Методика поверки «Комплекс фото-видеофиксации нарушений ПДД "Стрелка-360" » (651-20-008 МП)
УТВЕРЖДАЮ
Первый заместитель
генерального директора -
заместитель по научной работе

ГОСУДАРСТВЕННАЯ СИСТЕМА ОБЕСПЕЧЕНИЯ ЕДИНСТВА ИЗМЕРЕНИЙ
КОМПЛЕКСЫ ФОТО-ВИДЕОФИКСАЦИИ НАРУШЕНИЙ ПДД «СТРЕЛКА-360»
Методика поверки
651-20-008 МП
2020 г.
Общие положенияНастоящая методика распространяется на комплексы фото-видеофиксации нарушений ПДД «Стрелка-360» (далее по тексту комплексы) и устанавливает объем и методы первичной и периодических поверок.
Изготовители комплексов:
Общество с ограниченной ответственностью «Корпорация «Строй Инвест Проект М» (ООО «Корпорация «Строй Инвест Проект М»),
Общество с ограниченной ответственностью «ЗНАК» (ООО «ЗНАК»),
Интервал между поверками - два года.
1 Операции поверки-
1.2.1 При проведении поверки должны быть выполнены операции, указанные в
таблице 1.
Таблица 1
Наименование операций |
Номер пункта методики |
Проведение операции при: | |
первичной |
периодической | ||
Внешний осмотр |
6.1 |
+ |
+ |
Опробование |
6.2 |
+ |
+ |
Определение метрологических характеристик | |||
определение погрешности (по уровню вероятности 0,95) определения координат местоположения объектов по каждой координатной оси при работе по сигналам ГЛОНАСС/GPS, при геометрическом факторе PDOP не более 3 |
6.3.1 |
+ |
+ |
определение абсолютной погрешности синхронизации шкалы времени комплексов относительно национальной шкалы времени UTC(SU) |
6.3.2 |
4- |
+ |
определение абсолютной погрешности измерений расстояний до объектов |
6.3.3 |
+ |
+ |
определение абсолютной погрешности измерений скорости движения транспортных средств (ТС) |
6.3.4 |
+ |
+ |
-
1.3 При получении отрицательных результатов поверки по любому пункту таблицы 1 комплекс признается непригодным к применению и направляется в ремонт.
-
1.4 Предусматривается возможность проведения поверки для меньшего числа измеряемых величин. Объем поверки определяется эксплуатирующей организацией в зависимости от применения комплекса. Определение метрологических характеристик по пп. 6.3.1, 6.3.2, 6.3.3 обязательно для всех комплексов. Определение метрологической характеристики по п. 6.3.4 производится для комплексов в мобильном исполнении, укомплектованных 3DM модулем.
-
1.5 Поверка может проводиться как на месте эксплуатации, так и в лабораторных условиях. При проведении поверки на месте эксплуатации, демонтаж комплексов не требуется.
-
2.1 При проведении поверки должны применяться средства поверки, указанные в
таблице 2.
Таблица 2
№ пункта методики поверки |
Наименование рабочих эталонов или вспомогательных средств поверки; номер документа, регламентирующего технические требования к рабочим эталонам или вспомогательным средствам; разряд по государственной поверочной схеме и (или) метрологические и основные технические характеристики средства поверки |
6.3.1 |
GNSS-приемник спутниковый геодезический многочастотный ALPHA-G3T, пределы допускаемой абсолютной погрешности измерения длины базиса в плане ± 3(10+1,0- 10'6D) |
6.3.2 |
Источник первичный точного времени УКУС-ПИ 02ДМ, пределы допускаемой абсолютной погрешности синхронизации шкалы времени выходного сигнала частотой 1 Гц (1PPS) относительно шкалы времени UTC (SU) в режиме синхронизации по сигналам ГНСС ГЛОНАСС/GPS ±1 мкс |
6.3.3 |
Курвиметры дорожные КП-230 РДТ и КП-230м РДТ, диапазон измерений длины пройденного пути от 1,0 до 999,9 м; пределы допускаемой абсолютной погрешности изерений длины пройденного пути ±(0,005 L + 0,1), м, где L-действительное значение измеряемой величины, м |
6.3.4 |
Имитаторы параметров движения транспортных средств «САПСАН ЗМ» литера 2, диапазон имитируемых скоростей движения от 1 до 400 км/ч, пределы допускаемой абсолютной погрешности имитации скорости ±0,03 км/ч, диапазон имитации расстояния до движущегося ТС от 2 до 150 м |
2.2 Применяемые при поверке средства измерений должны быть поверены,
исправны и иметь действующие свидетельства о поверке.
-
2.3 Допускается использование других эталонных средств измерений, не уступающих по точности указанным в таблице 2.
-
2.4 Вспомогательные средства поверки приведены в таблице 3.
Таблица 3
Наименование вспомогательного средства поверки |
Обозначение |
Переносной компьютер |
- |
Метки дорожные (имитирующие объект фиксации) или контрольное ТС |
• |
Тренога (кронштейн) для установки лазерного дальномера |
- |
Линейка |
- |
-
3.1 К проведению поверки могут быть допущены лица, аттестованные в качестве поверителей, имеющие высшее или среднее техническое образование, ознакомленные с данной методикой поверки, руководством по эксплуатации поверяемого комплекса и используемыми средствами поверки.
-
4.1 Во время подготовки к поверке и при ее проведении необходимо соблюдать правила дорожного движения, правила техники безопасности и производственной санитарии в электронной промышленности, правила техники безопасности при эксплуатации электроустановок и требования, установленные технической документацией на используемые при поверке образцовые и вспомогательные средства поверки.
При проведении поверки должны соблюдаться следующие условия:
-
5.1 Поверка производится при условиях:
температура окружающего воздуха от минус 30 °C до 50 °C,
относительная влажность от 30 до 80 %, атмосферное давление от 84 до 106 кПа.
-
5.2 Поверка производится аккредитованными организациями в установленном порядке.
-
6 Проведение поверки
6.1. Внешний осмотр
-
6.1.1 Отсутствие деформаций и трещин корпусов модулей.
-
6.1.2 Целостность пломб, соответствие заводского номера, указанному в формуляре.
Результаты поверки считать положительными, если нет механических повреждений, места нанесений пломбы не повреждены, заводской номер соответствует указанному в формуляре.
В противном случае комплекс признается непригодным к применению и направляется в ремонт.
-
6.2 Опробование
-
6.2.1 Опробование работы комплекса включает проверку его работоспособности и идентификацию ПО в режиме поверки.
Привести в рабочее состояние комплекс и перевести в режим поверки согласно руководству по эксплуатации.
На экране модуля отображения проверить наличие фиксации объектов и сопутствующие данные.
Перейти в вкладку «идентификационные данные», в появившемся окне сверить идентификационные признаки ПО с приведенными в таблице 4.
Результаты поверки по данному пункту считаются положительными, если на экране модуля отображения передаётся фотография и сопутствующие данные по транспортному средству. Идентификационные признаки ПО соответствуют приведенным в таблице 4.
Таблица 4
Идентификационные данные (признаки) |
Значение |
Идентификационное наименование ПО |
Strelka360 |
Номер версии (идентификационный номер) ПО |
не ниже 3.00.01 |
Цифровой идентификатор ПО (контрольная сумма исполняемого кода) |
• |
В противном случае комплекс признается непригодным к применению и направляется в ремонт.
-
6.3 Определение метрологических характеристик
-
6.3.1 Определение погрешности (по уровню вероятности 0,95) определения координат местоположения объектов по каждой координатной оси при работе по сигналам ГЛОНАСС/GPS, при геометрическом факторе PDOP не более 3
-
6.3.1.1 Установить метку дорожную или контрольное ТС вдоль проезжей части, так, чтобы ТС с установленным комплексом имело возможность проезда мимо контрольного ТС или метки для фиксации.
Расположить антенну GNSS-приемника спутникового геодезического многочастотного ALPHA-G3T рядом с меткой дорожной (на расстоянии 10±2 см) или в салоне контрольного ТС.
Провести измерения GNSS-приемником спутниковым геодезическим многочастотным ALPHA-G3T в течение 30 минут. Определить координаты по результатам измерений в соответствии с руководством по эксплуатации.
Одновременно с этими провести измерения координат дорожной метки или контрольного ТС с помощью комплекса «Стрелка-360» следующим образом.
-
6.3.1.2 Перевести комплекс в режим поверки.
Для мобильного исполнения - не менее 5 раз проехать на ТС с установленным комплексом мимо контрольного ТС или дорожной метки, фиксация комплексом проводится в автоматическом режиме.
Для стационарного исполнения - зафиксировать комплексом контрольное ТС или дорожную метку не менее 5 раз. фиксация комплексом проводится в автоматическом режиме.
Снять данные с комплекса, убедиться, что в пакете данных по каждому событию имеется фотография распознанного номера ТС, панорамная фотография и фотография ТС с сопутствующими данными.
Усреднить значения координат, фиксируемых комплексом, не менее чем по 5 отсчетам.
-
6.3.1.3 Определить систематическую составляющую погрешности определения координат по формулам (1), (2), например, для координаты В (широты):
Л-yXW. (2)
где В(])эп - значение координаты В в j-ый момент времени, определенное приемником геодезическим;
B(j) - значение координаты В в j-ый момент времени, определенная комплексом; N- количество измерений.
Аналогичным образом определить систематическую составляющую погрешности определения координаты L (долготы).
-
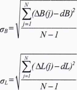
6.1.3.4 Определить среднее квадратическое отклонение (СКО) случайной составляющей погрешности определения широты и долготы по формулам (3), (4):
(3)
(4)
-
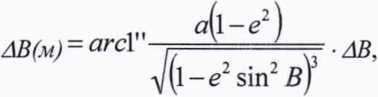
6.1.3.5 Перевести значения погрешностей определения координат в плане (широты и долготы) из угловых секунд в метры по формулам (4), (5):
- для широты:
- для долготы:

AL(m)=
агс\"
а(1 -e2)cosB
7(1 -е2 sin2 7?)
■4L,
-
(5)
-
(6)
где а - большая полуось эллипсоида (ПЗ-90.11:а = 6378136 м);
е - первый эксцентриситет эллипсоида (ПЗ-90.11: е2 = 6,6943662 -10'3); 1" = 0,000004848136811095359933 радиан (агеГ').
-
6.1.3.6 Определить погрешности (с доверительной вероятностью 0,95) определения координат (широты и долготы), в соответствии с формулами (7), (8):
nB=+(\dB\ + 2aB). (7)
llL = ±(|<й,| + 2ст£). (8)
-
6.1.3.7 Результаты поверки считать положительными если значения погрешности (по уровню вероятности 0,95) определения координат местоположения объектов по каждой координатной оси при работе по сигналам ГЛОНАСС/GPS, при геометрическом факторе PDOP не более 3, находятся в пределах ±3 м.
В противном случае комплекс признается непригодным к применению и направляется в ремонт.
-
6.3.2 Определение абсолютной погрешности синхронизации шкалы времени комплексов относительно национальной шкалы времени UTC(SU)
-
6.3.2.1 Определение абсолютной погрешности синхронизации шкалы времени комплекса относительно национальной шкалы времени UTC(SU) с помощью приемника сигналов глобальных навигационных спутниковых систем ГЛОНАСС/GPS - источник первичный точного времени УКУС-ПИ 02ДМ.
-
6.3.2.1.1 Подключить приемник к COM-порту персонального компьютера с предварительно установленным программным обеспечением (например, Terminal) для вывода на экран значений текущего времени. Включить приемник в соответствии с его инструкцией по эксплуатации и добиться появления на экране компьютера значения времени UTC(SU) (Тэ).
-
6.3.2.1.2 Зафиксировать комплексом экран компьютера с временем UTC(SU) таким образом, чтобы на экране четко отображалось время.
-
6.3.2.1.3 Рассчитать абсолютную погрешность синхронизации шкалы времени комплекса относительно национальной шкалы времени UTC(SU), учитывая временные пояса, по формуле:
(9)
где: Тк - текущее время комплекса,
Тэ- время приемника сигналов.
Повторить пп. 6.3.2.1.2 - 6.3.2.1.2 не менее 5 раз.
6.3.2.2 Результаты проверки считать положительными, если значение абсолютной погрешности синхронизации шкалы времени комплекса относительно национальной шкалы времени UTC(SU) находятся в пределах ±2 с.
В противном случае комплекс признается непригодным к применению и направляется в ремонт.
-
6.3.3 Определение абсолютной погрешности измерений расстояния до объектов
-
6.3.3.1 Привести комплекс в рабочее состояние согласно руководству по эксплуатации, перевести комплекс в режим поверки.
-
6.3.3.2 Установить метку дорожную или контрольное ТС перед автомобилем, на котором установлен комплекс, на расстоянии 5-10 метров. Провести контрольное измерение расстояния S3i от видеомодуля до метки дорожной или контрольного ТС с помощью курвиметра дорожного.
Измерить расстояние до метки дорожной или контрольного ТС комплексом Si;
Рассчитать абсолютную погрешность измерений расстояния по формуле (10)
AS = Si-S,i (10)
-
6.3.3.3 Отъехать назад на автомобиле или перенести метку дорожную на 10-20 метров. Провести контрольное измерение расстояния S32 от видео модуля до метки дорожной
или контрольного ТС с помощью курвиметра дорожного.
Измерить расстояние до метки дорожной или контрольного ТС комплексом S2; Рассчитать абсолютную погрешность измерений расстояния по формуле (11)
AS = S2-S32 (И)
-
6.3.3.4 Отмерить курвиметром дорожным и установить контрольное ТС или метку дорожную на расстоянии равном максимальному значению диапазона измерений расстояний до объектов Бэз:
-
- для мобильного исполнения комплексов S33 = 50 м;
-
- для стационарного исполнения комплексов S33 = 150 м.
Измерить расстояние до метки дорожной или контрольного ТС комплексом S3; Рассчитать абсолютную погрешность измерений расстояния по формуле (12)
AS = S3-S33 (12)
-
6.3.3.5 Повторить операции для каждого видео модуля.
-
6.3.3.6 Результаты проверки считать положительными, если значения абсолютной погрешности измерений расстояния до метки дорожной или контрольного ТС, для каждой пары измерений, находятся в пределах ±1 м.
В противном случае комплекс признается непригодным к применению и направляется в ремонт.
6.3.4 Определение абсолютной погрешности измерений скорости движения ТС Определение абсолютной погрешности измерений скорости движения ТС производится для комплексов в мобильном исполнении, укомплектованных 3DM модулем.
-
6.3.4.1 Размесить в зоне контроля комплексов метку' с ГРЗ. Размещение метки ГРЗ должно удовлетворять условиям эксплуатации применяемого имитатора.
-
6.3.4.2 Разместить рядом с ГРЗ имитатор «САПСАН ЗМ». Подключить имитатор к внешнему компьютеру и подготовить к работе.
-
6.3.4.3 Установить имитируемую скорость равную 1 км/ч.
-
6.3.4.4 Снять показание скорости, указанное на модуле отображения комплекса.
-
6.3.4.5 Провести измерение значений скорости для ряда имитируемых скоростей 20, 90, 180, 250, 300,350 км/ч.
-
6.3.4.6 Рассчитать для имитируемых скоростей абсолютную погрешность измерения скорости ТС по формуле (13):
AVi=VKi-V3i, (13)
где V3i - имитируемая скорость ТС из ряда 1, 20. 90, 180, 250, 300, 350 км/ч.
Vki - скорость ТС, измеренная системой при имитируемой скорости Vai;
-
6.3.4.7 Результаты поверки считать положительными, если значения абсолютной погрешности измерений скорости движения ТС радиолокационным методом находятся в пределах ±1 км/ч.
-
7.1 На комплекс, прошедший поверку с положительными результатами, выдается свидетельство о поверке по форме, установленной приказом Минпромторга России № 1815 от 02.07.2015.
-
7.2 При отрицательных результатах поверки комплекс к применению не допускается, свидетельство о поверке аннулируется и на него выдается извещение о непригодности к применению в соответствии с приказом Минпромторга России № 1815 от 02.07.2015.
В.И. Добровольский
Начальник НИО-6
ФГУП «ВНИИФТРИ»
9