Методика поверки «Датчики точки росы CS Instruments серий FA, DP» (ΜΠ 2411-0170-2019)
Федеральное государственное унитарное предприятие
«Всероссийский научно-исследовательский институт метрологии им. Д.И. Менделеева» ФГУП «ВНИИМ им. Д.И.Менделеева»
УТВЕРЖДАЮ
«> 5 > з :
“ -g.
*лг
У -X ?
У * Ъ
И.о. директора
. Д. И. Менделеева»
А.Н. Пронин
» сентября 2019 г.
Государственная система обеспечения единства измерений
Датчики точки росы CS Instruments серий FA, DP Методика поверкиМП 2411-0170- 2019
Руководитель отдела госэталонов в области теплофизических и температурных измерений

А.И. Походун
Инженер лаборатории термометрии
Н.Ю. Александров
Санкт-Петербург
2019
Настоящая методика предназначена для проведения первичной и периодической поверки датчиков точки росы CS Instruments серий FA, DP модификаций FA500, DP400 и DP500 (далее -датчики точки росы), изготавливаемых компанией «CS Instruments GmbH & Со. KG», Германия.
Датчики точки росы предназначены для измерений температуры точки росы влаги в некоррозионных газовых средах.
Интервал между поверками - 1 год.
-
1 ОПЕРАЦИИ ПОВЕРКИ
-
1.1 При проведении поверки должны выполняться операции, указанные в таблице 1.
-
Таблица 1.
|
Наименование операции |
№ пункта методики |
Наименование эталонов, средств измерений, их характеристики |
Обязательность проведения при поверке | |
|
первичной |
периодической | |||
|
1 |
2 |
3 |
4 |
5 |
|
Внешний осмотр |
4.1 |
Визуально |
Да |
Да |
|
Опробование |
4.2 |
Да |
Да | |
|
Подтверждение соответствия программного обеспечения |
4.3 |
Да |
Да | |
|
Проверка диапазона измерений и определение абсолютной погрешности |
4.4 |
Генератор влажного газа Michell Instruments модификации VDS-3 (далее -генератор 1), регистрационный номер в Федеральном информационном фонде по обеспечению единства измерений 48434-11; генератор влажного газа Michell Instruments модификации DG-4 (далее - генератор 2), в комплектации с контрольным конденсационным гигрометром, имеющий диапазон температуры точки росы от -80 до +20 °C, пределы допускаемой абсолютной погрешности ±0,2 °C; регистрационный номер в Федеральном информационном фонде по обеспечению единства измерений 48434-11; - калибратор многофункциональный МСх -R, регистрационный номер в Федеральном информационном фонде 22237-08 Термогигрометр ИВА-6Н-Д, диапазон измерений относительной влажности от 0 до 98 %, ПГ ±2 % ±3 %; диапазон измерений атмосферного давления от 300 до 1100 гПа, ПГ ±2,5 гПа; диапазон измерений температуры от -20 до +60 °C, ПГ ±0,3 °C. |
Да |
Да |
Примечание: Допускается применение генераторов влажного газа без опорного конденсационного гигрометра, имеющих пределы допускаемой абсолютной погрешности воспроизведения температуры точки росы не более ±0,5 °C или аналогичных средств поверки, обеспечивающих опре-деление метрологических характеристик поверяемых СИ с требуемой точностью.
-
1.2 Указанные средства поверки должны иметь действующие документы о поверке или аттестации.
-
1.3 Работа с указанными средствами измерений должна проводиться в соответствии с документацией по их эксплуатации.
-
1.4 Методикой поверки не предусмотрена возможность проведения поверки отдельных измерительных каналов и (или) автономных блоков из состава средства измерений для меньшего числа измеряемых величин или на меньшем числе поддиапазонов измерений.
-
2 ТРЕБОВАНИЯ БЕЗОПАСНОСТИ
-
2.1 При поверке датчиков точки росы необходимо соблюдать действующие правила эксплуатации электроустановок.
-
2.2 Помещение, в котором проводится поверка, должно быть оборудовано приточновытяжной вентиляцией
-
2.3 Не допускается попадание прямых солнечных лучей на датчики точки росы.
-
2.4 К проведению поверки должны быть допущены лица, изучившие эксплуатационную документацию на датчики точки росы, имеющие необходимую квалификацию.
-
-
3 УСЛОВИЯ ПРОВЕДЕНИЯ ПОВЕРКИ И ПОДГОТОВКА К НЕЙ
-
3.1 При проведении поверки должны соблюдаться следующие условия:
-
-
- температура окружающего воздуха, °C от +15 до +25
-
- относительная влажность, %, не более 80
-
- атмосферное давление, кПа 101,3±4,0
При поверке должны соблюдаться требования, приведенные в руководстве по эксплуатации на датчики точки росы.
-
3.2 Перед проведением поверки должны быть выполнены следующие подготовительные работы:
-
3.2.1 Проверка наличия паспорта, свидетельства о предыдущей поверке, руководства по эксплуатации.
-
3.2.2 Подготовка к работе поверяемого датчика точки росы в соответствии с руководством по эксплуатации.
-
-
4 ПРОВЕДЕНИЕ ПОВЕРКИ
-
4.1 Внешний осмотр.
-
При внешнем осмотре устанавливают соответствие датчиков точки росы следующим требованиям:
-
- наличие заводского номера на корпусе;
-
- маркировка должна быть четкой и соответствовать требованиям эксплуатационной документации;
-
- отсутствие видимых повреждений корпуса, фитингов для подключения образцов газа. USB-разъема, защитного фильтра зонда;
-
- исправность органов управления (FA500, FA550, DP500/510, DP400);
Датчики точки росы считают выдержавшими внешний осмотр, если они соответствуют указанным выше требованиям.
-
4.2 Проверка работы (опробование).
-
4.2.1 Датчики точки росы: FA500. FA550, DP 500/510, DP 400, готовы к работе после включения питания, завершения процедуры самодиагностики и двухминутного прогрева.
-
Результат проверки считают положительным, если в каждом из окон экрана включается каждый из предусмотренных в нем символов согласно руководству.
-
4.2.2 Датчики точки росы: FA505, FA510, FA515, FA540, FA545, питаются от внешнего источника напряжения питания (24 В DC). Измерения проводят подключением в соответствии с руководством по эксплуатации ответной части разъема выходного сигнала 4-20 мА (2-10 В) к входным клеммам измерений силы тока (напряжения) калибратора МСх -R.
Результат проверки считают положительным, если выходной сигнал находится в пределах 4-20 мА (2-10 В).
-
4.2.3 Датчики серии FA с выходным цифровым сигналом подключают через конвертер Modbus к компьютеру с предустановленной программой «CS Instruments GmbH Service Sj ft ware Dew Point Sensors» либо к дисплею или любому вторичному преобразователю, работающему по протоколу Modbus через интерфейс RS485.
Результат проверки считают положительным, если измеренные данные отображены на дисплее.
-
4.3 Подтверждение соответствия программного обеспечения
-
4.3.1 Версия встроенного программного обеспечения датчиков FA500. FA550 идентифицируется в информационном окне главного меню «Settings Info».

-
Production Data Serial No.: 1234567890 Cal. Date: 10.01.2013 — Sensor Data — Sonsor Type: Software Version: Hardware Vorslon:
FA500
1.01
1.01
Uve Data---—----
RunTime: Od Oh 00m 00s
Vln: 24.0 V
Back
-
4.3.2 Версия встроенного программного обеспечения датчиков DP500/510, DP400 иденти-фицируется в главном меню «Main menu Settings -> About DP 400/500/510».
** About DP510 ***
Device
Options
DP510
Device Type:
Serial Number 00000000
Virtual Channels
Analog Total
Hardware Version: 1.00
Software Version: 99.88
Data Logger
Mln/Max
Contact: www.cs4nstruments.com
Back |__
-
4.3.3 Версия встроенного программного обеспечения датчиков FA505, FA510, FA515, FA540, FA545 идентифицируется в автономной программе ПО «CS Instruments GmbH - Service Software Dew Point Sensors» во вкладке «Device Info» либо с помощью вторичного преобразователя, поддерживающего протокол Modbus, по адресу: регистр Modbus 3, адрес Modbus 2, заводской номер по адресу: регистр Modbus 1, адрес Modbus 0.

Результат проверки считают положительным, если номер версии ПО не ниже указанного в описании типа.
-
4.4 Определение абсолютной погрешности в диапазоне измерений температуры точки росы
-
4.4.1 Определение абсолютной погрешности в диапазоне ниже минус 75 °C.
-
4.4.1.1 Зонд поверяемого датчика точки росы серии FA с диапазоном измерений температуры точки росы от минус 100 до 0 (минус 20) °C помещают в измерительную камеру генератора 1, ответную часть разъема выходного унифицированного сигнала в соответствии с руководством по эксплуатации к входным клеммам калибратора МСх -R. В генераторе 1 последовательно задают два значения температуры точки росы, распределенные в диапазоне от минус 100 °C до минус 75 °C. Устанавливать значения температуры точки росы следует от нижней границы диапазона к верхней. Не допускается отступать от крайних значений диапазона задания свыше 1 °C.
-
-
Примечание:
Допускается по заявлению заказчика при периодической поверке проводить измерения температуры точки росы в рабочем диапазоне датчика от минус 80 °C до минус 75 °C, если диапазон от минус 100 до минус 80 °C не используется.
-
4.4.1.2 Для датчиков точки росы серий FA и DP с нижним пределом диапазона измерений минус 80 °C проводят измерения при двух значениях температуры точки росы минус 79 °C и минус 76 °C. После выхода генератора 1 на заданный режим и установления постоянных показаний поверяемого датчика точки росы, записывают измеренные значения поверяемого и эталонного приборов в протокол приложения 1.
-
4.4.1.3 Значение абсолютной погрешности измерений температуры точки росы определяют как разность между значениями по показаниям поверяемого (Тсшизм) и эталонного (7с^э™) СИ.
-
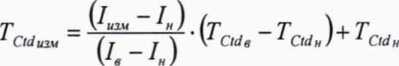
4.4.1.4 Для датчиков с выходным унифицированным сигналом силы тока значение Тсыизм рассчитывают по формуле:

где: Tctde - верхний предел диапазона измерений точки росы влаги, °C; Tctdu - нижний предел диапазона измерений точки росы влаги, °C;
1изм - значение выходного сигнала силы постоянного тока в проверяемой точке диапазона, мА 1в - верхний предел выходного сигнала силы тока, линейно пропорционального верхнему пределу диапазона измерений температуры точки росы датчика, мА;
1Н - нижний предел выходного сигнала силы тока, линейно пропорционального верхнему пределу диапазона измерений температуры точки росы датчика, мА
Примечание: в случае выходного сигнала напряжения постоянного тока, в формуле обозначение I, заменяют на обозначение U.
-
4.4.2 Определение абсолютной погрешности в диапазоне от минус 75 °C до плюс 20 °C.
-
4.4.2.1 Вход измерительной камеры датчика точки росы подключают к выходу газа генератора 2, при поверке датчиков без измерительной камеры в комплекте - п.4.4.1.1. В генераторе 2 последовательно задают не менее пяти значений температуры точи росы, распределенных в диапазоне от минус 75 °C до плюс 20 °C. Устанавливать значения температуры точки росы следует от нижней границы диапазона к верхней. Не допускается отступать от крайних значений диапазона задания свыше 5 °C.
-
4.4.2.2 Производят действия аналогично п.п.4.4.1.1- 4.4.1.4.
-
Результаты определения считают положительными, если значения погрешности во всем диапазоне измерений находятся в пределах или равны указанным в описании типа.
Результат поверки признают положительным, если результаты всех проверок по п.п. 4.1 -
-
4.4.3 признаны положительными.
-
5 ОФОРМЛЕНИЕ РЕЗУЛЬТАТОВ ПОВЕРКИ
Результаты поверки оформляют протоколом (рекомендуемая форма протокола приведена в приложении 1). При положительных результатах поверки выдается свидетельство о поверке установленной формы. При отрицательных результатах поверки выдается извещение о непригодности к применению.
Знак поверки наносится на свидетельство о поверке.
ПРИЛОЖЕНИЕ 1
Рекомендуемое
ПРОТОКОЛ №______
первичной (периодической) поверки
|
Наименование прибора, тип |
Датчик точки росы CS Instruments серий FA, DP модификации FA510 |
|
Регистрационный номер в Федеральном информационном фонде по ОЕИ | |
|
Заводской номер | |
|
Изготовитель | |
|
Год выпуска | |
|
Заказчик |
ИНН |
|
Серия и номер знака предыдущей поверки Дата предыдущей поверки |
Место проведения поверки______________________________________________
Методика поверки: МП 2411-0170-2019 «ГСИ. Датчики точки росы CS Instruments серий FA, DP.
Методика поверки», утвержденная ФГУП «ВНИИМ им. Д.И. Менделеева» 23 сентября 2019 г.
Значения влияющих факторов:
Температура окружающей среды_°C
Относительная влажность_%
Атмосферное давление__кПа
Основные средства поверки:__________________________________
Результаты внешнего осмотра:_________________________________________
Подтверждение соответствия ПО, версия:_________________
Результаты поверки:
Таблица 1-Результаты определения абсолютной погрешности температуры точки росы
|
Контрольное значение температуры точки росы, °C |
Действительное значение температуры точки росы, °C |
Показания поверяемого датчика |
Полученное значение абсолютной погрешно-сти,°C | |
|
мА (В) |
°C | |||
Вывод: Метрологические характеристики соответствуют требованиям описания типа
Поверитель__
Дата проведения поверки «___»__________________201_г.
ПРИЛОЖЕНИЕ 2
(Обязательное)
Таблица значений влажности газов в разных единицах измерений
|
Точка росы |
Давление насыщенного пара, мм рт ст |
PPM по объему |
Относительная влажность при 70°F (21 °C) |
PPM по весу в воздухе |
PPM по весу в СО2 | |
|
°C |
°F | |||||
|
-90 |
-130 |
0,000070 |
0,0921 |
0,00037 |
0,057 |
0,035 |
|
-88 |
-126 |
0,00010 |
0,132 |
0,00054 |
0,082 |
0,049 |
|
-86 |
-123 |
0,00014 |
0,134 |
0,00075 |
0,11 |
0,069 |
|
-84 |
-119 |
0,00020 |
0,263 |
0,00107 |
0,16 |
0,099 |
|
-82 |
-116 |
0,00029 |
0,382 |
0,00155 |
0,24 |
0,14 |
|
-80 |
-112 |
0,00040 |
0,526 |
0,00214 |
0,33 |
0,20 |
|
-78 |
-108 |
0,00056 |
0,737 |
0,00300 |
0,46 |
0,28 |
|
-76 |
-105 |
0,00077 |
1,01 |
0,00412 |
0,63 |
0,38 |
|
-74 |
-101 |
0,00105 |
1,38 |
0,00562 |
0,82 |
0,52 |
|
-72 |
-98 |
0,00143 |
1,88 |
0,00765 |
U7 |
0,71 |
|
-70 |
-94 |
0,00194 |
2,55 |
0,0104 |
1,64 |
0,96 |
|
-68 |
-90 |
0,00261 |
3,43 |
0,0140 |
2,13 |
1,29 |
|
-66 |
-87 |
0,00349 |
4,59 |
0,0187 |
2,84 |
1,75 |
|
-64 |
-83 |
0,00464 |
6,10 |
0,0248 |
3,71 |
2,29 |
|
-62 |
-80 |
0,00614 |
8,07 |
0,0328 |
5,01 |
3,22 |
|
-60 |
-76 |
0,00808 |
10,6 |
0,0433 |
6,59 |
3,90 |
|
-58 |
-72 |
0,0106 |
13,9 |
0,0567 |
8,21 |
5,24 |
|
-56 |
-69 |
0,0138 |
18,2 |
0,0738 |
11,6 |
6,81 |
|
-54 |
-65 |
0,0178 |
23,4 |
0,0952 |
14,5 |
8,80 |
|
-52 |
-62 |
0,0230 |
302 |
0,126 |
18,8 |
11,4 |
|
-50 |
-58 |
0,0295 |
38,8 |
0,160 |
24,2 |
14,6 |
|
-48 |
-54 |
0,0378 |
49,7 |
0,202 |
30,7 |
18,7 |
|
-46 |
-51 |
0,0481 |
63,2 |
0,257 |
39.3 |
23,8 |
|
-44 |
-47 |
0,0609 |
80,1 |
0,325 |
49,7 |
30 1 |
|
-42 |
-44 |
0,0768 |
101 |
0,410 |
62,7 |
38,0 |
|
-40 |
-40 |
0,0966 |
127 |
0,516 |
79,1 |
47,8 |
|
-38 |
-36 |
0,1209 |
159 |
0,646 |
98,6 |
59,7 |
|
-36 |
-33 |
0,1507 |
197 |
0,804 |
123 |
744 |
|
-34 |
-29 |
0,1873 |
246 |
1,01 |
156 |
92,5 |
|
-32 |
-26 |
0,2318 |
305 |
1,24 |
189 |
115 |
|
-30 |
-22 |
0,2859 |
376 |
1,55 |
234 |
141 |
|
-28 |
-18 |
0,351 |
0,462 |
1,88 |
287 |
173 |
|
-26 |
-15 |
0,430 |
0,566 |
2,30 |
351 |
212 |
|
-24 |
-11 |
0,526 |
0,692 |
2,81 |
431 |
260 |
|
-22 |
-8 |
0,640 |
0,842 |
3,42 |
524 |
316 |
|
-20 |
-4 |
0,776 |
1,021 |
4,14 |
635 |
384 |
|
-18 |
0 |
0,939 |
1,236 |
5,01 |
706 |
464 |
|
-16 |
+3 |
1,132 |
1,489 |
6,06 |
925 |
560 |
|
-14 |
+7 |
1,361 |
1,791 |
7,29 |
1110 |
672 |
|
-12 |
+10 |
1,632 |
2,147 |
8,75 |
1340 |
808 |
|
-10 |
+14 |
1,950 |
2,566 |
10,4 |
1590 |
964 |
|
-8 |
+ 18 |
2,326 |
3,061 |
12,8 |
1900 |
1150 |
|
-6 |
+21 |
2,765 |
3,638 |
14,8 |
2260 |
1370 |
|
—4 |
+25 |
3,280 |
4,316 |
17,5 |
2680 |
1620 |
|
-2 |
+28 |
3,880 |
5,105 |
20,7 |
3170 |
1920 |
|
0 |
+32 |
4,579 |
6,025 |
24,1 |
3800 |
2360 |
|
+2 |
+36 |
5,303 |
6,978 |
28,2 |
4439 |
2824 |
|
+4 |
+39 |
6,000 |
7,895 |
32,5 |
5100 |
3245 |
|
+6 |
+42 |
7,020 |
9,237 |
37,5 |
5900 |
3754 |
|
+8 |
+46 |
8,100 |
10,658 |
42,9 |
6746 |
4293 |
|
+10 |
+50 |
9,210 |
12,118 |
49,2 |
7729 |
4919 |
|
+12 |
+54 |
10,530 |
13,855 |
56,0 |
3854 |
5634 |
|
+14 |
+57 |
11,985 |
15,770 |
63,8 |
10 106 |
6431 |
|
+16 |
+60 |
13,643 |
17,951 |
72,6 |
11 520 |
7331 |
|
+18 |
+66 |
15,477 |
20,364 |
88 |
13 035 |
8282 |
|
+20 |
+68 |
17,535 |
23,072 |
94 |
14 769 |
9384 |
|
+22 |
+71,5 |
19,827 |
26,088 |
16 699 |
10610 | |
|
+24 |
+75 |
22,377 |
29,443 |
18 847 |
11 975 | |
|
+26 |
+79 |
25,209 |
33,169 |
21 232 |
13 490 | |
|
+28 |
+82 |
28,349 |
37,301 |
23 877 |
15 170 | |
|
+30 |
+86 |
31,824 |
41,874 |
26 804 |
17 030 |
Температура точки росы при относительной влажности
'о
Темпе-
|
ратура воздуха |
30% |
35% |
40% |
45% |
50% |
55% |
60% |
65% |
70% |
75% |
80% |
85% |
90% |
95% |
|
-10°С |
-23,2 |
-21,8 |
-20,4 |
-19 |
-17,8 |
-16,7 |
-15,8 |
-14,9 |
-14,1 |
-13,3 |
-12,6 |
-11,9 |
-10,6 |
-10 |
|
-5°С |
-18,9 |
-17,2 |
-15,8 |
-14,5 |
-13,3 |
-11,9 |
-10,9 |
-10,2 |
-9,3 |
-8,8 |
-8,1 |
-7,7 |
-6,5 |
-5,8 |
|
0°С |
-14,5 |
-12,8 |
-и,з |
-9,9 |
-8,7 |
-7,5 |
-6,2 |
-5,3 |
-4,4 |
-3,5 |
-2,8 |
-2 |
-1,3 |
-0,7 |
|
+2°С |
-12,8 |
-11 |
-9,5 |
-8,1 |
-6,8 |
-5,8 |
-4,7 |
-3,6 |
-2,6 |
-1,7 |
-1 |
-0,2 |
-0,6 |
1,3 |
|
+4°С |
-11,3 |
-9,5 |
-7,9 |
-6,5 |
-4,9 |
-4 |
-3 |
-1,9 |
-1 |
0 |
0,8 |
1,6 |
2,4 |
3,2 |
|
+5°С |
-10,5 |
-8,7 |
-7,3 |
-5,7 |
-4,3 |
-3,3 |
-2,2 |
-1,1 |
-0,1 |
0,7 |
1,6 |
2,5 |
3,3 |
4,1 |
|
+6°С |
-9,5 |
-7,7 |
-6 |
-4,5 |
-3,3 |
-2,3 |
-1,1 |
-0,1 |
0,8 |
1,8 |
2,7 |
3,6 |
4,5 |
5,3 |
|
+7°С |
-9 |
-7,2 |
-5,5 |
-4 |
-2,8 |
-1,5 |
-0,5 |
0,7 |
1,6 |
2,5 |
3,4 |
4,3 |
5,2 |
6,1 |
|
+8°С |
-8,2 |
-6,3 |
-4,7 |
-3,3 |
-2,1 |
-0,9 |
0,3 |
1,3 |
2,3 |
3,4 |
4,5 |
5,4 |
6,2 |
7,1 |
|
+9°С |
. -7,5 |
-5,5 |
-3,9 |
-2,5 |
-1,2 |
0 |
1,2 |
2,4 |
3,4 |
4,5 |
5,5 |
6,4 |
7,3 |
8,2 |
|
+10°С |
-6,7 |
-5,2 |
-3,2 |
-1,7 |
-0,3 |
0,8 |
2,2 |
3,2 |
4,4 |
5,5 |
6,4 |
7,3 |
8,2 |
9,1 |
|
+11°С |
-6 |
-4 |
-2,4 |
-0,9 |
0,5 |
1,8 |
3 |
4,2 |
5,3 |
6,3 |
7,4 |
8,3 |
9,2 |
10,1 |
|
+12°С |
-4,9 |
-з,з |
-1,6 |
-0,1 |
1,6 |
2,8 |
4,1 |
5,2 |
6,3 |
7,5 |
8.6 |
9,5 |
10,4 |
11,7 |
|
+13°С |
-4,3 |
-2,5 |
-0,7 |
0,7 |
2,2 |
3,6 |
5,2 |
6,4 |
7,5 |
8,4 |
9,5 |
10,5 |
11,5 |
12,3 |
|
+14°С |
-3,7 |
-1,7 |
0 |
1,5 |
з |
4,5 |
5,8 |
7 |
8,2 |
9,3 |
10,3 |
11,2 |
12,1 |
13,1 |
|
+15°С |
-2,9 |
-1 |
0,8 |
2,4 |
4 |
5,5 |
6,7 |
8 |
9,2 |
10,2 |
11,2 |
12,2 |
13,1 |
14,1 |
|
+16°С |
-2,1 |
-0,1 |
1,5 |
3,2 |
5 |
6,3 |
7,6 |
9 |
10,2 |
и,з |
12,2 |
13,2 |
14,2 |
15,1 |
|
+17°С |
-1,3 |
0,6 |
2,5 |
4,3 |
5,9 |
7,2 |
8,8 |
10 |
11,2 |
12,2 |
13,5 |
14,3 |
15,2 |
16,6 |
|
+18°С |
-0,5 |
1,5 |
3,2 |
5,3 |
6,8 |
8,2 |
9,6 |
И |
12,2 |
13,2 |
14,2 |
15,3 |
16,2 |
17,1 |
|
+19°С |
0,3 |
2,2 |
4,2 |
6 |
7,7 |
9,2 |
10,5 |
11,7 |
13 |
14,2 |
15,2 |
16,3 |
17,2 |
18,1 |
|
+20°С |
1 |
3,1 |
5,2 |
7 |
8,7 |
10,2 |
11,5 |
12,8 |
14 |
15,2 |
16,2 |
17,2 |
18,1 |
19,1 |
|
+21°С |
1,8 |
4 |
6 |
7,9 |
9,5 |
И,1 |
12,4 |
13,5 |
15 |
16,2 |
17,2 |
18,1 |
19,1 |
20 |
|
+22°С |
2,5 |
5 |
6,9 |
8,8 |
10,5 |
11,9 |
13,5 |
14,8 |
16 |
17 |
18 |
19 |
20 |
21 |
|
+23°С |
3,5 |
5,7 |
7,8 |
9,8 |
11,5 |
12,9 |
14,3 |
15,7 |
16,9 |
18,1 |
19,1 |
20 |
21 |
22 |
|
+24°С |
4,3 |
6,7 |
8,8 |
10,8 |
12,3 |
13,8 |
15,3 |
16,5 |
17,8 |
19 |
20,1 |
21,1 |
22 |
23 |
|
+25°С |
5,2 |
7,5 |
9,7 |
11,5 |
13,1 |
14,7 |
16,2 |
17,5 |
18,8 |
20 |
21,1 |
22,1 |
23 |
24 |
|
+26°С |
6 |
8,5 |
10,6 |
12,4 |
14,2 |
15,8 |
17,2 |
18,5 |
19,8 |
21 |
22,2 |
23,1 |
24,1 |
25,1 |
|
+27°С |
6,9 |
9,5 |
11,4 |
13,3 |
15,2 |
16,5 |
18,1 |
19,5 |
20,7 |
21,9 |
23,1 |
24,1 |
25 |
26,1 |
|
+28°С |
7,7 |
10,2 |
12,2 |
14,2 |
16 |
17,5 |
19 |
20,5 |
21,7 |
22,8 |
24 |
25,1 |
26,1 |
27 |
|
+29°С |
8,7 |
Н,1 |
13,1 |
15,1 |
16,8 |
18,5 |
19,9 |
21,3 |
22,5 |
22,8 |
25 |
26 |
27 |
28 |
|
+30°С |
9,5 |
11,8 |
13,9 |
16 |
17,7 |
19,7 |
21,3 |
22,5 |
23,8 |
25 |
26,1 |
27,1 |
28,1 |
29 |
|
+32°С |
11,2 |
13,8 |
16 |
17,9 |
19,7 |
21,4 |
22,8 |
24,3 |
25,6 |
26,7 |
28 |
29,2 |
30,2 |
31,1 |
|
+34°С |
12,5 |
15,2 |
17,2 |
19,2 |
21,4 |
22,8 |
24,2 |
25,7 |
27 |
28,3 |
29,4 |
31,1 |
31,9 |
33 |
|
+36°С |
14,6 |
17,1 |
19,4 |
21,5 |
23,2 |
25 |
26,3 |
28 |
29,3 |
30,7 |
31,8 |
32,8 |
34 |
35,1 |
|
+38°С |
16,3 |
18,8 |
21,3 |
23,4 |
25,1 |
26,7 |
28,3 |
29,9 |
31,2 |
32,3 |
33,5 |
34,6 |
35,7 |
36,9 |
|
+40°С |
17,9 |
20,6 |
22,6 |
25 |
26,9 |
28,7 |
30,3 |
31,7 |
33 |
34,3 |
35,6 |
36,8 |
38 |
39 |
8
