Методика поверки «Спектрометры рентгенофлуоресцентные многоэлементные HD MAXINE» (МП 242-1795-2015)
УТВЕРЖДАЮ
ФГУП

Методика поверки
МП 242-1795-2015
л h.G'-{бРуководитель отдела
Д.А. Конопслько
ФГУП «ВНИИМ им .И. Менделеева»
Старший научный сотрудник
ФГУП «ВНИИМ им. Д.И. Менделеева»
М.А. Мешалкин
С. Петербург 2015 г.
Настоящая методика поверки распространяется на спектрометры рентгенофлуоресцентные многоэлементные HD MAXINE (далее по тексту спектрометры) и устанавливает методы и средства их первичной поверки после ввода в эксплуатацию и после ремонта и периодической поверки в процессе эксплуатации. Интервал между поверками - 1 год.
-
1. ОПЕРАЦИИ ПОВЕРКИ
-
1.1. При проведении поверки должны быть выполнены следующие операции:
-
Таблица 1
|
N п/п |
Наименование операций |
Номер пункта методики |
Обязательность проведения | |
|
в эксплуатации |
после ремонта | |||
|
1. |
Внешний осмотр. Проверка комплектности. |
6.1 |
да |
да |
|
2. |
Опробование. |
6.2 |
да |
да |
|
3. |
Проверка соответствия ПО |
6.3 |
да |
да |
|
4. |
Определение метрологических характеристик. |
6.4 |
да |
да |
Примечание:
При отрицательных результатах поверки по какому-либо пункту настоящей методики дальнейшая поверка спектрометра прекращается, и он признается прошедшим поверку с отрицательным результатом.
-
2. СРЕДСТВА ПОВЕРКИ
-
1. Барометр-анероид М-110.
-
2. Термогигрометр «Метеоскоп».
-
3. Стандартный образец содержания металлов в нефтепродуктах ГСО 10066-2012 или аналогичный по составу и метрологическим характеристикам.
-
4. Стандартные образцы состава водных растворов ионов кобальта ГСО 7880-2001, ионов свинца ГСО 7878-2000, ионов меди 7836-2000 или аналогичные по составу и метрологическим характеристикам.
-
5. Изооктан эталонный по ГОСТ 12433-83.
-
6. Вода для лабораторного анализа 1-ой степени очистки по ГОСТ Р 52501-2005.
-
7. Меры вместимости 2-го класса точности по ГОСТ 29227, 29169, 1770
Допускается применение других средств поверки, допущенные к применению в установленном порядке и имеющих метрологические характеристики не хуже указанных.
Все средства должны иметь действующие свидетельства о поверке, а ГСО - действующие паспорта.
-
3. УСЛОВИЯ ПОВЕРКИ
3.1. При проведении поверки должны быть соблюдены следующие условия:
|
диапазон температуры окружающей среды диапазон атмосферного давления диапазон относительной влажности воздуха напряжение питания частота питания переменного тока |
(20 ± 5) °C; от 84 до 106,7 кПа; не более 80 %; (220+22.зз)В; (50 ± 1)Гц. |
-
3.2. Напряжение линии питания должно быть устойчивым и свободным от скачков.
-
3.3. Механические воздействия, наличие пыли, агрессивных примесей, внешние электрические и магнитные поля (кроме земного) и отклонения от рабочего положения не допускаются.
-
4. ТРЕБОВАНИЯ БЕЗОПАСНОСТИ и ТРЕБОВАНИЯ К КВАЛИФИКАЦИИ ПОВЕРИТЕЛЕЙ
Требования безопасности должны соответствовать рекомендациям, изложенным в Руководстве по эксплуатации спектрометров.
К проведению поверки допускаются лица, имеющие техническое образование, изучившие руководство по эксплуатации и методику поверки и имеющие навык работы с прибором.
Для получения данных, необходимых для поверки, опускается участие в поверке оператора, обслуживающего спектрометр или сервис-инженера (под контролем поверителя).
-
5. ПОДГОТОВКА К ПОВЕРКЕ
При подготовке к поверке необходимо выполнить следующие операции:
-
- включить питание прибора от сети переменного тока;
-
- осуществить прогрев прибора (не менее двух часов)
-
6. ПРОВЕДЕНИЕ ПОВЕРКИ
-
6.1. Внешний осмотр
-
6.1.1. При внешнем осмотре должно быть установлено:
-
-
-
• соответствие маркировки спектрометра технической документации.
-
• отсутствие внешних повреждений и загрязнений, влияющих на работоспособность спектрометра;
-
• четкость всех надписей;
-
• исправность органов управления.
Спектрометр считается выдержавшим внешний осмотр, если он соответствуют перечисленным выше требованиям.
-
6.2. Опробование.
Опробование (самотестирование прибора) производится автоматически после включения питания. В случае успешного прохождения опробования (тестирования) на экране монитора появляется стартовое окно программы управления прибором.
-
6.3. Проверка соответствия программного обеспечения
6.3.1 Определение номера версии (идентификационного номера) программного обеспечения.
Определение осуществляется следующим образом:
- в интерфейсе пользователя на сенсоре в строке команд щелкнуть мышью на вкладке System Info. В открывшемся окне номер версии находится в пункте Firmware Version после наименования ПО. Копия экрана с окном приведена на рисунке 1.
Ий MAXINE

Print ■ Measure
Summary | Full Result | Scan Into
Spectrum
Solver Version:
2.4.9-21
HW Server Version:
1.5.25
Detector Version:
ь
System Serial Number:
HDMX-140327001
CUI Software Version:
2,0.0 2482
Firmware Version:
XOS (HO MAXINE 1.3.110P3 56

3SSLL) 6.08
OS Version:
Wjnd<ws7 6.1
Рис.1 Окно с названием и номером версии ПО
Спектрометр считается выдержавшим поверку по п.6.3, если номер версии ПО не ниже 1.3.1 Версия ПО может иметь дополнительные цифровые или буквенные суффиксы после указанных трех цифр.
-
6.4. Определение метрологических характеристик
-
6.4.1. Для проведения поверки должны быть установлены параметры прибора, указанные в таблице 2.
-
Таблица 2
|
Колонка и поле |
Описание |
|
Колонка «SAMPLE» (образец): | |
|
Раскрывающийся список «Matrix» (матрица) |
Выбирают материал для измерения: |
| |
|
Поле «Name» (наименование) |
Вводят наименование для сканирования. |
|
Поле «Lot» (партия, серия) |
При сканировании нескольких различных образцов можно идентифицировать их с использованием уникальных наименований партии или серии |
|
Поле «Description» (описание) |
Вводят текстовое описание для сканирования |
|
Поле «Date/Time» (дата/время) (заполняется автоматически) |
Это поле содержит месяц, день, год и время сканирования |
|
Колонка «OPTIMIZATION» (оптимизация): | |
|
Раскрывающийся список «Optimization» |
Для оптимизации результатов измерения можно выбрать несколько параметров:
|
|
Колонка «OPERATOR» (оператор): | |
|
Поле «Last Name» (фамилия) |
Вводят фамилию оператора |
|
Поле «First Name» (имя) |
Вводят имя оператора |
|
Колонка «STANDARD» (стандарт): | |
|
Раскрывающийся список «Standard» |
Выбирают требуемый предел измерения для каждого измеряемого элемента в ppm (млн1) |
6.4.2. Для проведения поверки должны быть приготовлены поверочные растворы, указанные в п.п. 6.4.2.1 - 6.4.2.4.
-
6.4.2.1. Согласно указаниям приложения 1, из стандартных образцов, указанных в разделе 2, пункт 4, приготовить поверочный раствор №4 на основе воды для лабораторного анализа, содержащий элементы со следующими массовыми концентрациями:
Со - 100±10 мг/дм3 (млн-1);
РЬ - 100±10 мг/дм3 (млн'1);
Си - 100±10 мг/дм3 (млн-1);
-
6.4.2.2. Поверочным (фоновым) раствором №1 является вода для лабораторного анализа.
-
6.4.2.3. Поверочным (фоновым) раствором №2 является изокотан эталонный.
-
6.4.2.4. В качестве поверочного раствора №3 используется стандартный образец содержания металлов в нефтепродуктах ГСО 10066-2012 с номинальным содержанием элементов (железа, марганца, свинца) 100 млн'1. Действительное значение содержания указано в паспорте на ГСО.
-
6.4.3. Определение относительного СКО выходного сигнала.
-
6.4.3.1. Используя контрольный раствор №3 измерить интенсивность спектральных линий каждого указанного элемента.
-
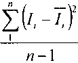
6.4.3.2. Операцию по п. 6.4.2.1 повторить еще 9 раз. Вычислить среднее значение интенсивности каждой линии (/, ).
-
6.4.3.3. Используя контрольный раствор №4 измерить интенсивность спектральных линий каждого указанного элемента.
-
6.4.3.4. Операцию по п. 6.4.2.3 повторить еще 9 раз. Вычислить среднее значение интенсивности каждой линии (Д ).
-
6.4.3.5. По полученным данным для каждого элемента, применяя программное обеспечение спектрометра или электронные таблицы EXCEL, вычислить СКО выходного сигнала (S).


(1)
-
6.4.3.6. Вычислить относительное СКО выходного сигнала (Sr) по формуле:
£хЮ0%
(2)
А
-
6.4.3.7. Прибор считается выдержавшим поверку по п.6.4.3, если ни одно из получен
ных значений относительного СКО не превышает значений указанных в таблице 3.
Таблица 3
Относительное СКО выходного сигнала
|
Относительное СКО выходного сигнала’(п=10), %, не более: | |
|
-марганец |
10 |
|
-железо |
4,0 |
|
-свинец |
6,0 |
|
-кобальт |
5,0 |
|
-свинец |
1,0 |
|
-медь |
5,0 |
-
6.4.4. Определение пределов обнаружения.
-
6.4.4.1. Измерить интенсивность выходного сигнала при использовании поверочного (фонового) раствора №1. Измерение повторить еще 9 раз.
-
6.4.4.2. Измерить интенсивность выходного сигнала при использовании поверочно-го(фонового) раствора №2. Измерение повторить еще 9 раз.
-
6.4.4.3. По полученным данным для каждого элемента, применяя программное обеспечение спектрометра или электронные таблицы EXCEL, вычислить СКО выходного сигнала (S) для каждого элемента отдельно.
-
6.4.4.4. Вычислить предел обнаружения элемента по следующей формуле:
(-•пробы
ПрО=Зх8фонах“-------- (3)
'пробы 'фона
где: Sedona- стандартное отклонение интенсивности фонового сигнала;
Спробы- содержание металла в пробе;
Еробы- интенсивность сигнала пробы (среднее по 10 измерениям);
1фона- интенсивность фонового сигнала (среднее по 10 измерениям).
-
6.4.4.5. Спектрометр считается прошедшим поверку по п. 6.4.4, если пределы обнаружения не превышают значений, указанных в таблице 4.
Таблица 4
Пределы обнаружения элементов
|
Пределы обнаружения контрольных элементов в жидких углеводородах3, млн'1, не более: | |
|
-марганец |
0,5 |
|
-железо |
0,5 |
|
-свинец |
0,5 |
|
Пределы обнаружения контрольных элементов в водных растворах4, млн'1, не более: | |
|
-кобальт |
0,5 |
|
-свинец |
1,0 |
|
-медь |
0,5 |
-
7. ОФОРМЛЕНИЕ РЕЗУЛЬТАТОВ ПОВЕРКИ
-
7.1. Спектрометры, удовлетворяющие требованиям настоящей методики поверки, признаются годными. Результаты поверки регистрируются в протоколе, форма которого представлена в Приложении 1.
-
7.2. При положительных результатах поверки оформляется свидетельство о поверке установленной формы.
-
-
7.4. Спектрометры, не удовлетворяющие требованиям настоящей методики, к дальнейшей эксплуатации не допускается и на них выдается извещение о непригодности.
Приложение 1
Приготовление раствора ионов металлов в дистиллированной воде массовой концентрации 100 мг/дм3 (100 млн'1)
1. При помощи градуированной пипетки номинальной вместимостью 10 см3 переносят 5 см3 каждого стандартного образца с номинальным значением массовой концентрации 1 г/дм3 (действительное значение указано в паспорте) в мерную колбу с притертой пробкой вместимостью 50 см3, разбавляют до метки дистиллированной водой и перемешивают.
Действительное значение массовой концентрации металла в растворе (С/, мг/дм3) вычисляют по формуле:
V,' к
где Со - действительное значение массовой концентрации иона металла в стандартном образце, мг/дм3;
Vo - объем исходного раствора (стандартного образца), использованный для приготовления данного раствора;
VK - объем приготовленного раствора.
8
'Для поверочного раствора №3.
Для поверочного раствора №4
Для расчета используются данные, полученные с использованием фонового раствора №2 и поверочного раствора №3;
Для расчета используются данные, полученные с использованием фонового раствора №1 и поверочного раствора №4.
