Методика поверки «ГСОЕИ. Хроматографы газовые GC-2010 Plus и GC-2014» (МП-242-2362-2020)
Федеральное государственное унитарное предприятие
«Всероссийский научно-исследовательский институт метрологии им. Д.И. Менделеева»
ФГУП «ВНИИМ им. Д.И. Менделеева»
УТВЕРЖДАЮ

. Пронин
» января 2020 г.
Государственная система обеспечения единства измерений
ХРОМАТОГРАФЫ ГАЗОВЫЕ
GC-2010 Plus и GC-2014
Методика поверки
МП- 242-2362-2020Зам. руководителя отдела государственных эталонов в области физико-химических измерений ФГУП «В Д. И. Менделеева»

А.В.Колобова

научный сотрудник
М.А.Мешалкин
Санкт-Петербург 2020 г.
Настоящая методика распространяется на хроматографы газовые GC-2010 Plus, GCMS-QP2010 и GC-2014 и устанавливает методику их первичной поверки (при вводе в эксплуатацию и после ремонта) и периодической поверки в процессе эксплуатации.
1. ОПЕРАЦИИ ПОВЕРКИ-
1.1. При проведении поверки выполняют операции, указанные в таблице 1.
Таблица 1 - Операции поверки
Наименование операции |
Номер пункта методики |
Обязательное проведение операции | |
При вводе в эксплуатацию и после ремонта |
В эксплуатации | ||
Внешний осмотр |
3.1 |
да |
да |
Опробование: |
3.2 |
да |
да |
- подтверждение соответствия программного обеспечения |
3.2.1 |
да |
да |
- определение уровня |
3.2.2 |
да | |
флуктуационных шумов |
да | ||
- определение предела детектирования |
3.2.3 |
да |
да11 |
Определение метрологических характеристик: |
3.3 |
да |
да1' |
- определение относительного среднего квадратического отклонения выходных сигналов |
3.3.1-3.3.3 |
да |
да!) |
- определение относительного изменения выходных сигналов за 4 ч непрерывной работы |
3.3.4 |
да |
да0 |
Определение метрологических характеристик по НД на методики (методы) измерений |
нет |
да2) | |
Примечания: 11 При отсутствии НД на методику’ (метод) измерений по ГОСТ
8.563.
2)При наличии НД на методик)' (метод) измерений по ГОСТ 8.563.
-
1.2. Методикой поверки предусмотрена возможность проведения поверки каждого из детекторов, входящих в комплект поставки хроматографа, отдельно или в наборе (согласно перечню детекторов, у казанных в спецификации конкретного экземпляра хроматографа) с использованием капиллярной или насадочной колонки.
1.3 Для снятия данных при поверке допускается участие сервис-инженера фирмы-изготовителя или его авторизованного представителя или оператора, обслуживающего хроматограф (под контролем поверителя).
2. СРЕДСТВА ПОВЕРКИ, УСЛОВИЯ ПОВЕРКИ И ПОДГОТОВКА К ПОВЕРКЕ-
2.1. Средства поверки
2.1.1 Основные средства поверки:
-
- стандартные образцы состава гексадекана ГСО 7289-96. гексахлорбензола ГСО 9106-2008, линдана ГСО 8890-2007, искусственной жидкой смеси метилпаратиона (метафоса) в н-гексане ГСО 11056-2018 и
-
- стандартный образец искусственной газовой смеси на основе инертных и постоянных газов ГСО 10532-2014;
-
- стандартный образец содержания меркаптановой серы в нефтепродуктах ГСО 8415-2003.
-
2.1.2. Вспомогательные средства поверки
Колбы мерные второго класса точности с притертой пробкой по ГОСТ 1770-74.
Пипетки второго класса точности ГОСТ 29227-91.
1-канальные механические дозаторы с переменным объемом дозирования.
Весы аналитические высокого класса точности по ГОСТ OIML R 76-1-2011.
Н-гексан ТУ 2631-158-44493179-13 (растворитель для приготовления поверочных растворов)
-
2.1.3. Средства измерений для контроля условий поверки
Барометр цифровой или барометр-анероид, зарегистрированные в Федеральном информационном фонде по обеспечению единства измерений (например ФИФ № 76583-19; ФИФ № 71662-18. ФИФ № 5738-76);
Термогигрометр электронный или гигрометр психрометрический, зарегистрированные в Федеральном фонде по обеспечению единства измерений (например ФИФ №22129-09; ФИФ №69566-17).
Допускается применение аналогичных основных и вспомогательных средств поверки, обеспечивающих определение метрологических характеристик хроматографов с требуемой точностью и аналогичных средств измерений для контроля условий поверки.
-
2.2. Условия поверки
-
2.2.1. При проведении поверки должны быть соблюдены следующие климатические условия:
-
-
- температура окружающего воздуха, °C от 15 до 30;
-
- относительная влажность воздуха, % не более 90.
-
2.2.2. Хроматографические колонки должны обеспечивать проведение хроматографического анализа поверочных растворов или поверочной газовой смеси. Характеристики хроматографических колонок представлены в таблицах 2 и 3. Допускается применение других колонок, обеспечивающих необходимое разделение.
-
2.2.3. Подготовительные работы выполняют в соответствии с руководством по эксплуатации. Перед поверкой проводят кондиционирование колонки.
-
2.2.4. Поверочные растворы приготавливают в соответствии с методикой, приведенной в приложении А.
-
2.2.5. Для проведения поверки устанавливают параметры в соответствии с таблицами 2 и 3.
Данные параметры являются рекомендуемыми и могут быть изменены в процессе оптимизации настоек прибора при его подготовке к поверке.
Таблица 2 - Параметры хроматографа при работе с детекторами ПИД, ДТП, ТИД, ПФД, ЭЗД
Детектор |
Наименование параметра |
Значение параметра |
1 |
2 |
3 |
ПИД |
При использовании жидкой пробы: Температура термостата колонок, °C: Температура инжектора, °C: Поверочный раствор гексадекана в гексане (изооктане), массовая концентрация гексадекана, мг/см3 Объем дозы, см3 При использовании газовой пробы: Температура термостата колонок, °C ПГС пропана в гелии (азоте), объемная доля пропана, % Объем дозы, см3 |
не менее 80 200 0,10 1- 10'3 55±5 от 0,2 до 0,4 от 1,0 до 2,0 |
ДТП |
При использовании жидкой пробы: Температура термостата колонок,°C: Газ-носитель Температура детектора, °C: Ток детектора для GC-2014, мА Ток детектора для GC-2010Plus, мА Поверочный раствор гексадекана в гексане (изооктане), массовая концентрация гексадекана, мг/см3 Объем дозы, см3 При использовании газовой пробы: поверочная газовая смесь пропана в гелии (азоте), с объемной долей пропана, % Газ-носитель Температура детектора, °C: Ток детектора для GC-2014, мА Ток детектора для GC-2010Plus, мА Температура термостата колонок, °C Объем дозы, см3 |
не менее 170 гелий 170 140 80 1,0 1- 10’3 от 0,2 до 0,4 гелий 70 180 80 55±5 1,0-2,0 |
ТИД |
Температура термостата колонок, °C: Поверочный раствор метафоса в гексане (изооктане), массовая концентрация метафоса, мг/см^ Объем дозы, см3 |
не менее 150 0,010 1- 10-3 |
ПФД |
Температура термостатов колонок, °C: Поверочный раствор метафоса в гексане, массовая концентрация метафоса, мг/см3 Объем дозы, см3 |
не менее 150 0,010 1- 10-3 |
ЭЗД |
Температура термостатов колонок, °C: Поверочный раствор линдана в гексане, массовая концентрация линдана, мг/см3 Объем дозы, см3 |
не менее 150 (4,0-5,0)- 10'5 1- 10’3 |
Примечание:
|
Таблица 3- Параметры хроматографа при работе с детекторами ГИПРД и ХД
Детектор |
Наименование параметра |
Значение параметра |
1 |
2 |
о 3 |
ГИПРД |
Газ-носитель Расход газа-носителя через хроматографическую колонку Дополнительный расход газа (гелия) через детектор (поддувочный газ для образования плазмы) Температурная программа термостата колонки Тип и характеристики хроматографической колонки, взятой для испытаний Температура детектора Способ ввода пробы Поверочная газовая смесь метана или диоксида углерода в гелии с объемной долей метана/диоксида углеоода. % Объем пробы Время анализа |
Гелий Постоянный поток, 30 см3/мин 50 см3/мин изотермическая, 40 °C
1 м и внутренним диаметром 2 мм, заполненная цеолитами NaX 80/100 меш или аналог (ввод пробы: ГСО метана в гелии);
1 м и внутренним диаметром 2 мм, заполненная сорбентом Porapak N 80/100 меш или аналог (ввод пробы: ГСО углекислого газа в гелии); 115 °C Ввод газообразной пробы при комнатной температуре с помощью 6-портового крана-дозатора в колонку от 5 до 50 млн'1 1 см3 5 мин. при определении площади пика компонента; 15 мин. при записи шума/дрейфа базовой линии детектора. |
ХД |
Температура инжектора, °C Режим газа носителя Газ-носитель Линейная скорость, см/с Начальная температура термостата колонок, °C Продолжительность выдержки при 35 °C, мин Скорость подъема температуры до 280 °C, /мин Продолжительность выдержки при 280 °C, мин Температура детектора, °C ГСО 8415-2003, массовая доля меркаптановой серы в нефтепродуктах Объем ввода, мкл Расход детекторных газов: Объемный расход водорода, мл/мин Объемный расход кислорода, мл/мин Объемный расход озона, мл/мин Хроматографическая колонка |
275 Константа линейной скорости Гелий 34,5 35 3 10 5 950 от 0,0009% до 0,0011 % 1 71 6,1 24,8 SPB-1 *Sulfur длина - 30м, внутренний диаметр - 0,32мм, толщина пленки - 0,4 мкм или аналог |
Примечание: ГИПРД - гелиевый ионизационный пульсирующего разряда детектор (ГИПРД), ХД-хемилюминесцентный детектор. |
-
3.1. Внешний осмотр
При внешнем осмотре устанавливают:
-
- четкость маркировки;
-
- исправность механизмов и крепежных деталей.
Не допускаются дефекты, которые могут повлиять на работоспособность прибора.
-
3.2. Опробование
При опробовании проводят подтверждение соответствия программного обеспечения и определяют уровень флуктуационных шумов нулевого сигнала и предел детектирования для всех детекторов.
При проверке детектора ДТП используют газ-носитель гелий; при проверке ЭЗД - азот; при проверке других детекторов - азот, гелий, или аргон.
Все подключения, задание режимов работы выполняют в соответствии с руководством по эксплуатации.
-
3.2.1. Подтверждение соответствия программного обеспечения
-
3.2.1.1. Определение номера версии встроенного программного обеспечения.
-
Для проверки версии встроенного ПО хроматографа необходимо включить хроматограф, откроется начальный (стартовый) экран (рисунок 1), нажать кнопку FUNC на приборной панели. Откроется экран Function (рисунок 2), нажать на приборной панели кнопку PF3.


Рисунок 1- Стартовый экран

Рисунок 2- экран Function
На экране Version (рисунок 3) указана версия встроенного программного обеспечения.
GC-2014 ROM Version Version ЕНШЕ! Build Mo EZM
Рисунок 3 - версия встроенного программного обеспечения.
-
3.2.1.2. Определение номера версии автономного программного обеспечения
Определение осуществляется следующим образом:
- в главном окне программы в строке команд щелкнуть мышью на команде «Help». В открывшемся окне щелкнуть мышью по строке About, в результате чего откроется окно, в котором приведены идентификационное название ПО и номер версии. Пример окна с номером версии программного обеспечения приведен на рисунке 1.
О Анализы в реальном времени
I
Дг LabSolubons
■ —>
Версия 5.73
Copyright (С) 2008-2017 Shmadzu Corpora bon. Все права защищены.
Этот продукт принадлежит user
123
Дополнительная информация:
Сборка программы 23.04.2018 18:53:38
Рисунок 4 - Окно с идентификационными данными ПО LabSolutions
Хроматограф считается выдержавшим поверку по п. 3.2.1, если номера версий ПО не ниже, чем указано в таблице 4. К номеру версии автономного ПО относятся три значащие цифры (одна до точки и две после точки); буквенно-цифровые обозначения, которые могут быть приведенные после третей цифры, к идентификационным данным метрологически значимой части ПО не относятся.
Таблица 4 - Идентификационные данные программного обеспечения
Идентификационные данные (признаки) |
Значение | |
Встроенное ПО |
Автономное ПО | |
Идентификационное наименование ПО |
- |
LabSolutions |
Номер версии (идентификационный номер) ПО |
Не ниже 1.1120 |
Не ниже 5.73 |
Цифровой идентификатор ПО |
- |
- |
-
3.2.2. Уровень флуктуационных шумов нулевого сигнала определяют после выхода хроматографа на режим при температуре колонки. Уровень флуктуационных шумов нулевого сигнала (ДХ) принимают равным амплитуде h (мкВ) повторяющихся колебаний нулевого сигнала с периодом не более 20 секунд.
Уровень шумов регистрируют в течение 30 мин при максимальном значении чувствительности хроматографа. Температура колонки при этом не должна быть более 50°С. Для расчета уровня шумов допускается использовать программное обеспечение хроматографа.
Результаты определения уровня шумов признают положительными, если они не превышают следующих значений:
ПИД 100 мкВ
ЭЗД 100 мкВ
ПФД 700 мкВ
ДТП 100 мкВ
ТИД 500 мкВ
ХД 100 мкВ
ГИПРД 200 мкВ
-
3.2.3. Для определения предела детектирования вручную микрошприцем, краном-дозатором или с помощью автоинжектора в хроматограф не менее трех раз вводят поверочный раствор или ПГС, соответствующие проверяемому детектору.
При использовании поверочных растворов, предел детектирования детекторов Ст1П, г/с, (кроме ДТП) рассчитывают по формуле:
Cmin = 2 - (ДА'• G) / S (3.1)Предел детектирования для ДТП, г/см?, рассчитывают по формуле:
Cmin = 2-(AY-G)/(S-K„) (3.2)где: G - масса контрольного компонента, г;
S - среднее арифметическое значение площади пика, мкВ с;
Угн- расход газа-носителя, см3/с.
Массу контрольного компонента G определяют по формуле: G=r>r-q,-q) (з.з)
где: Их- объем контрольной смеси, см3;
Си - массовая концентрация контрольного компонента, г/см3;
Со - коэффициент, учитывающий содержание углерода в гексадекане, равный 0,85, и фосфора, азота и серы в метафосе, равный соответственно 0,118, 0,053 и 0,122. В остальных случаях коэффициент принимают равным единице.
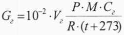
При использовании ПГС массу контрольного компонента (пропана), СТ, определяют по формуле:

(3.4)
где Уг - объем ПГС, см3;
Р - атмосферное давление, Па;
М- молекулярная масса пропана, равная 44 г/моль,
Сг - объемная доля пропана в ПГС, %;
R - универсальная газовая постоянная, R = 8,3 Па/(моль К)
t - температура окружающей среды, °C
Результаты определения пределов детектирования признают положительными, если полученные значения не превышают указанных в приложении Б.
-
3.3. Определение метрологических характеристик
-
3.3.1. Относительное СКО выходного сигнала определяют после выхода хроматографа на режим, используя поверочные смеси. Условия выполнения измерений должны соответствовать п.2.2. Относительное СКО выходного сигнала определяют для всех информативных параметров выходного сигнала, для которых эту характеристику нормируют: времени удерживания (7), высоты (Л) и площади пика (S).
-
3.3.2. Поверочный раствор вводят в хроматограф не менее 6 раз, измеряют значения выходного сигнала и вычисляют среднее арифметическое значение выходного сигнала (А).
-
3.3.3. Относительное среднее квадратическое отклонение выходных сигналов рассчитывают по формуле
-
X \ (п-1)
где: Aj - значение параметра выходного сигнала (высоты пика, площади пика, времени удерживания).
Результаты определения относительного СКО выходных сигналов признают положительными, если они не превышают значений, указанных в приложении Б.
-
3.3.4. Определение относительного изменения выходных сигналов за 4 часа непрерывной работы проводят по площади пика для всех детекторов.
Условия измерения аналогичны, описанным в п.2.2. Проводят операции, описанные в п.
-
3.3.2. Через 4 часа непрерывной работы повторяют измерения по п.3.3.2.
Относительное изменение выходного сигнала за 4 часа непрерывной работы хроматографа рассчитывают по формуле:
= (3.6)
Результаты определения относительного изменения выходного сигнала (площади пиков) признают положительными, если они не превышают значений, указанных в приложении Б.
4. ОФОРМЛЕНИЕ РЕЗУЛЬТАТОВ ПОВЕРКИ-
4.1. Данные, полученные при поверке, оформляются в форме протокола в соответствии с требованиями, установленными в организации, проводящей поверку.
-
4.2. Хроматограф, удовлетворяющий требованиям настоящей методики поверки, признается годным и на него оформляется свидетельство о поверке по установленной форме.
На оборотной стороне свидетельства приводятся результаты опробования и внешнего осмотра, результаты определения метрологических характеристик и дополнительная информация, предусмотренная действующими документами, регламентирующими процедуру оформления результатов поверки.
-
4.3. Хроматограф, не удовлетворяющий требованиям настоящей методики, к дальнейшей эксплуатации не допускается и на него выдается извещение о непригодности.
-
4.4. Знак поверки наносится на лицевую панель детектора (справа от названия хроматографа)- и (или) на свидетельство о поверке.
Приложение А (обязательное) Методика приготовления поверочных растворов
Диапазон содержания контрольных компонентов в поверочных раствора от 0,010 до 1,0 мг/см . Относительная погрешность приготовления растворов не превышает 5 %.
1 . Средства измерений, материалы и реактивы. Пипетки 1-1-2-0,5(1,2, 5, 10) ГОСТ 29227-91; Колбы мерные 2-100 (25, 50) -2 ГОСТ 1770-91; Весы лабораторные высокого класса точности по ГОСТ OIML R 76-1-2011. Гексадекан ГСО 7289-96;
Линдан ГСО 1855-91; Метафос (метилпаратион в гексане) ГСО 1 1056-82018.
Н-гексан "ХЧ"»ТУ 2631-005-45579693-2001;
Изооктан "ХЧ" ТУ 2631-008-45579693-2002
-
2. Процедура приготовления поверочных растворов
-
2.1. Растворы с массовой концентрацией 1 мг/см3 приготавливают объемно-весовым методом. Массовую концентрацию контрольного компонента (С,) определяют по формуле:
-
Со = mt/V Al
где: mt - масса контрольного компонента, мг;
V - объем приготовленной смеси, см3.
-
2.2. Исходные вещества, используемые для приготовления растворов, выдерживают не менее 2 ч в лабораторном помещении.
-
2.3. Температура окружающей среды при приготовлении растворов не должна изменяться более, чем на 4°С.
-
2.4. Определяют массу mi мерной колбы вместимостью 100 мл. Результат взвешивания записывают до третьего десятичного знака.
-
2.5. В мерную колбу вносят около 100 мг контрольного компонента и вновь взвешивают колбу (m2).
-
2.6. Вычисляют массу контрольного компонента (т) в мг.
nii=ni2 - mi А2
-
2.7. В колбу с контрольным компонентом вводят от 20 до 25 мл растворителя, перемешивают содержимое и доводят объем раствора до 100 мл. Тщательно перемешивают раствор.
-
2.8. Рассчитывают массовую концентрацию контрольного компонента по п. 1.1.
-
2.9. Растворы с массовой концентрацией контрольного компонента менее 1 мг/см1 приготавливают объемным методом путем последовательного разбавления более концентрированных растворов. Массовую концентрацию контрольного компонента рассчитывают по формулам:
С/= Co-Vi/100 АЗ
C2=Ci-V2/100 А4
C„=Cn.i-Vn/100 А5
где: п - номер ступени разбавления исходного контрольного раствора с массовой концентрацией Со.
VI, Г?, Глг-аликвоты раствора с концентрацией Со, Ci, Cn.i соответственно,см<
-
2.10. Перед каждым разбавлением рассчитывают значение аликвоты растворов (Г/, К?, Г0, исходя из заданного значения концентрации контрольного компонента (Со, С/. Сл./) и концентрации разбавляемого раствора.
-
2.11. В мерную колбу вместимостью 100 мл вносят аликвоту разбавляемого раствора, доводят объем приготавливаемого раствора до 100 мл и тщательно перемешивают.
-
3. Хранение поверочных растворов.
3.1. Раствор хранят в чистых сухих склянках с хорошо притертыми пробками, вдали от источников огня и нагревательных приборов при температуре от 4 до 8 °C. Перед введением в хроматограф растворы выдерживают при комнатной температуре не менее 1 часа. Срок хранения исходного раствора от 3 до 5 дней.
Приложение Б (обязательное)
Таблица Б1 - Метрологические характеристики
Наименование характеристики |
Значение | |
GC-2010Plus |
GC-2014 | |
Предел детектирования: | ||
-ПИД |
3 10'12гС/с п-С16) |
310'12 гС/с (п-С16) |
-ПФД |
410'12rS/c (метафос) 2 10'13 гР/с (метафос) |
4 -10’12 rS/c (метафос) 2 -10"13 гР/с (метафос) |
-эзд |
8 • 10’1- г/с (линдан) |
8 -10’13 г/с (линдан) |
-тид |
2 10'13 rN/c (метафос) |
210'13 rN/c (метафос) |
-ДТП |
2 -10'9 г/см3 |
2 • 10'9 г/см3 |
-ГИПРД |
2-10'12 г/с (метан) 5 1О'|2г/с (СО2) |
2 10'12 г/с (метан) 5-10’12 г/с (СО2) |
-хд |
510*,3г/с (сера) |
5-10'13 г/с (сера) |
Относительное СКО выходного сигнала,%, не более: -по площади пика —по времени удерживания |
3,0 0,3 |
3,0 0,3 |
Относительное изменение выходного сигнала (по площади пика) за 4 ч непрерывной работы, %, не более |
±3,0 |
±3,0 |