Методика поверки «Аппаратура геодезическая спутниковая PrinCe i90» (МП АПМ 57-19)
УТВЕРЖДАЮ
Генеральный директор

16» декабря 2019 г.
«Автопрогресс-М»
А.С. Никитин
Аппаратура геодезическая спутниковая PrinCe i90
МЕТОДИКА ПОВЕРКИ МП АПМ 57-19г. Москва,
2019 г.
Настоящая методика поверки распространяется на аппаратуру геодезическую спутниковую PrinCe i90. производства «Shanghai Ниасе Navigation Technology Ltd». КНР (далее - аппаратуру) и устанавливает методик)' ее первичной и периодической поверки.
Интервал между поверками - 1 год.
1 Операции поверки
При проведении поверки должны выполняться операции, указанные в таблице 1. Таблица 1 - Операции поверки
№ п/п |
Наименование операции |
№ пункта документа по поверке |
Проведение операций при | |
первичной поверке |
периодической поверке | |||
1 |
Внешний осмотр |
7.1 |
Да |
Да |
2 |
Опробование |
7.2 |
Да |
Да |
3 |
Определение метрологических характеристик |
7.3 | ||
3.1 |
Определение абсолютной и средней квадратической погрешностей измерений длин базисов в режимах «Статика», «Быстрая статика» |
7.3.1 |
Да |
Да |
3.2 |
Определение абсолютной и средней квадратической погрешностей измерений длин базисов в режимах «Кинематика». «Кинематика в реальном времени (RTK)» |
7.3.2 |
Да |
Да |
3.3 |
Определение абсолютной и средней квадратической погрешностей измерений длин базисов в режиме «Кинематика в реальном времени (RTK)» с учетом угла наклона |
1.5.5 |
Да |
Да |
3.4 |
Определение абсолютной и средней квадратической погрешностей измерений длин базисов в режиме «Дифференциальные кодовые измерения (DGPS)» |
7.3.4 |
Да |
Да |
2 Средства поверки
При проведении поверки должны применяться эталоны и вспомогательные средства поверки, приведенные в таблице 2 Таблица 2 - Средства поверки
№ пункта документа по поверке |
Наименование эталонов, вспомогательных средств поверки и их основные метрологические и технические характеристики |
7.1 |
Эталоны не применяются |
7.2 | |
7.3.1 |
Фазовый светодальномер (тахеометр) или эталонный базисный комплекс 2 разряда в соответствии с Государственной поверочной схемой для координатно-временных средств измерений, утверждённой Приказом Росстандарта от 29.12.2018 г. №2831; Рулетка измерительная металлическая UM3M (per. № 67910-17) |
7.3.2 | |
7.3.3 |
Фазовый светодальномер (тахеометр) или эталонный базисный комплекс 2 разряда в соответствии с Государственной поверочной схемой для координатно-временных средств измерений, утверждённой Приказом Росстандарта от 29.12.2018 г. №2831; Рулетка измерительная металлическая UM3M (per. № 67910-17) Квадрант оптический КО-60М. ±120°. ПГ ±30" (per. №26905-04) |
7.3.4 |
Фазовый светодальномер (тахеометр) или эталонный базисный |
э
комплекс 2 разряда в соответствии с Государственной поверочной схемой для координатно-временных средств измерений, утверждённой Приказом Госстандарта от 29.12.2018 г. №2831; Рулетка измерительная металлическая UM3M (per. № 67910-17)
Допускается применять другие средства поверки, обеспечивающие определение метрологических характеристик с точностью, удовлетворяющей требованиям настоящей методики поверки.
3 Требования к квалификации поверителей
К проведению поверки допускаются лица, изучившие эксплуатационные документы на аппаратуру, имеющие достаточные знания и опыт работы с ней.
4 Требования безопасности
При проведении поверки, меры безопасности должны соответствовать требованиям по технике безопасности согласно эксплуатационной документации на аппаратуру и поверочное оборудование, правилам по технике безопасности, действующим на месте проведения поверки, а также правилам по технике безопасности при производстве топографо-геодезических работ ПТБ-88 (Утверждены коллегией ГУГК при СМ СССР 09.02.1989 г.. № 2/21).
5 Условия поверки
При проведении поверки должны соблюдаться, следующие условия измерений:
- температура окружающей среды, °C (от -45 до +75)
Полевые измерения (измерения на открытом воздухе) должны проводиться при отсутствии осадков, порывов .
6 Подготовка к поверке
Перед проведением поверки должны быть выполнены следующие подготовительные работы:
-
- проверить наличие действующих свидетельств о поверке на эталонные средства измерений:
-
- аппаратуру и средства поверки привести в рабочее состояние в соответствии с их эксплуатационной документацией.
-
- аппаратура должна быть установлена на специальных основаниях (фундаментах) или штативах, не подвергающихся механическим (вибрация, деформация, сдвиги) и температурным воздействиям.
-
7 Проведение поверки
7.1 Внешний осмотр
При внешнем осмотре должно быть установлено соответствие аппаратуры следующим требованиям:
-
- отсутствие механических повреждений и других дефектов, влияющих на эксплуатационные и метрологические характеристики аппаратуры;
-
- наличие маркировки и комплектность, согласно требованиям эксплуатационной документации на аппаратуру.
7.2 Опробование
-
7.2.1 При опробовании должно быть установлено соответствие аппаратуры следующим требованиям:
-
- отсутствие качки и смещений неподвижно соединенных деталей и элементов аппаратуры;
-
- правильность взаимодействия с комплектом принадлежностей;
-
- работоспособность всех функциональных режимов.
-
7.2.2 Проверку идентификационных данных программного обеспечения (далее - ПО) проводить следующим образом:
-
- для идентификации ПО «LandStar 7», установленного на контроллер, следует запустить ПО. перейти на вкладку «Настройки», открыть меню «ПО». Номер версии высвечивается в первой строке данного меню;
-
- для идентификации МПО «update_i90_v2.0.7_b20190617.bin», установленного в аппаратуру, следует запустить аппаратуру, затем нажать кнопку «Fn» для выбора меню «Info» затем нажать кнопку «Питание».. Номер версии высветится в строке «Version»;
-
- для идентификации ПО «СНС Geomatics Office», установленного на ПК. необходимо запустить ПО. в главном экране выбрать вкладку «Поддержка», затем выбрать пункт «О программе».
Номер версии должен соответствовать данным приведенным в таблице 3. Таблица 3
Идентификационные данные (признаки) |
Значение | ||
Идентификационное наименование ПО |
update i90 v2.0.7 b20190617.bin ’ |
LandStar 7 |
CHC Geomatics Office |
Номер версии (идентификационный номер ПО), не ниже |
2.0.7 |
7.3.3.20191011 |
2.1.0.699 |
7.3 Определение метрологических характеристик
7.3.1 Определение абсолютной и средней квадратической погрешностей измерений длин базисов в режимах «Статика», «Быстрая статика»
Абсолютная и средняя квадратическая погрешности измерений длин базисов в режиме «Статика», «Быстрая статика» определяются путем многократных измерений (не менее 5) эталонного базисного комплекса 2 разряда или контрольной длины базиса, определённой фазовым светодальномером (тахеометром) 2 разряда в соответствии с Государственной поверочной схемой для координатно-временных средств измерений, утверждённой Приказом Госстандарта от 29.12.2018 г. №2831 и действительное значение которого расположено в диапазоне от 0 до 30.0 км.
Установить поверяемую аппаратуру над центрами пунктов базиса и привести ее спутниковые антенны к горизонтальной плоскости.
Измерить высоту' установки антенн аппаратуры с помощью рулетки.
Включить аппаратуру и настроить ее на сбор данных (измерений) в соответствующем режиме измерений согласно требованиям руководства по эксплуатации.
Убедиться в правильности функционирования и отсутствии помех приему сигнала со спутников.
Провести измерения на поверяемой аппаратуре при условиях, указанных в таблице 4 настоящей методики.
Выключить аппаратуру согласно требованиям руководства по эксплуатации.
При использовании контрольных длин базиса, ещё раз измерить эталонным тахеометром их значения. Результат измерений не должен отличаться от значения L, , полученного до начала съёмки аппаратурой, более чем на величину погрешности, приписанную эталонному дальномеру. В случае если измеренная длина отличается от значения Г, , полученного до начала съёмки аппаратурой, более чем на величину погрешности, необходимо повторить съёмку аппаратурой заново.
Провести обработку данных с использованием штатного ПО к аппаратуре.
Абсолютная погрешность измерений каждой длины базиса (при доверительной вероятности 0.95) определяется как сумма систематической и случайной погрешностей по формуле:
th | |
где АЛ, - погрешность измеренийу длины базиса в плане/по высоте, мм:
А, - эталонное значение/ длины базиса в плане/по высоте, мм:
- измеренное поверяемой аппаратурой значение j длины базиса / измерением в плане/по высоте, мм:
- число измерений j длины базиса.
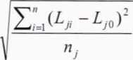
Средняя квадратическая погрешность измерений каждой из длин базиса определяется по
формуле:
т

где т ■ - средняя квадратическая погрешность измерений j длины базиса.
Значения абсолютной погрешности (при доверительной вероятности 0.95) и средней квадратической погрешности измерений для каждой из длин базиса в режимах «Статика», «Быстрая статика» не должны превышать значений, указанных в Приложении А к настоящей методике поверки.
7.3.2 Определение абсолютной и средней квадратической погрешностей измерений длин базисов в режимах «Кинематика», «Кинематика в реальном времени (RTK)»
Абсолютная и средняя квадратическая погрешности измерений длин базисов в режимах «Кинематика». «Кинематика в реальном времени (RTK)» определяются путем многократных измерений (не менее 10) эталонного базисного комплекса 2 разряда или контрольной длины базиса, определённой фазовым светодальномером (тахеометром) 2 разряда в соответствии с Государственной поверочной схемой для координатно-временных средств измерений, утверждённой Приказом Госстандарта от 29.12.2018 г. №2831 и действительное значение которого расположено в диапазоне от 0 до 30.0 км.
Установить поверяемую аппаратуру над центрами пунктов базиса и привести ее спутниковые антенны к горизонтальной плоскости.
Измерить высоту’ установки антенн аппаратуры с помощью рулетки.
Включить аппаратуру и настроить ее на сбор данных (измерений) в соответствующем режиме измерений согласно требованиям руководства по эксплуатации.
Измерить высоту установки антенн аппаратуры с помощью рулетки.
Убедиться в правильности функционирования и отсутствии помех приему сигнала со спутников.
Провести измерения на поверяемой аппаратуре при условиях, указанных в таблице 4 настоящей методики.
Выключить аппаратуру согласно требованиям руководства по эксплуатации.
При использовании контрольной длины базиса, ещё раз измерить эталонным дальномером её значения. Результат измерений не должен отличаться от значения L. , полученного до начала съёмки аппаратурой, более чем на величину погрешности, приписанную эталонному дальномеру. В случае если измеренная длина отличается от значения £, полученного до начала съёмки аппаратурой, более чем на величину погрешности, необходимо повторить съёмку аппаратурой заново.
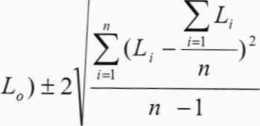
Абсолютная погрешность измерений длины базиса (при доверительной вероятности 0.95) определяется как сумма систематической и случайной погрешностей по формуле:
п

где АЛ - погрешность измерений длины базиса в плане/по высоте, мм:
Lq - эталонное значение длины базиса в плане/по высоте, мм;
Л, - измеренное аппаратурой значение длины базиса i измерением в плане/по
высоте, мм:
п - число измерений длины базиса.
Средняя квадратическая погрешность измерений длины базиса определяется по формуле:

и

где т - средняя квадратическая погрешность измерений длины базиса.
Значения абсолютной погрешности (при доверительной вероятности 0.95) и средней квадратической погрешности измерений длины базиса в режимах «Кинематика». «Кинематика в реальном времени (RTK)» не должны превышать значений, указанных в Приложении А к настоящей методике поверки.
7.3.3 Определение абсолютной и средней квадратической погрешностей измерений длин базисов в режиме «Кинематика в реальном времени (RTK)» с учетом угла наклона
Абсолютная и средняя квадратическая погрешности измерений длин базисов в режимах «Кинематика». «Кинематика в реальном времени (RTK)» определяются путем многократных измерений (не менее 10) эталонного базисного комплекса 2 разряда или контрольной длины базиса, определённой фазовым светодальномером (тахеометром) 2 разряда в соответствии с Государственной поверочной схемой для координатно-временных средств измерений, утверждённой Приказом Госстандарта от 29.12.2018 г. №2831 и действительное значение которого расположено в диапазоне от 0 до 30.0 км.
Установить испытываемые образцы аппаратуры над центрами пунктов, расположенных на концах эталонного базиса и привести аппаратуру к горизонтальной плоскости. Один из образцов аппаратуры необходимо установить на веху.
Измерить высоту7 установки антенн аппаратуры с помощью рулетки.
Включить аппаратуру и настроить ее на сбор данных (измерений) в соответствующем режиме измерений согласно требованиям руководства по эксплуатации.
Убедиться в правильности функционирования и отсутствии помех приему сигнала со спутников.
Наклоняя один из образцов аппаратуры в диапазоне от 0 до 85 °, не менее, чем в 5, фиксируемых при помощи квадранта, точках, провести одновременные измерения расстояния на образцах аппаратуры при условиях, указанных в таблице 4 настоящей методики поверки.
Затем вернуть наклоненный образец в горизонтальное положение.
Повернуть на 120° в горизонтальной плоскости.
Повторить процедуру 3 раза, до возвращения наклоненного образца в исходное положение.
Выключить аппаратуру согласно требованиям руководства по эксплуатации.
При использовании контрольной длины базиса, ещё раз измерить тахеометром её значения. Результат измерений не должен отличаться от значения , полученного до начала съёмки аппаратурой, более чем на величину погрешности, приписанную тахеометру. В случае если измеренная длина отличается от значения Lf , полученного до начала съёмки аппаратурой, более чем на величин}' погрешности, необходимо повторить съёмку аппаратурой заново.
Провести обработку данных с использованием штатного ПО к аппаратуре.
Абсолютная погрешность измерений длины базиса (при доверительной вероятности 0.95) определяется как сумма систематической и случайной погрешностей по формуле:
ДА = (-^
п
Ел
1=1
п

где ДА - погрешность измерений длины базиса в плане/по высоте, мм:
/о - эталонное значение длины базиса в плане/по высоте, мм:
А; - измеренное аппаратурой значение длины базиса i измерением в плане/по
высоте, мм:
п - число измерений длины базиса.
Средняя квадратическая погрешность измерений длины базиса определяется по формуле:
т

где т - средняя квадратическая погрешность измерений длины базиса.
Значения абсолютной погрешности (при доверительной вероятности 0.95) и средней квадратической погрешности измерений длины базиса в режиме «Кинематика в реальном времени (RTK)» с учетом угла наклона должны соответствовать значениям, приведенным в Приложении А к настоящей методике поверки.
-
7.3.4 Определение абсолютной погрешности и средней квадратической погрешности измерений длин базисов в режиме «Дифференциальные кодовые измерения (DGPS)»
Абсолютная и средняя квадратическая погрешности измерений длин базисов в режиме «Дифференциальные кодовые измерения (DGPS)» определяются путем многократных измерений (не менее 10) эталонного базисного комплекса 2 разряда или контрольной длины базиса, определённой фазовым светодальномером (тахеометром) 2 разряда в соответствии с Государственной поверочной схемой для координатно-временных средств измерений, утверждённой Приказом Росстандарта от 29.12.2018 г. №2831 и действительное значение которого расположено в диапазоне от 0 до 30.0 км.
Установить поверяемую аппаратуру над центрами пунктов базиса и привести ее спутниковые антенны к горизонтальной плоскости.
Измерить высоту' установки антенн аппаратуры с помощью рулетки.
Включить аппаратуру и настроить ее на сбор данных (измерений) в соответствующем режиме измерений согласно требованиям руководства по эксплуатации.
Убедиться в правильности функционирования и отсутствии помех приему сигнала со спутников.
Провести измерения на поверяемой аппаратуре при условиях, указанных в таблице 4 настоящей методики.
Выключить аппаратуру согласно требованиям руководства по эксплуатации.
При использовании контрольной длины базиса, ещё раз измерить эталонным тахеометром её значения. Результат измерений не должен отличаться от значения А. , полученного до начала съёмки аппаратурой, более чем на величину погрешности, приписанную эталонному дальномеру. В случае если измеренная длина отличается от значения Ау , полученного до начала съёмки аппаратурой, более чем на величину погрешности, необходимо повторить съёмку7 аппаратурой заново.
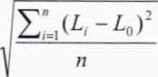
Абсолютная погрешность измерений длины базиса (при доверительной вероятности 0,95) определяется как сумма систематической и случайной погрешностей по формуле:
п
Ед
ДА = (——
л

где АЛ - погрешность измерений длины базиса в плане/по высоте, мм;
Д) - эталонное значение длины базиса в плане/по высоте, мм:
Л(. - измеренное аппаратурой значение длины базиса i измерением в плане/по высоте, мм:
п - число измерений длины базиса.
Средняя квадратическая погрешность измерений длины базиса определяется по формуле:
Значения абсолютной погрешности (при доверительной вероятности 0.95) и средней квадратической погрешности измерений длины базиса в режиме «Дифференциальные кодовые измерения (DGPS)» не должны превышать значений, указанных в Приложении А к настоящей методике поверки.
Таблица 4
Режим измерений |
Кол-во спутников, шт. |
Время измерений, мин |
Интервал между эпохами, с. |
Статика. Быстрая статика |
>6 |
от 20 до 60 |
1 |
Кинематика. Кинематика в реальном времени (RTK) |
от 0.05 до 0.20 | ||
Дифференциальные кодовые измерения (DGPS)» | |||
Поверка проводится при устойчивом закреплении поверяемой аппаратуры, открытом небосводе, отсутствии электромагнитных помех и многолучевого распространения сигнала спутников, а также при хорошей конфигурации спутниковых группировок. |
8 Оформление результатов поверки
-
8.1. Результаты поверки оформляются протоколом, составленным в виде сводной таблицы результатов поверки по каждому пункту раздела 7 настоящей методики поверки с указанием числовых значений результатов измерений и их оценки по сравнению с допускаемыми значениями.
-
8.2. При положительных результатах поверки, аппаратура признается годной к применению и на нее выдается свидетельство о поверке установленной формы. Знак поверки наносится на свидетельство о поверке в виде наклейки и (или) доверительного клейма.
-
8.3. При отрицательных результатах поверки, аппаратура признается непригодной к применению и на нее выдается извещение о непригодности установленной формы с указанием основных причин.
Руководитель отдела ООО «Автопрогресс - М»

К.А. Ревин
(Обязательное)
Метрологические характеристикиТаблица А.1 - Метрологические характеристики
Наименование характеристики |
Значение |
Диапазон измерений длины базиса, м |
от 0 до 30000 |
Границы допускаемой абсолютной погрешности измерений длины базиса (при доверительной вероятности 0.95) в режимах, мм:
|
±2-(2.5+0,510'6D) ±2-(5,0+0,510’6D) ±2(8+110'6D) ±2-(15+l-10'6D) ±2(13+110‘4D+0,7a) ±2-(18+l-10'6-D+0,7-a) ±2-(250+l-10'6-D) ±2 (500+1 10‘6D), где D - измеряемое расстояние в мм. a - угол наклона аппаратуры в градусах |
Допускаемая средняя квадратическая погрешность измерений длины базиса в режиме, мм:
|
2,5+о,5Ю*т> 5,0+0,510^-D 8+l-10‘6D 15+1-10® Е> 13+l-10’6-D+0,7-a 18+l-10'6-D+0,7-a 250+1 10'6 D 500+1 10’6D, где D - измеряемое расстояние в мм, a - угол наклона аппаратуры в градусах |
* - допускается наклон от 0 до 85 ° |