Методика поверки « Государственная система обеспечения единства измерений ИЗМЕРИТЕЛИ ОТКЛОНЕНИЙ ОТ ПРЯМОЛИНЕЙНОСТИ «ЛАЗЕРНАЯ СТРУНА ЛС-1»» (MП 13-233-2018)
Федеральное агентство по техническому регулированию и метрологии
Федеральное государственное унитарное предприятие
«Уральский научно-исследовательский институт метрологии» (ФГУП «УГГИ ИМ»)
Государственная система обеспечения единства измерений ИЗМЕРИТЕЛИ ОТКЛОНЕНИЙ ОТ ПРЯМОЛИНЕЙНОСТИ
«ЛАЗЕРНАЯ СТРУНА ЛС-1»
Методика поверки
МП 13-233-2018
Екатеринбург 2018
Предисловие-
1 Разработана: ФГУП «УНИИМ»
-
2 Исполнители: Зав. лабораторией 233
Зам. зав. лабораторией 233
-
3 Утверждена: ФГУП «УНИИМ» «___» _
Шимолин Ю.Р.
Трибушевская Л.А.
2018 г.
Содержание
Дата введения - «____»____________________2018 г.
1 ОБЛАСТЬ ПРИМЕНЕНИЯ-
1.1 Настоящая методика распространяется на измерители отклонений от прямолинейности «Лазерная струна ЛС-1» (далее - ЛС-1) производства АО «ГОИ им. С.И. Вавилова», г. Санкт-Петербург, Россия, и устанавливает объем и последовательность операций их первичной и периодической поверок.
-
1.2 Интервал между поверками - два года.
В настоящей методике использовались ссылки на следующие документы:
ГОСТ 8.420-2002 ГСИ. Государственная поверочная схема для средств измерений отклонений от прямолинейности и плоскостности.
ГОСТ 3749-77 Угольники поверочные 90°. Технические условия.
ГОСТ 9038-90 Меры длины концевые плоскопараллельные. Технические условия
ГОСТ Р 55878-2013 Спирт этиловый технический гидролизный ректификованный. Технические условия.
Приказ Минпромторга России от 02.07.2015 N 1815 «Об утверждении Порядка проведения поверки средств измерений, требования к знаку поверки и содержанию свидетельства о поверке».
Примечание - При использовании настоящей методики целесообразно проверить действие ссылочных документов на 1 января текущего года. Если ссылочный документ заменен (изменен), то при пользовании настоящей методикой следует руководствоваться замененным (измененным) документом. Если ссылочный документ отменен без замены, то раздел, в котором дана ссылка на него, применяется в части, не затрагивающей эту ссылку.
3 ОПЕРАЦИИ И СРЕДСТВА ПОВЕРКИ-
3.1 При проведении поверки, в зависимости от комплектации, должны быть выполнены операции, указанные в таблице 1.
Таблица 1 - Операции поверки
|
Наименование операции |
Номер пункта методики |
Обязательность проведения операций при: | |
|
первичной поверке |
периодической поверке | ||
|
Внешний осмотр и проверка комплектности |
6.1 |
Да |
Да |
|
Опробование |
6.2 |
Да |
Да |
|
Проверка барабанов отсчетного устройства магнитной подставки приемной системы. |
6.3 |
Да |
Нет |
|
Проверка цены деления шкалы, диапазона измерений и погрешности отсчетного устройства микрометрических винтов магнитной подставки |
6.4 |
Да |
Нет |
|
Проверка цены деления шкалы, диапазона измерений и погрешности фотоэлектрического отсчётного устройства |
6.5 |
Да |
Нет |
|
Проверка параллельности оси лазерного пучка образующей корпуса лазерной трубы |
6.6 |
Да |
Нет |
|
Определение погрешности ЛС-1 |
6.7 |
Да |
Да |
3.2 По заявлению владельца допускается поверка ЛС-1 в ограниченном диапазоне расстоя
ний с указанием в свидетельстве о поверке.
-
3.3 При проведении поверки должны применяться средства поверки, указанные в таблице 2.
-
3.4 Допускается применение средств поверки, отличающихся от приведенных в таблице 2, но обеспечивающих определение метрологических характеристик ЛС-1 с требуемой точностью.
Таблица 2 - Средства поверки
|
Номер пункта методики |
Наименование эталонного средства измерений или вспомогательного средства поверки, номер документа, регламентирующего технические требования к средству, его метрологические характеристики |
|
5 |
Термо гигрометр, диапазоны измерений: температура воздуха от +15 до +30 °C, ПГ ±1,0 °C; относительная влажность воздуха от 15 до 85 %, ПГ ±3,0 %. Барометр, диапазон измерений от 81 до 105 кПа, ПГ ±0,2 кПа. |
|
6.3 |
Щупы КТ 2 по ТУ 2-034-225-87 (регистрационный номер в Федеральном информационном фонде 369-89). |
|
6.4, 6.5 |
Металлический угольник УП КТ 2 по ГОСТ 3749 Микроскоп универсальный по ГОСТ 8074-82, диапазон измерений длины не менее 10 мм, Д±3 мкм. |
|
6.6 |
Призма поверочная и разметочная первого типа по ТУ 2-034-439-88 |
|
6.7 |
Рабочий эталон 2 разряда по ГОСТ 8.420 (микронивелир). |
3.5 Эталоны, применяемые для поверки, должны быть аттестованы и иметь действующие
свидетельства об аттестации, средства измерений - поверены и иметь действующие свидетельства о поверке.
4 ТРЕБОВАНИЯ БЕЗОПАСНОСТИ-
4.1 При переноске футляров с ЛС-1 необходимо пользоваться предназначенными для этого ручками.
-
4.2 При проведении поверки должны быть соблюдены требования, изложенные в руководствах по эксплуатации ЛС-1 и средств поверки.
5.1 При проведении поверки должны быть соблюдены следующие условия:
|
Температура окружающей среды, °C скорость изменения температуры в течение часа, °C, не более относительная влажность, %, не более |
от 19 до 21; 0,5; 80; |
атмосферное давление, кПа
от 94 до 104
-
5.2 В помещении не должно быть пыли, вибраций, паров кислот и щелочей.
-
5.3 Перед поверкой поверхности ЛС-1 протирают чистой мягкой салфеткой. Пыль с оптических поверхностей удаляют чистой кисточкой, жирные пятна - ватным тампоном, слегка смоченным в спирте ГОСТ Р 55878 или эфире петролейном по ТУ6-02-1244-83.
-
6 ПРОВЕДЕНИЕ ПОВЕРКИ
-
6.1.1 При проведении внешнего осмотра должно быть установлено соответствие ЛС-1 следующим требованиям: на наружных поверхностях вновь изготовленных ЛС-1 не должно быть дефектов, ухудшающих внешний вид; у ЛС-1, находящихся в эксплуатации, не должно быть дефектов, влияющих на работоспособность прибора; острые углы и кромки деталей должны быть притуплены; надписи, деления и цифры должны быть четкими; на поверхностях оптических деталей не должно быть выколок, царапин и точек, мешающих наблюдению, не допускается их расклейка.
-
6.1.2 Комплектность проверяют сличением с данными паспорта.
-
6.2.1 При опробовании ЛС-1 должно быть установлено соответствие следующим требованиям: все перемещения подвижных частей (перемещение и поворот ЛС-1 в установочном устройстве, разворот трубы визирной вокруг своей оси, вращение отсчетных барабанов должны проходить плавно, без заеданий; зажимные устройства должны обеспечивать надежную фиксацию частей ЛС-1.
-
6.2.2 Для проверки идентификационных данных программного обеспечения (ПО):
- запустить программное обеспечение согласно инструкции, изложенной в руководстве по эксплуатации;
МП 13-233-2018 идентификация ПО происходит при сравнении идентификационных данных метрологически значимой части ПО на мониторе персонального компьютера (ПК) и идентификационных данных ПО, представленных в таблице 3.
Таблица 3 - Идентификационные данные программного обеспечения
|
Идентификационные данные (признаки) |
Значение |
|
Идентификационное наименование ПО |
Отсчет |
|
Номер версии ПО |
не ниже 1.00 |
|
Цифровой идентификатор ПО |
c8c0b8af85cffbc276028ddfabed0fd8 |
|
Алгоритм вычисления контрольной суммы исполняемого кода |
MD5 |
-
6.2.3 Если данные ПО ЛС-1 не соответствует приведенным в таблице 3, ЛС-1 признают непригодной к применению, дальнейшие операции поверки не производят.
-
6.3.1 Проверку барабанов отсчетного устройства магнитной подставки производить опробованием от руки. Барабаны отсчетного устройства подставки должны обеспечивать плавный ход, без рывков и заеданий во всем диапазоне их работы. При вращении барабана отсчетного устройства не должно наблюдаться трения барабана о стебель.
-
6.3.2 Установить нулевой отсчет по шкале барабана. Ближайший штрих шкалы стебля при этом должен быть виден целиком. После этого вращением барабана совместить торец барабана с правым краем стебля и по шкале барабана снять отсчет. Вращением барабана совместить торец барабана с левым краем стебля и по шкале барабана снять отсчет. Разность отсчетов должна быть в пределах десяти делений.
-
6.3.3 Расстояние от стебля до верхнего края торца конической части барабана проверяют с помощью щупа (концевой меры номинальным размером 0,5 мм класса 2 по ГОСТ 9038). Щуп (меру) приложить к стеблю. Расстояние от стебля до верхнего края торца конической части барабана должно быть не более 0,5 мм.
-
6.4.1 Погрешность отсчетного устройства микрометрических винтов магнитной подставки определяют с помощью универсального измерительного микроскопа.
-
6.4.2 Проверку производить следующим образом:
а) Разместить на столе микроскопа поверяемую визирную систему в магнитной подставке в направлении продольного перемещения стола микроскопа (рисунок 1). На горизонтальном барабане микровинта поверяемого отсчётного устройства установить средний отсчёт 5,00. Направление перемещений микрометрических винтов должно быть параллельно направлениям штрихов окулярной сетки визирной системы.
б) Поместить прибор в магнитной подставке на жёсткой подставке на расстоянии один -два метра от поверяемого отсчётного устройства.
в) Включить лазер и винтами подставки направить луч лазера во входное окно визирного устройства.
г) Наблюдая в поле зрения окуляра визирного устройства изображение центрального пятна кольцевой структуры лазерного луча, вертикальным винтом подставки расположить центральное пятно точно в центре сетки окуляра, либо в центре сетки матрицы цифровой камеры.
д) Не менее трёх раз отсчитать по отсчетному барабану микроскопа среднее положение микровинта проверяемого отсчётного устройства в направлении продольного перемещения стола микроскопа.
е) Повернуть барабан микровинта поверяемого отсчётного устройства в сторону увеличения отсчётов на один оборот. Наблюдая поле зрения визирной системы, соответствующим барабаном микроскопа навести центр кольцевой структуры в центр сетки окуляра, снять отсчёты по барабану микроскопа.
ж) Повторить операцию по д) через каждый последующий оборот барабана поверяемого отсчетного устройства при прямом, а затем при обратном ходе, вращая винт в сторону уменьшения отсчётов.
з) Вычислить средние арифметические значения отсчётов по микроскопу р0> Pi, Р2 — Р10,на каждом обороте, после чего вычислить разности:
а± = р± — р0; а2 = р2 — Pi; ; а10 = р10 — р9 для каждой пары соседних значений Pj.
1 - ЛС-1; 2 - стол микроскопа; 3 - отсчетный барабан микроскопа;
4 - магнитная подставка с приемником; 5 - угольник
Рисунок 1 - Проверка отсчетного устройства микрометрических винтов магнитной под
ставки с помощью универсального измерительного микроскопа
и) Вычислить разности: Ь± = р4 — р0; Ь2= р5 — р0;Ь7 = р10 — р0 между средними арифметическими значениями отсчётов на каждом обороте и значением отсчёта при показании на барабане микровинта, равном 5,00 мм.
к) Вычисления провести отдельно для прямого и обратного ходов.
л) Разности щ должны иметь отклонения от 1,0 мм не более 0,005 мм.
м) Разность между показаниями на барабане микровинта и значениями должна быть не более 0,01 мм.
н) На стол микроскопа установить специальный угольник поверочный так, чтобы его грань, к которой примагничивается подставка, была перпендикулярна направлению продольного перемещения стола. Примагнитить подставку с визирной системой к указанной грани угольника поверочного так, чтобы ось визирной системы была выставлена в направлении продольного перемещения стола микроскопа.
о) На барабане вертикального микровинта поверяемого отсчётного устройства установить средний отсчёт 5,00. Направление перемещений микрометрических винтов должно быть совмещено с направлением линий окулярной сетки визирного отсчётного устройства, а в цифровой камере с измерительным направлением ПЗС матрицы.
п) Провести операции по б) - м) для вертикального отсчетного микровинта магнитной подставки.
-
6.4.3 Определение цены деления отсчетного устройства совместить с определением погрешности отсчетного устройства. Разность между нулевым и конечным отсчетами барабана микроскопа, деленная на число делений барабана поверяемого отсчетного устройства, должна соответствовать 0,01 мм для визирной системы.
-
6.4.4 Абсолютная погрешность отсчетных устройств магнитной подставки на всем диапазоне измерения от 0 до 10 мм должна находиться в пределах ±0,02 мм.
-
6.5.1 Погрешность отсчетного устройства определяют с помощью универсального измерительного микроскопа.
-
6.5.2 Проверку производить следующим образом:
а) Погрешность фотоэлектрического отсчётного устройства (цифровая камера ± ПК) определяют аналогичным для визирной системы образом, при этом направление перемещений микрометрических винтов должно быть параллельно измерительным направлениям ПЗС матрицы. Наблюдение кольцевой структуры проводят на экране ПК. Провести операции по пункту 6.4.2 а) -п) с цифровой камерой.
б) Установить с помощью ПО нулевое положение камеры в горизонтальном направлении. Для этого, наблюдая кольцевую структуру в поле зрения цифровой камеры на экране монитора ПК, винтами подставки расположить центральное пятно точно на линии сетки матрицы, либо в центре перекрестия. Не менее трёх раз отсчитать по барабану микровинта микроскопа и по показаниям на мониторе ПК нулевое положение в направлении продольного перемещения.
в) Микровинтом микроскопа установить в сторону увеличения от нулевого положения отсчёты: 1,0 мм и далее через 1,0 мм до - конечного значения пределов измерений цифровой камеры в горизонтальном направлении. Снять не менее трех раз отсчёты по показаниям ПК при прямом, а затем при обратном ходе микровинта микроскопа.
г) По показаниям на экране монитора ПК определить и занести в таблицу:
- средние арифметические значения отсчётов р0 р2... р10;
-разности аг= рг- р0-, а2= р2- ...; а10 = р10 - р9,
-разности Ьг= р4- ро, Ь2= р5- р0-,...; Ь7 = р10 - р0.
д) Вычисления провести отдельно для прямого и обратного ходов. Разности щ должны иметь отклонения от 1,0 мм не более 0,0005 мм. Разности Ь[ должны быть не более 0,005 мм.
е) Повернуть цифровую камеру в магнитной подставке вокруг оси на угол 90°.
ж) Выполнить операции по 6.5.2 а) - д) настоящей методики для вертикального направления цифровой камеры.
-
6.5.3 В каждом положении разность между средними арифметическими отсчетами микроскопа и цифровой камеры не должны отличаться более чем на 0,01 мм.
-
6.5.4 Абсолютная погрешность фотоэлектрического отсчётного устройства на всем диапазоне измерения от 0 до 10 мм должна находиться в пределах ±0,005 мм.
-
6.6.1 Установить на жёсткой плите инструментальную призму. Расположить на призме лазерную трубу таким образом, чтобы ось лазерной трубы была параллельна призматической выемке. Установить на расстоянии не менее одного метра от лазерной трубы навстречу ей магнитную подставку с цифровой камерой с ПЗС-приёмником. Подключить цифровую камеру к ПК с программой высокоточных измерений, включить лазер.
-
6.6.2 Наблюдая на экране монитора кольцевую структуру, привести барабанами отсчетного устройства подставки изображение центра кольцевой структуры в центр перекрестия. Развернуть лазерную трубку в призме вокруг своей оси последовательно на 90°, 180°, 270° и на 360°. Измерить не менее 5 раз максимальное смещение изображения центра кольцевой структуры (параметр L).
-
6.6.3 Результаты проверки признают положительными, если полученные результаты измерений смещений не превышают 0,02 мм.
-
6.7.1 Проверку рабочего расстояния от объектива до приемника производить с помощью рулетки измерительной и приемного устройства в магнитной подставке, входящего в комплектность. Устанавливают приемное устройство в крайние положения поля зрения: не более чем на 30 м, за нулевое положение принимается торец трубы. Убедиться, что техническая возможность снять показания имеется.
-
6.7.2 Пределы измерений отклонений от опорной прямой по отсчетному устройству проверяют перемещением приемного устройства в магнитной подставке в крайние положения поля зрения и снимают отсчеты по барабанам микровинтов. Разность отсчетов должна быть не менее:
-
- для визирной системы 10 мм,
-
- для цифровой камеры 6 мм.
-
6.7.3 Для определения среднего квадратического отклонения (СКО) погрешности наведения необходима подвижная платформа с площадкой для базирования на ней магнитной площадки с отсчётными микровинтами и протяженная контролируемая трасса.
-
6.7.4 Проверку для визирной системы производить следующим образом.
-
6.7.4.1 Установить лазерную трубу в магнитной подставке на жесткое основание и направить его выходное окно вдоль контролируемой трассы (рисунок 2).
-
6.7.4.2 Установить перед лазерной трубой подвижную платформу на расстояние 0,5 м от выходного окна прибора визирную систему в магнитной подставке с отсчётными микровинтами.
-
6.7.4.3 Включить прибор и выдержать его во включённом состоянии не менее 30 мин.
-
6.7.4.4 Винтами магнитных подставок прибора и визирной системы направить луч лазера во входное окно визирной системы.
-
6.7.4.5 Предварительно, наблюдая в окуляр, вращением микрометрического винта магнитной подставки с визирной системой, проверить параллельность направления перемещения центрального пятна кольцевой структуры с линией сетки окуляра (рисунок 3).

-
1 - ЛС-1; 2 —магнитная подставка с приемником
3 - контролируемая трасса
Рисунок 2 - Установка ЛС-1 при определении погрешности ЛС-1
Рисунок 3 - Поле зрения на экране ПК
6.7.4.6 Совместить центральное пятно светового пучка с центром перекрестия окуляра или с


соответствующим штрихом сетки окуляра. Снять отсчёт со шкалы барабана микрометрического

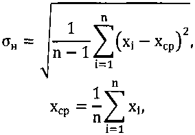
винта. Сбить настройку и повторно совместить центральное пятно со штрихом сетки окуляра. Повторно снять отсчет. Повторить указанную операцию не менее 10 раз. СКО погрешности наведения он ЛС-1 определяется по формулам:

(2)
где хср- среднее арифметическое значение полученных отсчетов, мм; Xj - i - ый отсчет по барабану отсчетного устройства, мм;
п - количество отсчетов.

Примечание - снятие отсчётов производить с точностью 0,5 цены деления отсчётного устройства, а округление величин хср и стн2 вести до третьего знака после запятой.
-
6.7.4.7 Переместить платформу с визирной системой последовательно на расстояния 1 м, 5 м, 10 м, 20 м, 30 м, и повторить 6.7.4.4 - 6.7.4.6.
-
6.7.4.8 Наведение центрального пятна кольцевой структуры лазерного луча возможно не в центр, а на соответствующий штрих перекрестия окуляра.
-
6.7.4.9 Подводить изображение центрального пятна лазерного луча необходимо с одной стороны, для исключения погрешности от люфта отсчётного механизма.
-
6.7.4.10 Значение СКО погрешности наведения для указанных выше дистанций не должно превышать 0,005 мм.
-
6.7.5 Проверку для приемника фотоэлектрического (цифровой камеры) производить следующим образом:
-
6.7.5.1 Установить перед прибором подвижную платформу на минимальное расстояние от прибора. Установить на опорную площадку платформы на расстояние 0,5 м от выходного окна прибора цифровую камеру в магнитной площадке с отсчётными микровинтами.
-
6.7.5.2 Подключить цифровую камеру к ПК, в котором установлена соответствующая программа измерений.
-
6.7.5.3 Совместить перекрестие рабочего поля ПО с перекрестием матрицы камеры, определяя нулевой отсчёт, установить экспозицию в соответствии с яркостью изображения. Проверить параллельность направления перемещения центрального пятна кольцевой структуры линии перекрестия.
-
6.7.5.4 Винтами магнитной подставки прибора совместить центр кольцевой структуры лазера с перекрестием рабочего поля ПО.
-
6.7.5.5 С помощью ПО произвести 10 отсчётов положения центрального пятна кольцевой структуры по двум координатам. Рассчитать, ан, по формулам (1) и (2). Результаты занести в память ПК.
-
6.7.5.6 Переместить платформу с цифровой камерой последовательно на расстояния 1 м, 5 м, 10 м, 20 м, 30 м, и повторить операции по 6.7.5.4 - 6.7.5.5.
-
Примечания:
Наведение центрального пятна кольцевой структуры лазерного луча возможно не в центр, а на соответствующий штрих перекрестия матрицы.
Подводить изображение центрального пятна кольцевой структуры лазерного луча необходимо с одной стороны, для исключения погрешности от люфта отсчётного механизма.
-
6.7.5.7 Значение СКО погрешности наведения для указанных выше дистанций не должно превышать 0,003 мм.
6.7.6 Определение погрешности воспроизведения положения лазерного пучка лучей в пространстве (отклонение от прямолинейности линии визирования ЛС)
-
6.7.6.1 Проверку воспроизведения оси лазерного луча производят путём измерений отклонений от прямолинейности поверхности (трассы) длиной не менее 30 метров с помощью ЛС. Точность определения отклонений профиля трассы от опорной прямой должна соответствовать доверительной абсолютной погрешности рабочих эталонов 3-го разряда по ГОСТ 8.420 при доверительной вероятности 0,95 и быть в пределах ±(2+L+0,04 H) мкм, где L - длина трассы, м, Н - отклонение от прямолинейности, мкм. Отклонение от прямолинейности трассы не более 3 мм. Отклонения профиля трассы от опорной прямой должны быть определены непосредственно перед проверкой прибора с помощью эталонов 2 разряда по ГОСТ 8.420.
-
6.7.6.2 Установить прибор на какое-либо жесткое основание или край исследуемой трассы и направить его выходное окно вдоль контролируемой трассы (например, направляющая оптической скамьи).
-
6.7.6.3 Установить перед лазерной трубой подвижную каретку на минимальное расстояние. Установить на опорную площадку каретки на расстояние 0,5 м. от выходного окна лазерной трубы магнитную подставку с отсчетными устройствами и надежно закрепить его.
-
6.7.6.4 Установить в посадочное гнездо визирную систему или цифровую камеру и зафиксировать их.
-
6.7.6.5 Включить лазерную трубу, и выдержать ее во включённом состоянии не менее 30 минут. Выставить отсчётное устройство таким образом, чтобы луч прибора был направлен во входное окно визирной системы или на матрицу цифровой камеры отсчётного устройства.
-
6.7.6.6 Разбить контролируемую трассу на необходимое количество точек at с одинаковыми интервалами «Л» таким образом, чтобы точки щ совпадали с точками определения отклонений от опорной прямой, с помощью эталонов 2 разряда по ГОСТ 8.420. Величину интервала выбрать в диапазоне от 500 до 1000 мм.
-
6.7.6.7 Последовательно устанавливая каретку с отсчётным устройством в выбранные точки at, начиная с первой аг, снять 3-5 отсчётов по шкале микрометрического винта, в случае использования визирной системы, или с помощью ПО, в случае установки в качестве отсчётного устройства цифровой камеры, подключённой к ПК. Отсчёт снимается при измерении смещения изображения центра кольцевой структуры относительно перекрестия сетки окуляра или перекрестия на экране ПК.
-
6.7.6.8 Обработать результаты измерения согласно разделу руководства по эксплуатации «Измерение отклонений от прямолинейности поверхностей».
-
6.7.6.9 Погрешность измерений отклонений от опорной прямой определить как разность результатов измерений с помощью прибора и отклонений от опорной прямой, определенных с помощью эталонов 2 разряда по ГОСТ 8.420.
Примечания:
Наведение центрального пятна кольцевой структуры лазерного луча возможно не в центр, а на соответствующий штрих перекрестия матрицы.
Подводить изображение центрального пятна кольцевой структуры лазерного луча необходимо с одной стороны, для исключения погрешности от люфта отсчётного механизма.
-
6.7.6.10 Абсолютная погрешность измерений отклонений от опорной прямой должна находиться в пределах:
-
- визуальным способом, мм ±0,1;
-
- фотоэлектрическим способом, мм ±0,01.
-
7.1 По результатам поверки оформляется протокол поверки произвольной формы.
-
7.2 Положительные результаты поверки ЛС-1 оформляются согласно Приказу Минпромторга России от 02.07.2015 N 1815 «Об утверждении Порядка проведения поверки средств измерений, требования к знаку поверки и содержанию свидетельства о поверке» выдачей свидетельства о поверке. Знак поверки наносится на свидетельство о поверке
-
7.3 Отрицательные результаты поверки ЛС-1 оформляются согласно Приказу Минпромторга России от 02.07.2015 N 1815 «Об утверждении Порядка проведения поверки средств измерений, требования к знаку поверки и содержанию свидетельства о поверке» выдачей извещения о непригодности с указанием причин непригодности, свидетельство о предыдущей поверке аннули
руется.

Ю.Р. Шимолин
Л.А. Трибушевская
Зав. лабораторией 233 ФГУП «УНИИМ»
Зам. зав. 233 лабораторией ФГУП «УНИИМ»
ЛИСТ РЕГИСТРАЦИИ ИЗМЕНЕНИЙ|
Номера листов (страниц) |
Всего ли-стов (страниц) в до-кум. |
№ докум. |
Входящий № сопроводительного докум. и цата |
Подпись |
Дата | |||
|
Изменен ных |
Замененных |
Новых |
Аннулированных | |||||
13
