Методика поверки «КОМПЛЕКСЫ ИЗМЕРИТЕЛЬНЫЕ ДОРОЖНЫЕ ФОТОГРАММЕТРИЧЕСКИЕ HERE» (МП АПМ 28-15)
УТВЕРЖДАЮ

КОМПЛЕКСЫ ИЗМЕРИТЕЛЬНЫЕ ДОРОЖНЫЕ ФОТОГРАММЕТРИЧЕСКИЕ
HERE
МЕТОДИКА ПОВЕРКИ
МП АПМ 28-15
Москва
2015
Настоящая методика поверки распространяется на комплексы измерительные дорожные фотограмметрические HERE (далее - комплексы HERE), производства «HERE GLOBAL B.V.», Нидерланды и устанавливает методику их первичной и периодической поверки,
Интервал между поверками - 1 год.
1 Операции поверки
При проведении поверки должны выполняться операции, указанные в таблице 1.
_______________________________ Таблица 1
№ п/п |
Наименование операции |
№ пункта документа по поверке |
Проведение операций при | |
первичной поверке |
периодической поверке | |||
1 |
Внешний осмотр |
7.1 |
Да |
Да |
2 |
Опробование |
7.2 |
Да |
Да |
2.1 |
Идентификация программного обеспечения |
7.2.1 |
Да |
Да |
3 |
Определение метрологических характеристик: |
7.3 | ||
3.1 |
Определение абсолютной погрешности измерений длины (протяженности) участков автомобильных дорог |
7.3.1 |
Да |
Да |
3.2 |
Определение абсолютной погрешности измерения расстояний между ситуационными точками земной поверхности, геометрических размеров инженерных объектов и сооружений придорожного обустройства |
7.3.2 |
Да |
Да |
2. Средства поверки
При проведении поверки должны применяться эталоны и вспомогательные средства, приведенные в таблице 2.
____________________________ Таблица 2
№ пункта документа по поверке |
Наименование эталонов, вспомогательных средств поверки и их основные метрологические и технические характеристики |
7.1 |
Эталоны не применяются |
7..2 | |
7.3.1 |
Тахеометр электронный типа Та20 по ГОСТ 51774-2001 * |
7.3.2 |
* - при выборе тахеометра электронного в качестве эталонного средства измерений следует учитывать, что границы допускаемой абсолютной погрешности измерений расстояний (при доверительной вероятности 0,95) составят удвоенное значение средней квадратической погрешности тахеометра.
Допускается применять другие средства поверки, обеспечивающие определение метрологических характеристик с точностью, удовлетворяющей требованиям настоящей методике поверки.
3. Требования к квалификации поверителейК проведению поверки допускаются лица, изучившие эксплуатационные документы на комплекс HERE, имеющие достаточные знания и опыт работы с ним.
4. Требования безопасностиПри проведении поверки, меры безопасности должны соответствовать требованиям по технике безопасности согласно эксплуатационной документации на комплексы HERE и «Правилам дорожного движения».
Требования к техническому состоянию автомобиля определяются эксплуатационной документацией. Запрещено включение поверяемого комплекса HERE при неисправной системе электрооборудования.
5. Условия поверки-
5.1 При проведении поверки должны соблюдаться следующие нормальные условия измерений:
-
• температура окружающей среды, °C................................................... (25±20)
-
• относительная влажность воздуха, % ................................................ не более 80
-
• атмосферное давление, кПа (мм рт.ст.)................................... 84,0..106,7 (630..800)
-
5.2 Измерения на участке автомобильной дороги должны проводиться при отсутствии осадков и порывов ветра.
Перед проведением поверки должны быть выполнены следующие подготовительные работы:
-
• проверить наличие действующих свидетельств о поверке на средства поверки;
-
• поверяемый комплекс HERE и средства поверки привести в рабочее состояние в соответствии с их эксплуатационной документацией;
-
7. Проведение поверки
При внешнем осмотре должно быть установлено соответствие комплекса HERE следующим требованиям:
-
• отсутствие коррозии, механических повреждений и других дефектов, влияющих на эксплуатационные и метрологические характеристики комплекса HERE;
-
• наличие маркировки и комплектности согласно требованиям эксплуатационной документации на комплекс HERE.
При опробовании должно быть установлено соответствие комплекса HERE следующим требованиям:
-
• отсутствие качки и смещений неподвижно соединенных деталей и элементов;
-
• правильность взаимодействия с комплектом принадлежностей;
-
• работоспособность всех функциональных режимов;
Идентификация программного обеспечения (далее - ПО) следует проводить по следующему алгоритму:
-
7.2.1.1 Алгоритм методики подтверждения соответствия ПО «CDU_Lite»:
-
7.2.1.1.1 Включить комплекс HERE. Открыть папку хранения установочного файла. Нажать на него правой кнопкой мыши и в открывшейся вкладке выбрать строку Properties (Свойства). В открывшемся окне выбрать вкладку Details (Детали). На данной вкладке будут доступны для просмотра данные о наименования продукта и версии программного обеспечения (см. Рис. 1).
г

<:l"! CDU_Lite.exe Properties
General ■ Compatibility | Security I Details : Previous Versions |
Property |
Value |
Description | |
File description |
CDUJJte |
Type |
Application |
File version |
200.0 |
Product name |
CDU_Lite |
Product version |
2.0.0.0 |
Copyright |
Copyright ® MAVTEQ 2012 |
Size |
115 KB |
Date modified |
272/20122:13 PM |
Language |
Language Neutral |
Original filename |
CDU_Lite.exe |
Рис. 1.
-
7.2.1.1.2 Скачать бесплатное (freeware) программное обеспечение «WinMD5 Free» - ПО для вычисления контрольной суммы по алгоритму MD5 - по ссылке, приведенной ниже. http://www.winmd5.com/download/winrnd5free.zip
-
7.2.1.1.3 На ПК с установленным ПО «CDU_Lite» запустить ПО «WinMD5 Free».
-
7.2.1.1.4 Указать путь к исходному файлу портативного устройства и прочесть контрольную сумму (см. Рис. 2):
Рис. 2
7.2.1.2 Алгоритм методики подтверждения соответствия ПО «Ме2»:
-
7.2.1.2.1 Открыть папку хранения установочного файла. Нажать на него правой кнопкой мыши и в открывшейся вкладке выбрать строку Properties (Свойства). В открывшемся окне выбрать вкладку Details (Детали). На данной вкладке будут доступны для просмотра данные о наименования продукта и версии программного обеспечения (см. Рис. 3).
'С, Me2.exe Properties
General | Compatibility i Security
Details Previous Versions
Property |
Value |
Description | |
File description |
Me2 |
Type |
.Application |
File version |
1.3.0.9 |
Product name |
Me2 |
Product version |
1.3.0.9 |
Copyright |
Copyright © Navteq 2012 |
Sze |
3.45 MB |
Date modified |
12/11/2012 9:03 AM |
Language |
Language Neutral |
Original filename |
Me2.exe |
Рис. 3.
-
7.2.1.2.2 На ПК с установленным ПО «Ме2» запустить ПО «WinMD5 Free»,.
-
7.2.1.2.3 Указать путь к исходному файлу портативного устройства и прочесть контрольную сумму (см. Рис. 4):
Рис. 4.
Определенные идентификационные данные ПО должны соответствовать данным, приведенным в таблице 3.
Таблица 3
Идентификационные данные (признаки) |
Значение | |
Идентификационное наименование ПО |
CDU Lite |
Ме2 |
Номер версии (идентификационный номер) ПО, не ниже |
2.0.0.0, не ниже |
1.3.0.9, не ниже |
Цифровой идентификатор ПО |
са244а7 f6fcea76f5 dc2b79617al0cd4 |
d2df8e913ac338c8 9311 fbObedeaefcd |
Алгоритм вычисления цифрового идентификатора ПО |
MD5 |
MD5 |
Абсолютная погрешность измерений длины (протяженности) участков автомобильной дороги (д£) определяется многократными (не менее 5) измерениями со скоростью 30, 60, 100 км/ч участка длиной (1000 ±10) м и вычисляется как сумма систематической и случайной погрешности по выражению:

п

^30,60,100 ~ ( Д))±
Я30,60,100
^зо,бо,юо ’ абсолютная погрешность измерений длины (протяженности) при скорости 30, 60,
100 км/ ч соответственно, м;
Lo - эталонное значения длины (протяжённости), м;
Дзоб....... - измеренные комплексом HERE значение длины (протяжённости) при скорости 30,
60, 100 км/ч соответственно, м;
изо.бо.1оо ' число измерений длины при скорости 30, 60, 100 км/ч соответственно.
За окончательный результат следует принять наибольшее значение полученной абсолютной погрешности измерения длины (протяженности) участка автомобильной дороги.
Абсолютная погрешность измерения длины (протяженности) участка автомобильной дороги не должна превышать ± 10 м.
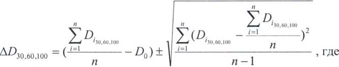
7.3.2 Определение абсолютной погрешности измерения расстояний между ситуационными точками земной поверхности, геометрических размеров инженерных объектов и сооружений придорожного обустройстваАбсолютная погрешность измерения расстояний между ситуационными точками земной поверхности, геометрических размеров инженерных объектов и сооружений придорожного обустройства определяется как разность расстояний между опознаками, равномерно установленных в диапазоне измерений и вычисляется как сумма систематической и случайной погрешности по выражению:

АО30 бо.юо ‘ абсолютная погрешность измерений расстояния между опознаками при скорости 30,
60, 100 км/ч соответственно, м;
Do - эталонное значение расстояний между опознаками, м, (измеренное тахеометром электронным);
DiwiuMi - измеренные комплексом HERE расстояния между опознаками при скорости 30, 60.
100 км/ч соответственно, м;
п - число измерений расстояний между опознаками, не менее 5.
За окончательный результат следует принять наибольшее значение полученной абсолютной погрешности измерений расстояний между опознаками.
Абсолютная погрешность измерений расстояний между опознаками не должна превышать ± 0,5 м.
8. Оформление результатов поверки-
8.1. Результаты поверки оформляются протоколом, составленным в виде сводной таблицы результатов поверки по каждому пункту раздела 7 настоящей методики поверки с указанием предельных числовых значений результатов измерений и их оценки по сравнению с предъявленными требованиями. Пример протокола см. в приложении к настоящей методике поверки.
-
8.2. При положительных результатах поверки комплекс HERE признается годным к применению и на него выдается свидетельство о поверке установленной формы.
Знак поверки наносится на свидетельство о поверке в виде наклейки и (или) поверительного клейма.
-
8.3. При отрицательных результатах поверки комплекс HERE признается непригодным к применению и на него выдается извещение о непригодности установленной формы с указанием основных причин.
Нач. отдела координации работ по обеспечению единства измерений ООО «Автопрогресс-М»
В.А. Лапшинов
ПРИЛОЖЕНИЕ (рекомендуемое)
ПРОТОКОЛ ПОВЕРКИ №
Дата поверки:
Условия поверки:
Средство измерений:
Заводской №:
Сданное в поверку:
Методика поверки:
Применяемые эталоны:
Результаты поверки
Внешний осмотрПри проведении внешнего осмотра было установлено:
ОпробованиеПри опробовании было установлено следующее:
Проверка идентификационных данных ПООпределенные идентификационные данные ПО приведены в таблице 1.
Таблица 1
Идентификационные данные (признаки) |
Значение | |
Идентификационное наименование ПО | ||
Номер версии (идентификационный номер) ПО, не ниже | ||
Цифровой идентификатор ПО | ||
Алгоритм вычисления цифрового идентификатора ПО |
Таблица 2
№ изм. |
Длина участка, измеренная |
Длина участка, измеренная комплексом измерительным дорожным фотограмметрическим, м | ||
Тахеометром электронным, М |
скорость__км/ч |
скорость__км/ч |
скорость___км/ч | |
1 | ||||
2 | ||||
3 | ||||
4 | ||||
5 | ||||
6 | ||||
Таблица 3
№ изм. |
Расстояние между опознаками, измеренное тахеометром электронным, м |
Расст. между опознаками, измеренные комплексом измерительным дорожным фотограмметрическим, м | ||
скор.__км/ч |
скор.__км/ч |
скор.___км/ч | ||
1 |
ОП1-ОП2 | |||
2 | ||||
3 | ||||
4 | ||||
5 | ||||
6 | ||||
Среднее значение | ||||
Сист.составляющая | ||||
Случ. Составляющая | ||||
Абсолютная погрешность измерений расстояний | ||||
Заявляемое значение | ||||
1 |
ОП1-ОПЗ | |||
2 | ||||
3 | ||||
4 | ||||
5 | ||||
6 | ||||
Среднее значение | ||||
Сист.составляющая | ||||
Случ. Составляющая | ||||
Абсолютная погрешность измерений расстояний |
Заявляемое значение | ||||
1 |
ОП1-ОП4 | |||
2 | ||||
3 | ||||
4 | ||||
5 | ||||
6 | ||||
Среднее значение | ||||
Сист.составляющая | ||||
Случ. Составляющая | ||||
Абсолютная погрешность измерений расстояний | ||||
Заявляемое значение | ||||
1 |
ОП1-ОП5 | |||
2 | ||||
3 | ||||
4 | ||||
5 | ||||
6 | ||||
Среднее значение | ||||
Сист.составляющая | ||||
Случ. Составляющая | ||||
Абсолютная погрешность измерений расстояний | ||||
Заявляемое значение |
Вывод: на основании результатов (первичной) периодической поверки средство измерений признано соответствующим установленным в описании типа метрологическим требованиям и пригодным к применению.
Поверитель