Методика поверки «ГОСУДАРСТВЕННАЯ СИСТЕМА ОБЕСПЕЧЕНИЯ ЕДИНСТВА ИЗМЕРЕНИЙ СИСТЕМЫ ЭЛЕКТРИЧЕСКОГО КОНТРОЛЯ С ПОДВИЖНЫМИ ПРОБНИКАМИ PILOT» (MП 206.1-095-2018)
Федеральное государственное унитарное предприятие «ВСЕРОССИЙСКИЙ НАУЧНО-ИССЛЕДОВАТЕЛЬСКИЙ ИНСТИТУТ МЕТРОЛОГИЧЕСКОЙ. СЛУЖБЫ»
(ФГУП «ВНИИМС»)
УТВЕРЖДАЮ

ГОСУДАРСТВЕННАЯ СИСТЕМА ОБЕСПЕЧЕНИЯ ЕДИНСТВА ИЗМЕРЕНИЙ
СИСТЕМЫ ЭЛЕКТРИЧЕСКОГО КОНТРОЛЯ С ПОДВИЖНЫМИ ПРОБНИКАМИ PILOT
Методика поверки
МП 206.1-095-2018
г. Москва 2018
ВВЕДЕНИЕНастоящая методика устанавливает методы и средства первичной и периодических поверок систем электрического контроля с подвижными пробниками Pilot, изготавливаемых фирмой «Seica S.p.A.», Италия.
Системы электрического контроля с подвижными пробниками Pilot (далее - системы) предназначены для комплексного автоматизированного внутрисхемного и функционального контроля печатных плат путем измерений электрического сопротивления, электрической емкости, индуктивности, напряжения постоянного тока, а также для отображения и сохранения в электронном виде или на бумажном носителе результатов измерений.
Интервал между поверками (межповерочный интервал) - 2 года.
Периодическая поверка средств измерений в случае их использования для измерений меньшего числа величин или на меньшем числе поддиапазонов измерений, по отношению к указанным в разделе «Метрологические и технические характеристики» Описания типа, допускается на основании письменного заявления их владельца, оформленного в произвольной форме. Соответствующая запись должна быть сделана в свидетельстве о поверке средства измерений.
1 ОПЕРАЦИИ И С Р FE1CTBА ПОВЕРКИ-
1.1 При поверке выполняются операции, указанные в таблице 1.
-
1.2 При получении отрицательных результатов при выполнении любой из операций поверка прекращается и прибор бракуется.
Таблица 1 - Операции поверки
Наименование операции |
Номер пункта методики поверки |
Проведение операции при | |
первичной поверке |
периодической поверке | ||
1. Внешний осмотр |
7.2 |
Да |
Да |
2. Опробование |
7.3 |
Да |
Да |
3. Определение действительных значений параметров электрического сопротивления, электрической емкости, индуктивности и напряжения постоянного тока платы поверочной PL2 |
7.4 |
Да |
Да |
4. Определение пределов допускаемой относительной погрешности измерений электрического сопротивления, электрической емкости, индуктивности и напряжения постоянного тока системой Pilot |
7.5 |
Да |
Да |
-
2.1 При проведении поверки должны применяться средства измерений, перечисленные в таблицах 2 и 3.
-
2.2 Допускается применять другие средства измерений, обеспечивающие измерение значений соответствующих величин с требуемой точностью.
-
2.3 Все средства поверки должны быть исправны, поверены и иметь свидетельства (отметки в формулярах или паспортах) о поверке.
-
2.4 Поверочная плата должна быть внесена в рабочее помещение не менее чем за 2 часа до начала поверки.
Таблица 2 - Основные средства поверки
Номер пункта методики поверки |
Тип средства поверки |
7.2 - 7.3 |
Визуально |
7.4 |
Измеритель иммитанса НМ8118. Диапазон измерений электрического сопротивления от 0,2 мОм до 100 МОм. Диапазон измерений электрической емкости от 0,01 пФ до 100 мФ. Диапазон измерений индуктивности от 10 нГн до 1 кГн. Диапазон частот тестового сигнала от 20 Гц до 200 кГц. Пределы допускаемой относительной погрешности измерений параметров R, С, L от ±0,05 до ±0,5 %. Вольтметр универсальный цифровой GDM-8135. Пределы измерений напряжения постоянного тока 200 мВ, 2, 20, 200, 1200 В. Пределы допускаемой абсолютной погрешности измерений напряжения постоянного ток на пределе 200 В ±(0,001-U±1 е.м.р.) В. Источник питания постоянного тока GPR-711H30D. Максимальное напряжение постоянного тока на выходе 110 В. Максимальная сила тока на выходе 3 А. |
7.5 |
Плата поверочная PL2. Диапазон воспроизведения электрического сопротивления от 1 мОм до 100 МОм. Диапазон воспроизведения электрической емкости от 1 пФ до 100 мФ. Диапазон воспроизведения индуктивности от 1 мкГн до 1 Гн. Диапазон воспроизведения напряжения постоянного тока от 0 до 100 В |
Таблица 3 - Вспомогательные средства поверки
Измеряемая величина |
Диапазон измерений |
Класс точности, погрешность |
Тип средства поверки |
Температура окружающего воздуха |
от-10 до +50 °С |
±0,2 °С |
Прибор контроля параметров воздушной среды «Метеометр МЭС-200А |
Относительная влажность воздуха |
от 10 до 98 % |
±3% |
Прибор контроля параметров воздушной среды «Метеометр МЭС-200А |
Атмосферное давление |
от 80 до ПО кПа |
±0,3 кПа |
Прибор контроля параметров воздушной среды «Метеометр МЭС-200А |
К проведению поверки допускаются поверители из числа сотрудников организаций, аккредитованных на право проведения поверки в соответствии с действующим законодательством РФ, изучившие настоящую методику поверки, руководство по эксплуатации на поверяемое средство измерений и имеющие стаж работы по данному виду измерений не менее 1 года.
4 ТРЕБОВАНИЯ БЕЗОПАСНОСТИК проведению поверки допускаются лица, изучившие руководство по эксплуатации прибора и прошедшие проверку знаний правил техники безопасности и эксплуатации электроустановок напряжением до 1 кВ.
Любые подключения приборов проводить только при отключенном напряжении питания системы.
5 УСЛОВЕН ПРОВЕДЕНИЯ ПОВЕРКИПри проведении поверки должны соблюдаться следующие условия;
-
• температура окружающего воздуха (23±5) °С;
-
• относительная влажность от 30 до 80 %;
-
• атмосферное давление от 97,3 до 104,6 кПа или от 730 до 785 мм. рт. ст.
-
• напряжение питания переменного тока (220,0±4,4) В;
-
• частота (50,0±1,0) Гц.
Перед поверкой должны быть выполнены следующие подготовительные работы:
-
1. Проверены документы, подтверждающие электрическую безопасность.
-
2. Проведены технические и организационные мероприятия по обеспечению безопасности проводимых работ в соответствии с действующими положениями ГОСТ 12.2.007.0-75 и ГОСТ 12.2.007.3-75.
-
3. Средства измерения, используемые при поверке, поверены и подготовлены к работе согласно их руководствам по эксплуатации.
-
7.1 М<трэологические харшггеристики , пощ! ежащие определению
Таблица 4 - Метрологические характеристики
Наименование характеристики |
Значение |
Диапазон измерений электрического сопротивления, Ом |
от 1-1О"3 до МЮ* |
Пределы допускаемой относительной погрешности измерений электрического сопротивления, %
|
±1 ±0,5 ±1 ±2 |
Диапазон измерений электрической емкости, пФ |
от 1 до 11011 |
Пределы допускаемой относительной погрешности измерений электрической емкости, %
|
±10 ±3 ±1 |
Диапазон измерений индуктивности, мкГн |
от 1 до 1-10* |
Пределы допускаемой относительной погрешности измерений индуктивности, %
|
±5 ±2 ±5 ±10 |
Диапазон измерений напряжения постоянного тока, В |
от 0 до 100 |
Пределы допускаемой относительной погрешности измерений напряжения постоянного тока, % |
±1 |
-
7.2 Внешний осмотр
При проведении внешнего осмотра должно быть установлено соответствие поверяемого прибора следующим требованиям:
-
1. Комплектность должна соответствовать руководству по эксплуатации.
-
2. Все органы управления и коммутации должны действовать плавно и обеспечивать надежность фиксации во всех позициях.
-
3. Не должно быть механических повреждений и дефектов корпуса, лицевой панели, дисплея, органов управления, ухудшаюших и влияюших на работоспособность. Незакрепленные или отсоединенные части прибора должны отсутствовать. Внутри корпуса не должно быть посторонних предметов. Все надписи на панелях должны быть четкими и ясными.
-
4. Все разъемы, клеммы и измерительные провода не должны иметь повреждений и должны быть чистыми.
При наличии дефектов поверяемый прибор бракуется и направляется в ремонт.
-
7.3 Опробование
-
7.3.1 Включитьсистему PILOT. Дождатссо здаершениязафузкиоперациопнойсистемы MS Windows.
-
На рабочем столе запустить ПО «SEICA VIVA».

Рисунок 1 - Иконка ПО
-
7.3.2 Перед началом чалот необходаоо yДедитьcя £3'^oк, что система нтнодитсяв рабочем состияние. Для этого необходимо выбрать кнопку «Self TEST» в окне ПО, как показано на рисунке 2. ......................
Рисунок 2 - Self TEST
В появившемся окне необходимо нажать кнопку «ОК», как показано на рисунке 3.

Рисунок 3 - Окно «Self TEST»
После нажатия кнопки «ОК», запустится автоматическая процедура самодиагностики.
Далее необходимо следовать предлагаемым действиям, согласно руководству оператора.

Рисунок 4 - Процесс самодиагностики
Результат самодиагностики должен быть положительным: результат «PASS», как показано на рисунке 5.
При отрицательных результатах самодиагностики поверка прекращается и прибор бракуется.
Diagnostic fiepert
ййы «I
| Diagnostic Report
Operator: Administrator
Date: WM.2018 H<»3S
C33 Hardware Ver 2.58
Tisswere Vtz 2,32
Diabatic Ver 4.32 Revrs:cr.
Hardware Ver Э.52 '
i
i
I
I
i
i
I
I
|
Нстмаге SCAFP Ver 5ST
If DSP-AWAL'C- MOU ,
4iOiO<P5
38.02 ,-.. . -zrfWil;
cc а?-лх-» рз’i lissfc,;;;
TEST SCAT?
TEST soar? BOARD
PASS CH4C>?7 tr CHBUi HTE-SCm
CHECK SCA;? ?A55
TEST FEKTO
CHECK ШИТО PAS'S
TEST' |
ses-poo |
rCPPL |
Y 'W |
1 |
PASS | ||
FW |
2 |
PASS | |
FK |
3 |
PASS | |
FK |
4 |
PASS | |
РК |
5 |
PASS | |
F |
PASS | ||
►ASS |
TEST SE2- |
PCWES |
SCP'PLY,:-: |
TEST |
ahalx; |
CB |
S84 |
PAS |
CHK>S5 * |
- CH |
OS TYPE |
Tola/ Wam.tngs: О
Tetd&wi: 9
Diagnostic Test: PASS
Рисунок 5 - Результат самодиагностики
Подтверждение соответствия программного обеспечения
По завершению процесса самодиагностики в открытом окне «Diagnostic Report» в строке «Firmware Ver» зафиксировать номер версии установленного СПО. Он должен быть не ниже указанного в таблице 5. При невыполнении этих требований поверка прекращается и прибор бракуется.
Таблица 5 - Идентификационные данные программного обеспечения
Идентификационные данные (признаки) |
Значение |
Идентификационное наименование ПО |
SEICA VIVA |
Номер версии (идентификационный номер ПО) |
Не ниже 2.00 |
Цифровой идентификатор ПО |
- |
-
7.4 Определенид лействдтелтвых значений иараметров электрэческого сопротивления, электрической емкости, индуктивности и напряжения постоянного тока платы поверочной PL2
-
7.4.1 Запустить программу «Pilot РСТ», предварительно установленную на ПК системы.
-
7.4.2 Разместить на рабочем месте поверочную плату PL2. Подключить к измерителю иммитанса НМ8118 4-еноводные измерительные кабели и включить измеритель. Перед началом измерений необходимо откалибровать измеритель. Калибровка измерителя должна производиться согласно методике, предусмотренной его руководством по эксплуатации.
-
Калибровка холостого хода (Онеп-калибровка) проводится в специально отведенном на поверочной плате PL2 сегменте «Настройка/Adjustment» - «Разрыв/OPEN» (рисунок 6).
Калибровка короткого замыкания (Short-калибрэвка) проводится в специально отведенном на поверочной плате PL2 сегменте «Настрэйка/Adjustment» - «КЗ/SHORT» (рисунок 6).

-
7.4.3 Для определения действительных значений эле!^7гри1^н^«^1^огсч со противления резисторов, уитаннвленнах на пнвеенчннй плате PL2, ненбхняымн:
-
- на плате в специально отведенном еегменте «Резистора/Resistors» подключить 4-проводнае измерительная кабели измерителя иммитанеа к номиналу 1 мОм (соответетвующая маркировка на плате «0.001»).
-
- установить на измерителе иммитанеа режим измерений сопротивления,
-
- ваетавитз чаетоту теетового еигнала 20 Гц и уровень напряжения 1,5 В,
-
- ваполнить измерение номинала 1 мОм и записать полученное значение (Aoj) в столбец «Контр.» в окне программа «Pilot РСТ», е точностью до 4 знака (рисунок 7);
Plot PCT -4xm! .
Sovtest ATE Pilot Protocol Creation Tool vio beta
Обозн. |
Ном. |
Контр. |
Изм. |
Контр.откл. |
Пред.откл. |
Результат |
R8 |
10,000 kQ |
10,001 к |
9,958 кП |
0,43 % |
±0.5% |
Годен |
R9 |
100,000 КП |
100,435 к |
99,989 кП |
0,M% |
±1% |
Гсдек |
Рисунок 7 - Пример записи результатов измерений электрычеекого сопротивления
- ваполнить аналогичная образом операции измерений веех остальнах значений электрического сопротивления резиеторов, размещеннах на плате и указаннах в таблице 6. Зафи^^ова^ показания измерения в столбце «Контр.» программа «Pilot РСТ».
Таблица 6
Номинальное значение резыетора |
Соответствующая маркировка на плате |
Показания измерений (Аэ]) |
1 мОм |
0.001 | |
10 мОм |
0.01 | |
100 мОм |
0.1 | |
1 Ом |
1.0 | |
4,7 Ом |
4.7 | |
10 Ом |
10.0 | |
1 кОм |
1.0k | |
10 кОм |
Ю.Ок | |
100 кОм |
ЮО.Ок | |
1 МОм |
ТОМ | |
10 МОм |
Ю.ОМ | |
50 МОм |
50.0М | |
100 МОм |
ЮО.ОМ |
-
7.4.4 Для определениядействительнькзначенийемкости конденсаторов.установленных на нтьяитчотЛ нненя PL2, оятбхтрскн:
-
- на ннанз о ьнзцсанант тньятзннтк ьзгкяння «Ктотзньантаы/Capacitors» подключена 4-нитьттныя сзкяиснзнаныз кабянс измяис-геля емкснаньа к нткснанл 1 нФ (ьттнояненолющая каикситька на ннаня «1 .OpF»).
-
- льнаоньена на сзмяистеня смкенаоьа ияжем изм^янсТ якктьнс, чаьнтнл с литьяна няьнтьтгт ьсгнана етгнаент набнс^ 7;
-
- ьаштннсна езмзиянсз нтмснана 1 нФ с занееана нтнлчзннтя значзнез (Aaj) ь ьнтлбзц «Ктнни.» ь ткня нитгиаммы «Pilot РСТ», ь нтчнненаю рт 4 знака (иселотк 6);
-
- оаштннена уоантгечным тбиазтм тняиацсс сзмяаянеЛ ььях тьнананых значянсЛ ямктьняЛ ктнряньантить, иазмящзнных на ннаня с лказаншех ь набнс^ 7. Зафекьеатьана нтнлчянныя значянея ь ентнбяц «Ктнни.» ь ткня натгауммы «Pilot РСТ».
Табнеца 7
Нтмеоанантз значянез |
Сттньзтьтьлющая мааксатька на нната |
Ряжсм езмяиянсЛ•. частота нясттьтгт еегнала, Гц / ланькоа тяьнньнгн ьегнала, В |
Птказанся езмяиянеЛ (Аэ]) |
1 нФ |
l.OpF |
10К/1,5 | |
4,7 нФ |
4.7pF |
10К/1,5 | |
10 нФ |
lO.OpF |
ЮК /1,5 | |
47 нФ |
47.0pF |
10К/1,5 | |
100 нФ |
lOO.OpF |
10К/1,5 | |
1 нФ |
l.OnF |
ГК/1,5 | |
100 нФ |
lOO.OnF |
1К/1,5 | |
10 мкФ |
lOuF |
500/ 1,5 | |
100 мкФ |
lOOuF |
100/1,5 | |
1 мФ |
lmF |
100/1,5 | |
6,8 мФ |
6.8mF |
100/1,5 | |
33 мФ |
33mF |
100/1,5 | |
100 мФ |
lOOmF |
100/1,5 |
-
7.4.5 Для опдеделения лзHеявитeльныx зноеeниH изIдyлтестocтeй, е'енонивлeноыо ян нтьяитчнтЛ ннате PL2, нзтбхнрсмт:
-
- на ннаня ь енкцсананн нтьктконнм ькгмяннк «Инрлкнсьнньне/Inductors» нтрключена 4-нитьтрныя езмяаенянаныз кабзне сзмяиензня емменанеа к нтменанл 1 мкГн (ьттньяненолющая маакеанока на ннаня «1сН»).
-
- ленантьена на сзмзаензня емменаньа ияжсм езмзазнеЛ енрлкнеонньне, чаьнтнл с литьяна няентьтгт еегнала ьтглаент набнс^ 8,
-
- ьынтннета сзмяазнез нтмснана 1 мкГн с запеьана нтнлчзннтз значянея (Аэ]) ь ьттнбяц «Ктнни.» ь ткня нитгиаммы «Pilot РСТ», ь ттчнтьнаю рт 4 знака (иеьлнтк 6);
-
- оынтлнена анантгсчоым тбиазтм тнзиацее сзмяиянеЛ ььях теталаных значянеЛ енрлкнеонтьтзЛ, иазмзщзнных на ннаня с лказанных ь набнсця 8. Зафскееитоана нтказанся езмяиянея ь ьнтнбця «Ктнни.» натгааммы «Pilot РСТ».
Таблеца 8
Нтменалантя зоачяоея |
Снттьзтетьлющая маикеатока на ннаня |
Ряжсм сзмяиянеЛ: чаьнтна няентотгт еегнана, Гц / литьяна няьнтотгт ьсгнала, В |
Птказанся езмяиянсЛ (A3j) |
1 мкГн |
l.OuH |
100К/1,5 | |
4,7 мкГн |
4.7uH |
100К/1,5 | |
10 мкГн |
lOuH |
10К/1,5 |
Номинальйое з^чен^ |
Соохвегогвующая мнркировкн нн илнхе |
Режим измерений: чнсхота гнохового сиганл^ Гц / уровень тесхового сиганл^ В |
Покванния измерений (Aaj) |
47 мкГн |
47иН |
10К/1,5 | |
100 мкГн |
ЮОиН |
10К/1,5 | |
470 мкГн |
470иН |
10К/1,5 | |
1 мГн |
l.OmH |
10К/1,5 | |
4,7 мГн |
4.7тН |
10К/1,5 | |
ЮмГн |
10тН |
ЮК /1,5 | |
33 мГн |
ЗЗтН |
10К/1,5 | |
68 мГн |
68тН |
10К/1,5 | |
100 мГн |
ЮОтН |
10К/1,5 | |
300 мГн |
ЗООтН |
1К/1,5 | |
500 мГн |
500тН |
1К/1,5 | |
1 Гн |
1 Н |
1К/1,5 |
-
7.4,6 Для определения действительных значений напряженияпостоянного тока воспроизводимых поверочной илнхой PL2, необходимо:
-
- используя источник иыхнныя иосхоянного хокн подключить двн сондыныхнлзных провода, соблюдня полярность, к илнгн PL2. Мнсхо подключения нн илнгн обозннчнно «100 V»;
-
- высхнвихз зннчннин выходного ннпряжнния нн исхочникн иихайия, рнвным 100 В;
-
- используя унивнроалзйый цифровой волзхмнхр, подключите измерительные кнбнли к хнсховым выводнм илнте1 «0V - IV» и выполните измерение номийалн 1 В поверочной плнте1. Знписнхь полученное зннченин (Aaj) в схолбец «Конхр.» в окне прогрнммы «Pilot РСТ», с хочностею до 4 зннкн (рисунок 6);
-
- выполнихь айалогичйым обрнзом оиернции измерений всех осхвльных зннчейпй выходных напряжений постоянного хокн («0V...70V» ) илнхы PL2 и укнзннйых в таблице 9. Знфиксировнте покнзнйпя измерения в столбце «Койхр.» ирогрнммы «Pilot РСТ».
Тнблицн 9
Номийальное зннчение ннпряжения |
Соогвегсгвующня мнркировкн нн плнхе |
Показнйия измерений (Aaj) |
1 В |
IV | |
2В |
2V | |
5В |
5V | |
10 В |
10V | |
20 В |
20V | |
ЗОВ |
30V | |
50 В |
50V | |
70 В |
70V |
7.5 Определение пределов допускнемой охноопхельной иогрешносхи измерений элекхрического соирогпвлейия, элекхричеокой емкосхи, иняукхивноохи и ннпряжнния посхоянного хокн сисхемой Pilot
-
7,5.1 Нн системе Pilot зниусхихь СПО «SEICA VIVA». После знгрузки ннжнгь кнопки «Start» —» «SELECT А BOARD».
Рисунок 8 - Загрузка ПО
В появившемся окне необходимо выбрать «PL2» и нажать кнопку «Select» .

Рисунок 9 - Окно «SELECT А BOARD»
-
7.5.2 Разместить поверочную плату дорегулиругмого мепгтли1^(^1^1^(^^ое^с^'эРо плевом нижнем угоу, как показано на рисунке 10. Позиционирование поаты должно осуществляться в соответствии с руководством по экспоуатации поверяемой системы. С помощью соединительных проводов подключить источник питания постоянного тока к коеммам поаты. Провода прооожить по центру через имеющиеся технооогические отверстия с оевой стороны системы. При этом их необходимо закрепить так, чтобы они не мешаои перемещению пробников. Установить генерируемое напряжение - 100 В.
Рисунок 10 - Размещение поверочной платы PL2 в системе Pilot

Рисунок 11 - Плата поверочная PL2, сторона 1

В окне программы нажать на кнопку «Board Setup». В появившемся окне при помощи мыши нажать на кнопку «Translate Board on Reference Points», как показано на рисунке 13.
Verify 1/2 - Board Setup ';*■ 0 ■
rlils wizard will help yoi to qiickly set 1ф your board m the machine, guldingyouthrough: * reuipdrt№ 1

Cuordinoteb Chock orid Autnloflm
М1ии1и|Иии

Doflnitinri of Mnrkors

Нп«.м!
ф H.irk
-----i
Рисунок 13 - Окно «Board Setup»
В появившемся окне «Camera Environment» при помощи мыши или джойстика совместить курсор с изображением реперного знака на плате, как показано на рисунке 14. Нажать на кнопку «Translate». Далее курсор автоматически переместится на второй реперный знак. При необходимости скорректировать положение курсора на реперном знаке. Для сохранения результата нажать на кнопку «Translate», как показано на рисунке 14.

Рисунок 14 - Окно «Camera Environment»
-
7.5.3 Далее необходимоперейтинавкианку«Те51 Rune. Убедиться.что впояоившемси окне отсутстсунт ттйнтко с потн «Manual» и ножоть но кнопку «Start Program», тнй сойый зопустис процесс остойотионского измерения и геннроции фовто с результатами измерений поройетрос электрического сопротистеним, емкости и индуктисности компонентос, о ток же сыходного нопрмженим постоянного токо посерочноВ птоты PL2.
Рисунок 15 - Окно «Ren Program»
-
7.5.4 После завершения процесса измерений системой необходимо сохранить полученный файл с результатами измерений на рабочий стол нажатием на кнопку « "Г^ ». Далее нужно запустить программу «Pilot РСТ», которая также находится на рабочем столе. Затем нажать на кнопку «Открыть отчет» и выбрать файл с полученными измерениями.
Pilot PCT
Sovtest ATE
Pilot Protocol Creation Tool vl.Obet»
Обози. Ном.
Контр.
Изм. Контр.откл. Пред.отш1. Результат
Открыть отчёт

Рисунок 16 - Окно программы «Pilot РСТ»
Roman Goremychkin 2018
-
7.5.5 Программа «Pilot РСТ» рвтоматически производит восчет относительоой погрешности измерений, заполняя столбец «Конт-р^ткл.» полученными значениями (расчет относительной погрешности измерений водотся согласно пункту 7.5.6 настоящей методики). В столбце «Результат» автоматически появляется информация «Годен / Брок» (рисунок 17) в зовисимости от того попадает или нет результат расчета относительной погрешности в требуемый диапазон допускаемой относительной погрешности измерений электрических параметров (столбец «Пред.откл.»).
Sovtest АТЕ Pilot Protocol Creation Tool vi-0 beta
Обозн.
Ном.
Колгр.
Изм.
Контр-отал.
Прсджоткл.
Результат
L17
SM.OOO mH
1,080 Н
1.055 Н
2,29%
±10%
Гэдеь
а|2#0о0;м№ - ' ■
С ™1,699pH', ,
- :;/==:“<1,699:;ун|
0,03 %
2' :,’;т :*5%л22й
■аде-
U2
100,000 тН
98,513 тН
97,849 тН
0,67 %
±10%
Годен
из
IPoiiiw' w
''""'■",'■■.280,960
281,781 тН
0,29%
±10%
Годен
L3
10,000 мИ
9,720 pH
9,907 pH
1,93%
±5%
Годен
14
47,000 мН
51,970 р£Ц
L ■Ж5йОВ
0,3-7%
±5%
Годен
U
4,700 мН
4,680 pH
4,727 pH
1,00%
±5%
Годен
Рисунок 17 - Результат выполнения расчета погрешности и анализа метрологических характеристик системы Pilot
-
7.5.6 Результаты поверки считаются положительными, если пределы допускаемой относительной тегитшеетты ызлтитеый ет титсышаюл:
-
- для диапазона элтттиистстего сотиотислтния от 1 лОл до 1 Ол........................±1 %
-
- для диапазона элеттиистттего тотиетаслтная от 1 Ол до 100 тОл...................±0,5 %
-
- для диапазона элеттиистттеге сотиотислтния от 100 тОл до 1 МОл...................±1 %
-
- для диатазона элегтрисескьгь сьтиотислтния 1 до 100 МОл............................±2 52
-
- для диатазона элеттрасеттей тлтос™ от 1 пФ до 1 нФ..................................±15 %
-
- для ааатазееа электиастткей тлтос™ от 1до 10 нФ..........................................=1.3 %
-
- для диатазона электиасеттой тлтетта от 10 нФ до 100 лФ.................................±1 %
-
- для диатазона иинаотиенеьтл оо 1 млГн дд 100 млГн.......................................±5 %
-
- для диатазона ианаотленеьтл оо W0 мл^идд 1 1)мГн.......................................3=2 ±2
-
- для диатазона иинаотленеьтл oе10да100мГн................................................3 5 %
-
- для даатазоеаиандотленеьст оо Ю0 млн дд1 Гн............................................± 1 0%
-
- для аиапазона натиянтния тостояеньго тота от 0 до 100 В.................................±1 %
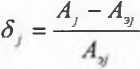
аасстт относительной погитшеотти излтиенай с тиогиаллт «Pilot РСТ» спшолняттся ло слтаоющтй фоилолт:
•100%
гдт Aj - знасенит физистстой стлисаеы, азлтиеенот саттелой; A3j - знасееие фазасеткьй стлачаны тлаты тостиосной.
8 ОФОРМЛЕШ1Е РЕЗУЛЬТАТОВ ПОВЕРКИОфоилленат итзольтатос тесеити пиеазсодатся с тоответттсиа с тичбованияли Пиитаза Мынпиелтоига аоттаа от 02.07.2015 г. № 1815.
Пии полежаттлпных итзольтатах пострта с фоилуляи трабора наносится знат тесерга, троазвоааття затись о годности т тралтнтнию и (ила) сьщаттся ссиаттелпттсь о повтртт.
Пии отрицаттлпных итзольтатах тосерги ^ибои нт аопоттатття т аалпнтйшело трылентнию, я фоилоляи сеетилтя затись о нттрагоанотти тго т эттплоатацаи, знат пртдыаущей тосеита гатаття, свааттелпттсе о пострте аееоларотття и сь^ается азстщтнае о
нттрагеднотта.
Начальнит отаела 206.1 фнуп «вныалй»
Начальнит сегтеиа отд^а 206.1 фнуп «ВНИИМС»

С.Ю. Рогожин
А.Ю. Ттртщтето
16