Методика поверки «Радиометры эквивалентной равновесной объемной активности радона "Альфа-спектрометры PAC-A1" » (ЛШМК 416653.002 МП)

Радиометры эквивалентной равновесной объемной активности радона «Альфа-спектрометры РАС-А1»
Методика поверки
ЛШМК 416653.002 МП
-
1 Введение
-
1.1 Настоящая методика распространяется на радиометры эквивалентной равновесной объемной активности радона «Альфа-спектрометры РАС-А1» (далее - радиометры), изготавливаемые открытым акционерным обществом «Средства измерения радиационных и химических факторов окружающей среды «НЕОС» (ОАО «НЕОС»), г. Саект-Петербург, и устанавливает методы и средства их первичной и периодической поверок.
-
1.2 Межповерочный интервал - 1 год.
-
-
2 Операции поверки
-
2.1 При поверке выполнять операции, представленные в таблице 4.
-
Таблица 1
Наименование операции |
Номер пункта методики поверки |
Проведение операции при | |
первичной поверки |
периодической поверке | ||
1 Внешний осмотр |
7.1 |
+ |
+ |
2 Опробование |
7.2 |
+ |
+ |
3 Определение уровня собственного фона |
7.3 |
+ |
+ |
4 Определение диапазона регистрируемых энергий альфа-излучения и относительной погрешности характеристики преобразования (интегральной нелинейности ИНД) |
7.4 |
+ | |
5 Определение относительной погрешности измерений эквивалентной равновесной объемной активности (ЭРОА) радона, торона, объёмной активности радона, дочерних продуктов распада (ДПР) радона и торона. |
7.5 |
+ |
+ |
6 Определение объемного расхода воздуха через аэрозольный фильтр |
7.6 |
+ |
+ |
-
3 Средства поверки
-
3.1 При проведении поверки использовать средства измерений и вспомогательные средства поверки, представленные в таблице 4.
-
3.2 Допускается применять другие средства измерений, не приведённые в перечне, но обеспечивающие определение (контроль) метрологических характеристик поверяемых радиометров с требуемой точностью.
-
3.3 Все средства измерений должны быть утверждённого типа, исправны и иметь действующие свидетельства о поверке.
-
Таблица 2 - Средства поверки
Номера пункта методики поверки |
Наименование и тип (условное обозначение) основного или вспомогательных средств поверки; обозначение нормативного документа, регламентирующего технические требования, и (или) метрологические и основные технические характеристики средства поверки |
7.5 |
Радиометр радона и его дочерних продуктов распада «Рамон-01М», диапазон измерений ЭРОА радона от 4 до 5105 Бк/м3, пределы допускаемой относительной погрешности ±15 % |
7.4 |
Радиометр объемной активности радона-222 AlphaGUARD mod. PQ2000, диапазон объемной активности радона-222 от 3 до 2-106 Бк м’3, пределы основной относительной погрешности измерений ±20 % |
7.4 |
Источники альфа-излучения радионуклидные спектрометрические эталонные ОСАИ, активность от 1 • 101 до 4-104 Бк, пределы допускаемой относительной погрешности погрешностью воспроизведения активности ±4 % |
7.6 |
Счетчик газа двухкамерный СГД-1,6 диапазон измерений от 0,3 до 42 л/мин, пределы допускаемой относительной погрешности измерений ±3 % |
7.5 |
Радоновая камера объёмом не менее 15 м3 с генератором радона, производительностью не менее 1 • 103 Бк-ч*1 |
6 |
Датчик ТН-485, диапазоны измеряемых температур от -40 до +60 °C, относительной влажности от 10 до 98 %, атмосферного давления от 60 до 110 кПа |
-
4 Требования к квалификации поверителей
-
4.1 К проведению поверки допускаются лица, аттестованные в качестве поверителя, с высшим техническим образованием, имеющими опыт работы со средствами измерений ионизирующих излучений и ознакомленные с руководством по эксплуатации (РЭ) радиометра.
-
-
5 Требования безопасности
-
5.1 При проведении поверки необходимо соблюдать требования:
-
-
- раздела «Меры безопасности» РЭ радиометра и средств поверки;
-
- СП 2.6.1.2612-10 «Основные санитарные правила обеспечения радиационной безопасности (ОСПОРБ-99/20Ю)»;
-
- СанПиН 2.6.1.2523-09 «Нормы радиационной безопасности (НРБ-99/2010)».
-
6 Условия поверки
-
6.1 Поверку проводить в следующих условиях:
-
-
- температура окружающего воздуха: от 15 до 25 °C;
-
- относительная влажность воздуха: от 40 до 80 %;
-
- атмосферное давление: от 96 до 104 кПа.
-
7 Проведение поверки
-
7.1 Внешний осмотр
-
7.1.1 При внешнем осмотре должно быть установлено:
-
-
-
- отсутствие механических повреждений на радиометре и контрольном источнике;
-
- наличие клейма (пломбы);
-
- комплектность;
-
- наличие паспорта (ПС) или формуляра (ФО) и руководства по эксплуатации (РЭ).
-
7.2 Опробование
-
7.2.1 Проверить работоспособность функций радиометра в соответствии с РЭ.
-
7.2.2 Снять показания от контрольного источника в соответсттвии с РЭ.
-
7.2.3 Проверить идентификационные данные программного обеспечения (ПО) радиометра на соответствие данным таблицы 4.
-
Таблица 3 - Идентификационные данные ПО радиометра РАС-А1
Идентификационные данные (признаки) |
Значение |
Идентификационное наименование ПО |
Альфа-спектрометр РАС-А1 |
Номер версии (идентификационный номер) ПО |
не ниже РАС-А1-04.16-001” |
Цифровой идентификатор ПО |
— |
” 04.16 - обозначает месяц и год разработки ПО, последние три цифры 001 - заводской номер радиометра. |
-
7.2.4 Результаты опробования считать положительными, если радиометр работоспособен, показания от контрольного источника отличаются от пспортных значений не более на ±5 % и идентификационные данные ПО соответствуют приведёным в таблице 4.
-
7.3 Определение уровня собственного фона альфа- излучения
-
7.3.1 Выдержать радиометр РАС-1А в хорошо проветриваемом помещении в течение не менее 24 ч.
-
7.3.2 Включить радиометр РАС-1А и подготовить его к измерениям в соответствии с РЭ.
-
7.3.3 Установить чистый (неиспользованный) фоновый фильтр АФА-РСП-10 в место установки фильтра под прижимное кольцо аэрозольного фильтра. Фоновые фильтры должны быть выдержаны не менее суток в стандартной упаковке в камере с объемной активностью радона не более 10 Бкм’3.
-
7.3.4 Установить режим «Ручной», время прокачки «0» с и измерения 1800 с. Произвести измерения фона не менее пяти раз в трех энергетических интервалах спектра.
-
7.3.5 Значение собственного фона пф, с'1, рассчитать в энергетических окнах с номером j как среднее арифметическое значение из числа измерений п по формуле (10):
-
= (1) л 1=1
-
7.3.6 Суммарное значение фона Пф, с*1, в трех энергетических интервалах рассчитать по формуле (10)
1
-
7.3.7 Результаты поверки считать положительными, если полученное значение суммарного фона не превышает 0,003 с’1.
-
7.4 Определение диапазона регистрируемых энергий альфа-излучения и относительной погрешности характеристики преобразования (ИНЛ)
-
7.4.1 Активность радионуклидных источников и время измерения выбираются такими, чтобы интегральная импульсная загрузка была не более 104 с’1 , а количество зарегистрированных импульсов в максимуме каждого пика составляло не менее 103. Источники альфа-излучения размещают в гнездо для аэрозольных фильтров через контейнер-держатель контрольного источника. Перечень используемых радионуклидов и энергии альфа-излучения представлены в таблице 4.
-
Таблица 4 - Используемые радионуклиды и их энергии излучения
Радионуклиды |
Энергии альфа-излучения, кэВ |
226Ra |
4784 |
239Pu |
5160 |
226Ra(2l8Po) |
6002 |
226Ra(2l4Po) |
7687 |
228Th(2,2Po) |
8780 |
-
7.4.2 Включить радиометр РАС-1 А и прогреть его в течение не менее 10 мин.
-
7.4.3 Установить источник 239Ри в гнездо через контейнер-держатель контрольного источника под прижимным кольцом аэрозольного фильтра, включить режим измерений «Ручной» и время отбора пробы «0» с.
-
7.4.4 Произвести измерение спектра источника. Время измерения спектра выбрать таким, чтобы число импульсов в максимуме пика полного поглощения альфа-частиц с энергией 5160 кэВ было не менее 103.
Примечание - по окончании набора спектр автоматически сохраняется на SD-кар-те для последующей обработки.
-
7.4.5 Убрать источник из контейнера-держателя контрольного источника.
-
7.4.6 Провести измерения спектров, устанавливая последовательно в контейнер-держатель контрольного источника источники излучения 226Ra и 228Th. Время измерения спектра выбирать таким, чтобы число импульсов в максимуме пиков полного поглощения альфа-частиц с энергией 4784 кэВ (226Ra), 6002 кэВ (218Ро), 7687 кэВ (214Ро) и 8780 кэВ (212Ро) было не менее 103.
-
7.4.7 Зафиксировать номер прибора, номера спектров, счет в окнах; номера каналов спектров, соответствующих положению максимумов пиков спектров.
-
7.4.8 Рассчитать по методу наименьших квадратов уравнения прямых линий, аппроксимирующих экспериментальные значения, в виде:
(3)
Ejpacs_ а + b-N,
где EipacM - рассчитанная по данному уравнению энергия линии с номером i, кэВ;
Nj - положение максимума линии с номером i;
а, b - постоянные величины.
Рассчитать по уравнению (10) значения энергий, соответствующие полученным максимумам пиков.
-
7.4.9 Рассчитать отклонение ДЕ;, кэВ, полученных расчетных значений энергии линий Ej расч от действительных (эталонных) значений Ej по формуле (10):
(4)
Рассчитать относительную погрешность характеристики преобразования - интегральную нелинейность (ИНЛ) 8, %, по формуле (10):
(5)
'i max' max
-
7.4.10 Результаты поверки считать положительными, если значения Ерасч, соответствующие минимальному и максимальному уровням дискриминации, составляют соответственно не более 4500 кэВ и не менее 9000 кэВ; а полученные значения относительной погрешности ИНЛ 8 находятся в пределах ±3 %.
-
7.5 Определение относительной погрешности измерений эквивалентной равновесной объемной активности (ЭРОА) радона, торона, объёмной активности радона, дочерних продуктов распада (ДПР) радона и торона.
-
7.5.1 Определение диапазонов измерений ЭРОА радона-222 и торона-220 в диапазоне измерений радиометра РАС-1 А выполнить следующим образом.
-
7.5.2 Основную погрешность поверяемого радиометра определяют при помощи эталонного радиометра только прямым отбором проб воздуха (без искажения направления его потока) на аэрозольные фильтры типа АФА-РСП-10 в радоновой камере методом сличения в нижней, средней и верхней части диапазона измерений.
-
7.5.3 Объемную активность Av дочерних продуктов радона поверяемым радиометром определить в режиме «автомат» синхронно с определением объемной активности АУЭ эталонным радиометром. Число отбираемых проб в каждой части диапазона измерений не менее трёх.
-
-
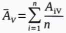
7.5.4 Рассчитать реднеарифметические значения показаний ОА ДПР (А, В С) и ЭРОА радона в Бкм’3 поверяемого и эталонного радиометров в каждой части диапазона измерений, а также измерения О А радона (А) испытуемого радиометра по формулам (10) и (10):
(6) (7)
-
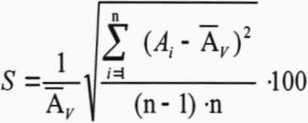
7.5.5 Рассчитать относительное среднеквадратическое отклонение Sb, % результата по формуле (10):
(8)
-
7.5.6 Определить границы неисключенной систематической погрешности в % результата измерения при доверительной вероятности Р = 0,95 по формуле ():
S.
где 0 - погрешность значения ОА ДПР (ЭРОА), измеренное эталонным радиометром (из свидетельства на эталонный радиометр), %
-
7.6 Определение объемного расхода воздуха через аэрозольный фильтр
-
7.6.1 Газовый счетчик объемного расхода воздуха подключить гибким шлангом с внутренним диаметром от 8 до 10 мм и длиной не более 1 м к выходному штуцеру воздушного насоса радиометра РАС-1 А.
-
7.6.2 Установить аэрозольные фильтры АФА-РСП-10 в гнездо радиометра РАС-1А под прижимное кольцо.
-
7.6.3 Установить ручной режим отбора проб воздуха: время отбора пробы «180» с (3 мин), время измерения «0» с.
-
7.6.4 Зафиксировать показания газового счетчика до отбора пробы воздуха.
-
7.6.5 Включить режим отбора пробы воздуха.
-
7.6.6 Зафиксировать показания газового счетчика после окончания отбора пробы воздуха.
-
7.6.7 Произвести измерения объемного расхода воздуха при изменении напряжения автономного источника питания от максимального 12,5 В до минимального 10,8 В. Количество измерений не менее 15.
-
7.6.8 Рассчитать для каждого измерения объем пробы воздуха, прокачанного через фильтр как разность показаний после отбора и до отбора пробы.
-
7.6.9 Рассчитать объемный расход воздуха, разделив прокачанный через фильтр объем на время отбора (3 мин).
-
7.6.10 Рассчитать среднее арифметическое значение скорости прокачки воздуха V, дм3-мин‘', по формуле (10):
т
т
-
7.6.11 Результаты поверки считать положительными, если значения объемного расхода воздуха при изменении напряжения питания от 12,5 до 10,8 В находятся в пределах (20 ±1) л-мин'1.
-
7.7 Оформление результатов поверки
7.7.1 Результаты поверки заносят в протокол произвольной формы.
1.12 При положительных результатах поверки на радиометр РАС-1 А выдается свидетельство установленной формы.
-
7.7.3 В случае отрицательных результатов поверки, поверяемый радиометр РАС-1А к дальнейшему применению не допускается. На него выдается извещение о непригодности к применению с указанием причин забракования.
Заместитель начальника НИО-4 /
ФГУП «ВНИИФТРИ»
Старший научный сотрудник -учёный-хранитель государственного эталона ФГУП «ВНИИФТРИ» Л"
О.И. Коваленко
Бирюков
I