и выходе ПУ. Температуру нефтепродукта считают стабильной, если ее изменение в системе не превышает 0,2 °C за время прохождения поршня от одного детектора до другого (в двунаправленных ПУ - в обоих направлениях) или за серию проходов поршня КП, соответствующих количеству измерений в точке расхода.
Проводят установку нуля СРМ согласно технической документации.
Определяют:
- коэффициент коррекции или градуировочный коэффициент СРМ в рабочем диапазоне измерений массового расхода;
-
- границу относительной погрешности СРМ в рабочем диапазоне измерений.
Проводят измерения не менее чем при трёх значениях массового расхода нефтепродукта из диапазона измерений массового расхода, установленного для СРМ (далее - точках расхода), включая минимальное и максимальное значение. В каждой точке расхода для измерительного канала массового расхода нефтепродуктов с рабочим (резервным) СРМ проводят не менее пяти измерений, для измерительного канала массового расхода нефтепродуктов с контрольным СРМ проводят не менее семи измерений. При применении в качестве ПУ КП в каждой точке расхода для измерительного канала массового расхода нефтепродуктов с рабочим (резервным) СРМ проводят не менее семи измерений, для измерительного канала массового расхода нефтепродуктов с контрольным СРМ проводят не менее одиннадцати измерений. Последовательность выбора точек расхода может быть произвольной.
Устанавливают выбранное значение массового расхода по показаниям СРМ.
Проводят предварительное измерение для уточнения значения установленного массового расхода.
Запускают поршень ПУ. После прохождения поршнем второго детектора регистрируют время прохождения поршнем от одного детектора до другого, количество импульсов выходного сигнала СРМ, температуру, давление и плотность нефтепродукта.
Массовый расход нефтепродукта через СРМ вычисляют по формуле (7).
При необходимости проводят корректировку значения массового расхода регулятором расхода или запорной арматурой.
Проверяют стабильность массового расхода. Отклонение массового расхода нефтепродукта от установленного значения в процессе поверки не должно превышать 2,5 %. После стабилизации расхода проводят необходимое количество измерений.
Запускают поршень ПУ. При прохождении поршнем первого детектора ИВК начинает отсчет импульсов выходного сигнала СРМ и времени прохождения поршня между детекторами, при прохождении второго детектора - заканчивает.
Для определения средних значений за время измерения (время прохождения поршня между детекторами) ИВК периодически фиксирует значения следующих параметров:
-
- температуры нефтепродукта на входе и выходе ПУ;
-
- давления нефтепродукта на входе и выходе ПУ;
-
- температуры нефтепродукта в ПП;
-
- давления нефтепродукта в ПП;
-
- плотности нефтепродукта в ПП.
При использовании термометров и манометров с визуальным отсчетом допускается фиксировать температуру и давление один раз за время прохождения поршня.
Если количество импульсов выходного сигнала СРМ за время прохождения поршня ПУ между детекторами меньше 10000, то ИВК должен определять количество импульсов с долями импульсов.
Для однонаправленной ПУ прохождение поршня от одного детектора до другого принимают за одно измерение.
Если для двунаправленной ПУ определена вместимость калиброванного участка как сумма вместимостей в обоих направлениях, то за одно измерение принимают движение поршня в прямом и обратном направлении, количество импульсов и время прохождения поршня в прямом и обратном направлениях суммируют.
Если для двунаправленной ПУ определена вместимость калиброванного участка для каждого направления, то за одно измерение принимают движение поршня в каждом направлении.
При наличии у ПУ второй пары детекторов допускается использовать обе пары детекторов.
Результаты измерений заносят в протокол. Форма протокола поверки приведена в приложении А.
При заполнении протокола полученные результаты измерений и вычислений округляют в соответствии с таблицей 2.
Таблица 2
Параметр |
Единица измерения |
Количество цифр после запятой |
Количество значащих цифр |
Массовый расход |
т/ч |
1 | |
Объем |
м* |
6 | |
Масса |
т |
6 | |
Температура |
°C |
2 | |
Давление |
МПа |
2 | |
Плотность |
кг/м3 |
2 | |
Количество импульсов |
имп |
5 | |
Интервал времени |
с |
4 | |
Погрешность, среднее квадратическое отклонение (СКО) |
% |
3 | |
Коэффициент преобразования |
имп/т |
5 | |
Коэффициент коррекции |
5 | ||
Градуировочный коэффициент |
г/с/мкс |
5 | |
Коэффициент объемного расширения |
1/°С |
6 |
Примечание - Если количество цифр в целой части числа больше рекомендованного количества значащих цифр, то число округляют до целого.
Обработка результатов измерений

1 + 3 • at -(tpjyjj- 20),
(1 + akl • (tjjyjj- 20))-(1 + atl -(td- 20))
Массу нефтепродукта, определенную с помощью средств поверки за время i-ro измерения в j-ой точке рабочего диапазона измерений массового расхода Mnyji, т, вычисляют по формулам при применении ТПУ
при применении КП
(2)
(3)
Рцу ji' D
E-S
вариант 1


1 + 0,95-

вариант 2
_ ^BxTOrji + ^ВыхПУ)1
117,1 “ —-
p -f-P
n _ л 51ПУп * ЗшПУп Fnyji -----— ■
где Vo - вместимость калиброванного участка ПУ при стандартных условиях (t = 20 °C и Р = 0 МПа), м3;
Ktji - коэффициент, учитывающий влияние температуры на вместимость ПУ, для i-ro измерения в j-ой точке рабочего диапазона измерений массового расхода, вычисленный по формуле (3);
Kpjj - коэффициент, учитывающий влияние давления на вместимость ПУ, для i-ro измерения в j-ой точке рабочего диапазона измерений массового расхода, вычисленный по формуле (4) (вариант вычислений выбирают в соответствии с методикой поверки ПУ);
pnnji - плотность нефтепродукта за время i-ro измерения в j-ой точке рабочего диапазона измерений массового расхода, кг/м3;
CTLnyji - коэффициент, учитывающий влияние температуры на объем нефтепродукта, определенный для температуры нефтепродукта в ПУ для i-ro измерения в j-ой точке рабочего диапазона измерений массового расхода (вычисляют по приложению Б);
CPLnyji - коэффициент, учитывающий влияние давления на объем нефтепродукта, определенный для давления нефтепродукта в ПУ для i-ro измерения в j-ой точке рабочего диапазона измерений массового расхода (вычисляют по приложению Б);
СТЬппн - коэффициент, учитывающий влияние температуры на объем нефтепродукта, определенный для температуры нефтепродукта в ПП для i-ro измерения в j-ой точке рабочего диапазона измерений массового расхода (вычисляют по приложению Б);
CPLnnji - коэффициент, учитывающий влияние давления на объем нефтепродукта, определенный для давления нефтепродукта в ПП для i-ro измерения в j-ой точке рабочего диапазона измерений массового расхода (вычисляют по приложению Б);
at - коэффициент линейного расширения материала стенок калиброванного участка ТПУ (из технической документации на ТПУ или определяют по таблице Г.2 приложения Г), 1/°С;
aki - квадратичный коэффициент расширения стали калиброванного участка КП (из технической документации на КП или определяют по таблице Г.2 приложения Г), 1/°С;
ati - коэффициент линейного расширения материала планки крепления детекторов КП или инварового стержня (берут из технической документации на КП или определяют по таблице Г.2 приложения Г), 1/°С;
td - температура планки крепления детекторов или инварового стержня (при отсутствии датчика температуры берут значение равное температуре окружающей среды), °C;
tnvji - среднее значение температуры нефтепродукта в ПУ за время i-ro измерения в j-ой точке рабочего диапазона измерений массового расхода, °C;
tBxnyji, tBwxnyji - температура нефтепродукта на входе и выходе ПУ за время i-ro измерения в j-ой точке рабочего диапазона измерений массового расхода, °C;
Pnyji - среднее значение избыточного давления нефтепродукта в ПУ за время i-ro измерения в j-ой точке рабочего диапазона измерений массового расхода, МПа;
РвхПУр, РвыхПУп - давление нефтепродукта на входе и выходе ПУ за время i-ro измерения в j-ой точке рабочего диапазона измерений массового расхода, МПа;
D - внутренний диаметр калиброванного участка ПУ (из технической документации на ПУ), мм;
S - толщина стенок калиброванного участка ПУ (из технической документации на ПУ), мм;
Е - модуль упругости материала стенок калиброванного участка ПУ (из технической документации на ПУ или определяют по таблице Г.2 приложения Г), МПа;
Вычисление массы нефтепродукта допускается проводить согласно алгоритму, реализованному в ИВК, прошедшем испытания для целей утверждения типа.
Массовый расход нефтепродукта за время i-ro измерения в j-ой точке рабочего диапазона измерений массового расхода Qji, т/ч, вычисляют по формуле

(7)
где Mnyji - масса нефтепродукта, определенная с помощью средств поверки за время i-ro измерения в j-ой точке рабочего диапазона измерений массового расхода, т;
Tji - время i-ro измерения в j-ой точке рабочего диапазона измерений массового расхода, с.
Массовый расход нефтепродукта в j-ой точке рабочего диапазона измерений массового расхода Qj, т/ч, вычисляют по формуле
г..


(8)
где Qj, - массовый расход нефтепродукта за время i-ro измерения в j-ой точке рабочего диапазона измерений массового расхода, т/ч;
nj - количество измерений в j-ой точке рабочего диапазона измерений массового расхода.
Нижний и верхний пределы рабочего диапазона измерений массового расхода Qnijn, Qniax, т/ч, вычисляют по формулам
>min = niin(Qj),
(9)
(Ю)
'max = max(Qj),
где Qj - массовый расход нефтепродукта в j-ой точке рабочего диапазона измерений массового расхода, т/ч.
Массу нефтепродукта, измеренную за время i-ro измерения в j-ой точке рабочего диапазона измерений массового расхода Mji, т, вычисляют по формуле

(Н)
где Njj - количество импульсов от СРМ за время i-ro измерения в j-ой точке рабочего диапазона измерений массового расхода, имп;
Кпм - коэффициент преобразования СРМ, имп/т.
Градуировочный коэффициент СРМ в рабочем диапазоне измерений массового расхода Км, г/с/мкс вычисляют по формуле

(12)


(13)





(14)
где KMj - среднее значение градуировочного коэффициента СРМ в j-ой точке рабочего диапазона измерений массового расхода, г/с/мкс;
m - количество точек рабочего диапазона измерений массового расхода;
KMji - значение градуировочного коэффициента СРМ для i-ro измерения в j-ой точке рабочего диапазона измерений массового расхода, г/с/мкс;
nj - количество измерений в j-ой точке рабочего диапазона измерений массового расхода;
Mnyji - масса нефтепродукта, определенная с помощью средств поверки за время i-ro измерения в j-ой точке рабочего диапазона измерений массового расхода, т;
Mji - масса нефтепродукта, определенная с помощью СРМ за время i-ro измерения в j-ой точке рабочего диапазона измерений массового расхода, т;
Кмуст - градуировочный коэффициент, установленный в СРМ на момент проведения поверки СРМ, г/с/мкс.
Коэффициент коррекции СРМ в рабочем диапазоне измерений массового расхода MF, вычисляют по формуле
а

(15)

m

(16)



(17)
где MFj - среднее значение коэффициента коррекции СРМ в j-ой точке рабочего диапазона измерений массового расхода;
ш - количество точек рабочего диапазона измерений массового расхода;
MFji - значение коэффициента коррекции СРМ для i-ro измерения в j-ой точке рабочего диапазона измерений массового расхода;
nj - количество измерений в j-ой точке рабочего диапазона измерений массового расхода;
Mnyji - масса нефтепродукта, определенная с помощью средств поверки за время i-ro измерения в j-ой точке рабочего диапазона измерений массового расхода, т;
Mji - масса нефтепродукта, определенная с помощью СРМ за время i-ro измерения в j-ой точке рабочего диапазона измерений массового расхода, т;
MFycT - коэффициент коррекции, установленный в СРМ на момент проведения поверки СРМ.
Оценка СКО результатов измерений в поверяемых точках
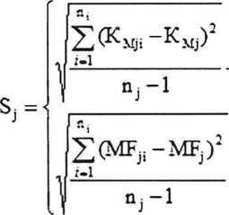
CKO результатов измерений в j-ой точке рабочего диапазона измерений массового расхода Sj, %, вычисляют по формуле

--100 при определении Км
--100 при определении MF
MFj
(18)
где Kmj- - среднее значение градуировочного коэффициента СРМ в j-ой точке рабочего диапазона измерений массового расхода, г/с/мкс;
KMji - значение градуировочного коэффициента СРМ для i-ro измерения в j-ой точке рабочего диапазона измерений массового расхода, г/с/мкс;
MFj - среднее значение коэффициента коррекции СРМ в j-ой точке рабочего диапазона измерений массового расхода;
MFjj - значение коэффициента коррекции СРМ для i-ro измерения в j-ой точке рабочего диапазона измерений массового расхода;
nj - количество измерений в j-ой точке рабочего диапазона измерений массового расхода.
Проверяют выполнение следующего условия Sj<0,05%. (19)
При выполнении данного условия продолжают обработку результатов измерений.
При невыполнении условия (19) выявляют наличие промахов в полученных результатах вычислений, согласно приложению В.
Выявленный промах исключают и проводят дополнительное измерение. При отсутствии промахов выясняют и устраняют причины, обуславливающие невыполнение условия (19) и повторно проводят измерения.
Границу неисключенной систематической погрешности СРМ в рабочем диапазоне измерений расхода, 0, %, вычисляют по формулам
0=1,1-^0;о+0;-о -Г0; + 0;,+ 0; +0j3X + 0^ +©5jp.
G, = • 100■ ^At^.-bAt^,
Pmax = max(pji),
0?=^L.1OO, PlHIzir.
Pnnmin = min(pnnji),
♦100 при определении Км
J
• 100 при определении MF
/
©А =
max
Mt
•м
(20)
(21)
(22)
-
(23)
-
(24)
-
(25)
MF

О для СРМ с коррекции стабильности нуля
(26)
-
(27)
-
(28)
-
(29)
-
(30)
-
(31)
ZS --100 для СРМ без коррекции стабильности нуля1 Qair.
©ИВК = Зивк,

вариант 1
вариант 2
At— max[(tniax - tn),(tn ~ tmin)]>

0 для СРМ с коррекции подавлению 1 ' ^Рдсп ■ ДР для СРМ без коррекции подавлению'
АР = тах[(РП1ах - Рп),(Рп - Pmin)],
где ®zo - граница суммарной неисключенной систематической погрешности ПУ (из свидетельства о поверке ПУ; для ТПУ с двумя парами детекторов берут наибольшее значение), о/.
/о,
®vo - граница неисключенной систематической погрешности определения среднего значения вместимости ПУ (из свидетельства о поверке ПУ; для ТПУ с двумя парами детекторов берут наибольшее значение), %;
©t - граница неисключенной систематической погрешности, обусловленной погрешностью преобразователей температуры при измерениях температуры нефтепродукта в ПУ и ПП, %;
©р - граница неисключенной систематической погрешности, обусловленной
погрешностью ПП, %;
©а - граница неисключенной систематической погрешности, обусловленной
аппроксимацией градуировочной характеристики в рабочем диапазоне измерений массового расхода, %;
©ивк - граница неисключенной систематической погрешности, обусловленной погрешностью ИВК, %;
5ивк - предел допустимой относительной погрешности преобразования входных электрических сигналов в значение коэффициента преобразования СРМ ИВК (из свидетельства о поверке ИВК), %;
©z - граница неисключенной систематической погрешности, обусловленной нестабильностью нуля СРМ, %;
©Mt - граница неисключенной систематической погрешности, обусловленной влиянием отклонения температуры нефтепродукта в условиях эксплуатации СРМ от температуры нефтепродукта при поверке (вариант вычислений выбирают в соответствии с описанием типа СРМ), %;
©мр - граница неисключенной систематической погрешности, обусловленной влиянием отклонения давления нефтепродукта в условиях эксплуатации СРМ от давления нефтепродукта при поверке, %;
Ртах - максимальное значение коэффициента объемного расширения нефтепродукта за время поверки, 1/°С;
pji - коэффициент объемного расширения нефтепродукта для i-ro измерения в j-ой точке рабочего диапазона измерений массового расхода (по формуле Б. 10 приложения Б), 1/°С;
Atny - предел допускаемой абсолютной погрешности преобразователей температуры, установленных в ПУ (из свидетельства о поверке преобразователя температуры), °C;
Atnn - предел допускаемой абсолютной погрешности преобразователя температуры, установленного около ПП (из свидетельства о поверке преобразователя температуры), °C;
Арпп - предел допускаемой абсолютной погрешности ПП (из свидетельства о поверке преобразователя плотности), кг/м3;
pnnmin - минимальное значение плотности нефтепродукта за время поверки, кг/м3;
pnnji - плотность нефтепродукта за время i-ro измерения в j-ой точке рабочего диапазона измерений массового расхода, кг/м3;
ZS - стабильность нуля СРМ (из технической документации на СРМ), т/ч;
Qmin - нижний предел рабочего диапазона измерений массового расхода СРМ, т/ч;
бгдоп - значение дополнительной погрешности, обусловленной отклонением температуры нефтепродукта при эксплуатации СРМ от температуры нефтепродукта при поверке (из описания типа или технической документации на СРМ), %/°С;
Qhom - номинальное значение массового расхода СРМ (из технической документации на СРМ), т/ч;
At - максимальное отклонение температуры нефтепродукта при эксплуатации СРМ от температуры нефтепродукта при поверке, °C;
tn - среднее значение температуры нефтепродукта при поверке (допускается использовать среднее значение температуры нефтепродукта в ПУ), °C;
tmin, tmax ” нижний и верхний предел рабочего диапазона температур нефтепродукта при эксплуатации СРМ, °C;
5рД1,п - значение дополнительной погрешности, обусловленной отклонением давления нефтепродукта при эксплуатации СРМ от давления нефтепродукта при поверке (из описания типа или технической документации на СРМ), %/0,1 МПа;
АР - максимальное отклонение давления нефтепродукта при эксплуатации СРМ от давления нефтепродукта при поверке, МПа;
Pmirb Ртах " нижний и верхний предел рабочего диапазона давлений нефтепродукта при эксплуатации СРМ, МПа;
Рп - среднее значение давления нефтепродукта при поверке (допускается использовать среднее значение давления нефтепродукта в ПУ), МПа.
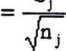
СКО среднего значения результатов измерения в j-ой точке рабочего диапазона измерений массового расхода Soj, %, вычисляют по формуле где Sj - СКО результатов измерений в j-ой точке рабочего диапазона измерений массового расхода, %;


(32)
nj - количество измерений в j-ой точке рабочего диапазона измерений массового расхода.
Границу случайной погрешности измерительного канала массового расхода нефтепродуктов в рабочем диапазоне измерений массового расхода при доверительной вероятности Р = 0,95 8, %, вычисляют по формулам
£j “ to,95j ' Soj,
(34)
где 8j - граница случайной погрешности в j-ой точке рабочего диапазона, %;
to,95j - квантиль распределения Стьюдента для количества измерений nj в j-ой точке рабочего диапазона измерений массового расхода (определяют по таблице Г. 1 приложения Г);
СКО среднего значения результатов измерения в рабочем диапазоне измерений массового расхода So принимают равным значению СКО среднего значения результатов измерения в точке рабочего диапазона измерений массового расхода с максимальным значением границы случайной погрешности So).
Границу относительной погрешности измерительного канала массового расхода нефтепродуктов в рабочем диапазоне измерений массового расхода 5, %, определяют по формулам
£ если — < 0,8 So
5 = < К • ST если 0,8 < — <8 z S
<>о
(35)
О если — >8 So

(36)


(37)


(38)
где 8 - граница случайной погрешности измерительного канала массового расхода нефтепродуктов в рабочем диапазоне измерений массового расхода, %;
® - граница неисключенной систематической погрешности измерительного канала массового расхода нефтепродуктов в рабочем диапазоне измерений массового расхода, %;
К - коэффициент, зависящий от соотношения случайной и неисключенной систематической погрешностей;
Ss - суммарное СКО результата измерений, %;
S© - СКО суммы неисключенных систематических погрешностей, %;
So - СКО среднего значения результатов измерений в рабочем диапазоне измерений массового расхода, %.
Операции по 6.5.1.2 проводятся в автоматизированном режиме в соответствии с алгоритмами, изложенными в 9.3 МИ 3189 - 2009 «ГСИ. Счетчики - расходомеры массовые Micro Motion фирмы Emerson Process Management. Методика поверки комплектом трубопоршневой поверочной установки или компакт-прувера и поточного преобразователя плотности» и реализованными в ИВК.
Результат считают положительным, если относительная погрешность для измерительного канал массового расхода нефтепродуктов:
-
- с рабочим (резервным) СРМ не превышает ±0,25 %;
-
- с контрольным СРМ не превышает ±0,20 %.
-
6.5.1 (Измененная редакция, Изм. № 1)
-
6.5.2 Определение относительной погрешности измерений массы нефтепродуктов СИКН
При получении положительных результатов по 6.5.1 относительная погрешность измерений СИКН при измерении массы нефтепродуктов не выходит за пределы ±0,25 % и результат поверки считают положительным.
-
6.5.2 (Измененная редакция, Изм. № 1)
-
7. Оформление результатов поверки
-
7.1 При положительных результатах поверки оформляют свидетельство о поверке СИКН в соответствии с документом «Порядок проведения поверки средств измерений, требования к знаку поверки и содержанию свидетельства о поверке», утвержденным Приказом Минпромторга России от 02.07.2015 № 1815 (далее - порядок проведения поверки).
-
При получении положительных результатов в СРМ в соответствии с технической документацией устанавливают новое значение Км или MF. Проводят пломбирование СРМ в соответствии с МИ 3002-2006 «ГСИ. Правила пломбирования и клеймения средств измерений и оборудования».
Знак поверки наносится на свидетельство о поверке СИКН.
-
7.1 (Измененная редакция, Изм. № 1)
72 При отрицательных результатах поверки СИКН к эксплуатации не допускают и выдают извещение о непригодности в соответствии с порядком проведения поверки.
-
7.2 (Измененная редакция, Изм. № 1)
Приложение А
(рекомендуемое)
Стр. _ из
Форма протокола поверки
ПРОТОКОЛ ПОВЕРКИ №
Наименование, тип средства измерений:_______________________________________
Изготовитель:____________________________________________________________________
Заводской номер:______________________________________________________________
В л а дел е ц:______________________________________________________________________________
Наименование и адрес заказчика:_______________________________________________
Методика поверки:___________________________________________________________
Место проведения поверки:___________________________________________________
Поверка выполнена с применением:__________________________________________
РЕЗУЛЬТАТЫ ПОВЕРКИ
А.1 Внешний осмотр:_______________________________________________________________(соответсгвует/'не соогветс1вует6.1а)
А.2 Подтверждение соответствия ПО:_____________________________________________(соответствует/не соответствует 6.2)
А.З Опробование:____________________________________________________________________(соответствует/не cooieeicieyeT 6.3а)
А.4 Определение метрологических характеристик
А.4.1 Проверка результатов поверки СИ, входящих в состав СИКН
СИ (измерительные компоненты), входящих в состав СИКН, действующие знаки поверки и (или) свидетельства о поверки, и (или) запись в паспортах (формулярах)________________________(имеют/ не имеют)
А.4.2 Определение относительной погрешности измерительного канала массового расхода нефтепродуктов
СРМ: |
Датчик: Преобразователь: |
Тип Тип |
Зав. № Зав. № |
ПУ: |
Тип |
Зав. № | |
ПП: |
Тип |
Зав. № | |
ИВК: |
Тип |
Зав. № | |
Измеряемая среда |
Таблица А.1 - Исходные данные
Детекторы |
Vo, м* |
D, мм |
S, мм |
Е, МПа |
«, («.О, 1/°С |
0уо, % |
®Vo, % |
1 |
2 |
3 |
4 |
5 |
6 |
7 |
8 |
Продолжение таблицы А.1
Atny, °C |
Atnn> °C |
Дрпп, кг/м3 |
Shrjg % |
КПм, имп/т |
KMvCT, Г/С/МКС |
MFVCT |
Qhom, т/ч |
9 |
10 |
11 |
12 |
13 |
14 |
15 |
16 |
Окончание таблицы А.1
ZS, т/ч |
StAon, %/ПС |
брдоп, %/0,1 МПа |
t • °C Чтги |
W °с |
МПа |
Pmax, МПа |
йМ, 1/°С |
17 |
18 |
19 |
20 |
21 |
22 |
23 |
24 |
Таблица А.2 - Результаты измерений и вычислений
№ точ/№ изм |
Qii, т/ч |
Детекторы |
Ь, с |
tnYii, °C |
Pnyii, МПа |
Pnnii, кг/м |
tnnii, °C |
1 |
2 |
3 |
4 |
5 |
6 |
7 |
8 |
1/1 | |||||||
1/ГЦ | |||||||
111/1 | |||||||
m/nm |
Приложение А
(окончание)
Стр. _ из
Окончание таблицы А.2
№ точ./№ изм. |
Pnnji, МПа |
Pji, i/°c |
Njj, имп |
Mnyji, Т |
Mji5T |
MFji (KMii), (г/с/мкс) |
td,°c |
1 |
9 |
10 |
И |
12 |
13 |
14 |
15 |
1/1 | |||||||
1/П1 | |||||||
ш/1 | |||||||
ni/nm |
Таблица А.З- Результаты измерений в точках рабочего диапазона
№ точ. |
Qj, т/ч |
MFj (KMj), (г/с/мкс) |
nj |
Sj, % |
SOj, % |
to,95j |
e QA Cj, /0 |
1 |
2 |
3 |
4 |
5 |
6 |
7 |
8 |
1 | |||||||
m |
Таблица А.4 - Результаты измерений в рабочем диапазоне
Qmb т/ч |
Qmax, Т/Ч |
MF (KM), (г/с/мкс) |
So, % |
s, % |
®A, % |
®Z, % |
0.4 /о |
1 |
2 |
3 |
4 |
5 |
6 |
7 |
8 |
Окончание таблицы А.4
®„ % |
tn, °C |
®Mt, % |
Рп, МПа |
®MP, % |
®, % |
5, % |
9 |
10 |
11 |
12 |
13 |
14 |
15 |
Относительная погрешность измерительного канала массового расхода нефтепродуктов установленным в 6.5.1.2 пределам____________(соотвеютвует/не соответствует)
Примечания
-
1. Столбец 6 таблицы А.1 заполняется в зависимости от применяемой ПУ.
-
2. Столбец 24 таблицы А.1, столбец 15 таблицы А.2 заполняется при применении в качестве ПУ КП.
-
3. При определении коэффициента коррекции в сюлбец 14 таблицы А.2, столбец 3 таблицы А.З и столбец 3 таблицы А.4 заносят значения коэффициента коррекции, при определении градуировочного коэффициента - заносят значения градуировочного коэффициента.
А.4.3 Относительная погрешность измерений массы нефтепродуктов СИКН
Относительная погрешность измерений массы нефтепродуктов установленным в 6.5.2 пределам________________
(соответствует/не сои гветс i вует)
должность лица, проводившего поверку
по,опись
Ф.И.О.
Дата поверки__________________________
Приложение А (Введено дополнительно, Изм. № 1)
Приложение Б
(справочное)
Определение коэффициентов CTL и CPL, плотности нефтепродукта продукта при стандартных условиях (t = 15 °C и Р = 0 МПа), значение коэффициента объемного расширения нефтепродукта
Б.1 Определение коэффициента CTL
Значение коэффициента CTL, учитывающего влияние температуры на объем нефтепродукта при t=15°CHP = 0 МПа определяют по формулам
CTL = exp[-ai5 • At • (1 + 0,8 ■ ai5 ■ At)], (Б.1)
(Б.2)
(Б.З)

At = t - 15,
где
pi 5 - значение плотности продукта при t=15°CHP = 0 МПа, кг/м3; t - значение температуры продукта, °C;
dis - значение коэффициента объемного расширения продукта при t=15°CHP = 0 МПа, 1/°С;
КО, К1 - коэффициенты выбираются из таблицы Б.1.
Таблица Б.1- Значения коэффициентов Ко и Ki в зависимости от типа продукта
Тип продукта |
Р15, кг/м3 |
Ко |
К] |
Нефтепродукты: Бензины |
611-779 |
346,42278 |
0,43884 |
Реактивные топлива |
779 - 839 |
594,54180 |
0,00000 |
Нефтяные топлива |
839 - 1164 |
186,96960 |
0,48618 |
Примечание - Для нефтепродуктов коэффициенты Ко, Kt выбираются не по названию типа продукта, а в зависимости от значения р]5.
Б.2 Определение коэффициента CPL
Значение коэффициента CPL, учитывающего влияние давления на объем продукта для диапазона плотности продукта (при t=15°CHP = 0 МПа) от 611 до 1164 кг/м3 определяют по формулам
где
CPL =
1
1-Ь-Р-Ю’
b = 10'4 ■ ехр(-1,62080+0,00021592 t + °-8709i6-10'' + 4,2092 40Jt j
Ч Р15 ' Р?5
pis - значение плотности продукта при t = 15°СиР = 0 МПа, кг/м3;
(Б.4)
(Б.5)
t - значение температуры продукта, °C;
Р - значение избыточного давления продукта, МПа;
10 - коэффициент перевода единиц измерения давления МПа в бар.
Б.З Определение плотности нефтепродукта при стандартных условиях (t = 15 °C и Р = 0 МПа) Значение плотности продукта, р15, кг/м3 определяют по формуле
_ Рпп
(Б.6)
₽li_CTLnn-CPLnn'
где
Рпп - значение плотности продукта в ПП, кг/м3;
СТЬпп - коэффициент, учитывающий влияние температуры на объем продукта, определенный для tnn и pis;
СРЬпп - коэффициент, учитывающий влияние давления на объем продукта, определенный для tnn, Рпп и pis.
Приложение Б
(окончание)
Для определения р]5 необходимо определить значения CTLnn и СРЬщъ а для определения CTLnn и СРЬпп, в свою очередь, необходимо определить значение плотности при стандартных условиях pi5. Поэтому значение pi5 определяют методом последовательного приближения.
-
1) Определяют значения CTLnn(i) и CPLnn(i), принимая значение р15 равным значению рПп-
-
2) Определяют значения pis(i)9 кг/м3:
(Б.7)
-
3) Определяют значения СТЬпп(2) и СРЬПп(2)> принимая значение р]5 равным значению pi5(i)-
-
4) Определяют значение pi5(2)9 кг/м3:
(Б.8)
-
5) Аналогично пунктам (3) и (4), определяют значения CTLnn(i) и СРЬщвд и pi5(i) для i-ro цикла вычислений и проверяют выполнение условия:
(Б.9)
где Pi5(i), Pi5(i-i) - значения pi5, определенные, соответственно, за последний и предпоследний цикл вычислений, кг/м3.
Процесс вычислений продолжают до выполнения данного условия. За значение р15 принимают последнее значение рщ^.
Б.4 Значение коэффициента объемного расширения Р, °C’1, при температуре t определяют по формуле
Р = а15+1,6-а152 - (t-15).
(Б. 10)
Приложение Б (Введено дополнительно, Изм. № 1)
Приложение В
(справочное)
Методика анализа результатов измерений на наличие промахов
Проверка результатов измерений на один промах по критерию Граббса при определении метрологических характеристик СРМ
СКО результатов измерений в j-ой точке рабочего диапазона измерений массового расхода, SKj определяют по формуле

при определении MF
при определении Км
(В.1)
где KMj - среднее значение градуировочного коэффициента СРМ в j-ой точке рабочего диапазона измерений массового расхода, г/с/мкс;
KMji - значение градуировочного коэффициента СРМ для i-ro измерения в j-ой точке рабочего диапазона измерений массового расхода, г/с/мкс;
MFj - среднее значение коэффициента коррекции СРМ в j-ой точке рабочего диапазона измерений массового расхода;
MFjj - значение коэффициента коррекции СРМ для i-ro измерения в j-ой точке рабочего диапазона измерений массового расхода;
nj - количество измерений в j-ой точке рабочего диапазона измерений массового расхода. Примечание - При SKj < 0,001 принимаем SKj = 0,001.
Наиболее выделяющееся соотношение U:
Г\
max
max
I
при определении Км
Z
X
■ при определении MF
у
(В.2)
где KMj- - среднее значение градуировочного коэффициента СРМ в j-ой точке рабочего диапазона измерений массового расхода, г/с/мкс;
KMji - значение градуировочного коэффициента СРМ для i-ro измерения в j-ой точке рабочего диапазона измерений массового расхода, г/с/мкс;
MFj - среднее значение коэффициента коррекции СРМ в j-ой точке рабочего диапазона измерений массового расхода;
MFji - значение коэффициента коррекции СРМ для i-ro измерения в j-ой точке рабочего диапазона измерений массового расхода;
Skj - СКО результатов измерений в j-ой точке рабочего диапазона измерений массового расхода.
Если значение U больше или равно значению h, взятому из таблицы, то результат измерения должен быть исключен как промах.
Таблица В.1 - Критические значения для критерия Граббса
п |
3 |
4 |
5 |
6 |
7 |
8 |
9 |
10 |
И |
12 |
h |
1,155 |
1,481 |
1,715 |
1,887 |
2,020 |
2,126 |
2,215 |
2,290 |
2,355 |
2,412 |
Приложение В (Введено дополнительно, Изм. № 1)
Приложение Г
(справочное)
Справочные материалы
Г. 1 Квантиль распределения Стьюдента
Значения квантиля распределения Стьюдента to,95 при доверительной вероятности Р = 0,95 в зависимости от количества измерений приведены в таблице Г. 1.
Таблица Г.1 - Значения квантиля распределения Стьюдента при доверительной вероятности
Р = 0,95
п- 1 |
1 |
2 |
3 |
4 |
5 |
6 |
7 |
8 |
9 |
10 |
И |
to,95 |
12,706 |
4,303 |
3,182 |
2,776 |
2,571 |
2,447 |
2,365 |
2,306 |
2,262 |
2,228 |
2,201 |
Г.2 Коэффициенты расширения и модули упругости
Значения коэффициентов линейного расширения материала стенок калиброванного участка ТПУ, материала планки крепления детекторов КП, квадратичный коэффициент расширения материала стенок калиброванного участка КП и модули упругости материалов стенок калиброванного участка ПУ в зависимости от материала приведены в таблице Г.2.
Таблица Г.2 - Коэффициенты линейного расширения, квадратичные коэффициенты расширения и модули упругости материалов
Материал |
а^оп), 1/°С |
акЬ 1/°С |
Е, МПа |
Сталь углеродистая |
1,12 х 10’5 |
2,23 х 10’5 |
2,07 х 105 |
Сталь нержавеющая 304 |
1,73 х 10’5 |
3,46 х 10‘5 |
1,93 х 105 |
Сталь нержавеющая 316 |
1,59 х 10'5 |
3,18 х 10"5 |
1,93 х 105 |
Сталь нержавеющая 17-4 |
1,08 х 10‘5 |
2,16 х 10’5 |
1,97 х 105 |
Инвар |
1,44 х 10'6 |
Приложение Г (Введено дополнительно, Изм. № 1)
22