Методика поверки «ГСИ. Комплекс автоматизированный измерительно-вычислительный ТМСА 0.1-18.0 Д 101» (133-20-01 МП)
УТВЕРЖДАЮ
Первый заместитель генерального
Государственная система обеспечения единства измерений
Комплекс автоматизированный измерительно-вычислительный
ТМСА 0.1-18.0 Д 101
Методика поверки
133-20-01 МП
2020 г.
СОДЕРЖАНИЕ
-
-
8.3 Определение метрологических характеристик
-
8.3.1 Определение пределов допускаемой инструментальной погрешности измерений уровней
-
амплитудных и фазовых диаграмм направленности
-
8.3.3 Определение пределов допускаемой погрешности измерений уровней амплитудных,
фазовых и поляризационных диаграмм направленности
-
8.3.4 Определение пределов допускаемой погрешности измерений коэффициента усиления
методом замещения и диапазона рабочих частот
-
8.3.5 Определение диапазона изменения углов поворота опорно-поворотного устройства (ОПУ)
-
1.1 Настоящая методика поверки (далее - МП) устанавливает методы и средства первичной и периодической поверок комплекса автоматизированного измерительно-вычислительного ТМСА 0.1-18.0 Д 101 (далее - комплекс), заводской № 101, изготовленного ООО «ТРИМ СШП Измерительные системы», г. Санкт-Петербург.
Первичная поверка комплекса проводится при вводе его в эксплуатацию и после ремонта.
Периодическая поверка комплекса проводится в ходе его эксплуатации и хранения.
-
1.2 Комплекс предназначен для измерения радиотехнических характеристик антенн в диапазоне частот от 0,2 до 18,0 ГГц.
-
1.3 Поверка комплекса проводится не реже одного раза в 24 (двадцать четыре) месяца.
-
1.4 Допускается проведение поверки отдельных измерительных каналов (частотных поддиапазонов) комплекса с обязательным указанием объёма проведённой поверки в свидетельстве о поверке.
При проведении поверки комплекса должны быть выполнены операции, указанные в таблице 1.
Таблица 1 - Операции поверки
|
Наименование операции |
Пункт МП |
Проведение операций при | |
|
первичной поверке |
периодической поверке | ||
|
1 Внешний осмотр |
8.1 |
+ |
+ |
|
2 Опробование |
8.2 |
+ |
+ |
|
3 Определение метрологических характеристик |
8.3 |
+ |
+ |
|
3.1 Определение пределов допускаемой инструментальной погрешности измерений уровней амплитудных и фазовых диаграмм направленности |
8.3.1 |
+ |
+ |
|
3.2 Определение динамического диапазона |
8.3.2 |
+ |
+ |
|
3.3 Определение пределов допускаемой погрешности измерений уровней амплитудных, фазовых и поляризационных диаграмм направленности |
8.3.3 |
+ |
- |
|
3.4 Определение пределов допускаемой погрешности измерений коэффициента усиления методом замещения и диапазона рабочих частот |
8.3.4 |
+ |
- |
|
3.5 Определение диапазона изменения углов поворота опорно-поворотного устройства (ОПУ) и диапазона перемещения ОПУ по слайдеру, определение абсолютной погрешности установки углового положения ОПУ и установки положения ОПУ по слайдеру |
8.3.5 |
+ |
- |
-
3.1 При проведении поверки комплекса должны быть применены средства измерений, указанные в таблице 2.
Таблица 2 - Средства измерений и вспомогательное оборудование для поверки комплекса
|
Пункт МП |
Наименование и тип (условное обозначение) основного или вспомогательного средства поверки; обозначение нормативного документа, регламентирующего технические требования, и (или) метрологические и основные технические характеристики средства поверки |
|
8.3.1 |
Анализатор электрических цепей векторный ZVA50. Регистрационный № 48355-11. Диапазон частот от 0,01 до 50 ГГц, динамический диапазон для диапазона частот от 1 до 46 ГГц не менее 110 дБ, нелинейность приёмных устройств не более 0,1 дБ. Антенна измерительная дипольная П6-121. Номер в Госреестре 58703-14. Диапазон частот от 30 до 300 МГц. Пределы допускаемой погрешности коэффициента калибровки ± 2,0 дБ. Антенна измерительная П6-62. Номер в Госреестре 28932-05. Диапазон частот от 300 до 1000 МГц. Пределы допускаемой погрешности коэффициента калибровки ± 2,0 дБ. Антенная система П6-123 из состава антенного измерительного комплекта АИК 1-40Б (номер в Госреестре 55403-13). Диапазон частот от 0,9 до 12,4 ГГц. Пределы допускаемой погрешности коэффициента калибровки ±1,8 дБ. Рупор измерительный широкополосный П6-128. Номер в Госреестре 58705-14. Диапазон частот от 12,0 до 40,0 ГГц. Пределы допускаемой погрешности коэффициента усиления в диапазоне частот от 12 до 18 ГГц: ± 2,0 дБ. Аттенюатор ступенчатый программируемый Agilent 84908М. Номер в Госреестре 60239-15. Диапазон частот от 0 до 50,0 ГГц. |
|
8.3.2 |
Аттенюатор ступенчатый программируемый Agilent 84908М. |
|
8.3.3 |
Эталоны и испытательное оборудование не применяются |
|
8.3.4 |
Эталоны и испытательное оборудование не применяются |
|
8.3.5 |
Система лазерная координатно-измерительная Leica Absolute Tracker АТ401. Номер в Госреестре 48561-11. Диапазон измерений расстояний от 1,5 до 60000 мм, предел допускаемой основной абсолютной погрешности объемных измерений ±15 мкм + 6 мкм/м. |
-
3.2 Допускается использовать аналогичные средства поверки, которые обеспечат измерения соответствующих параметров с требуемой точностью.
-
3.3 Средства поверки должны быть исправны, поверены и иметь свидетельства о поверке.
-
3.4 При проведении поверки комплекса должно применяться вспомогательное оборудование, указанное в таблице 2.
-
4.1 Поверка должна осуществляться лицами с высшим или средним техническим образованием, аттестованными в качестве поверителей в области радиотехнических измерений и имеющими квалификационную группу электробезопасности не ниже третьей.
-
4.2 Перед проведением поверки поверитель должен предварительно ознакомиться с документом «Комплекс автоматизированный измерительно-вычислительный ТМСА 0.1-18.0 Д 101. Руководство по эксплуатации. ТМСА 101.018.00Д РЭ. Книга 1» (далее - РЭ).
-
5.1 При проведении поверки должны быть соблюдены все требования безопасности в соответствии с ГОСТ 12.3.019-80 «ССБТ. Испытания и измерения электрические. Общие требования безопасности», а также требования безопасности, приведённые в эксплуатационной документации на составные элементы комплекса и средства поверки.
-
5.2 Размещение и подключение измерительных приборов разрешается производить только при выключенном питании.
-
6.1 При проведении поверки комплекса должны соблюдаться условия, приведенные в таблице 3 (если иное не оговорено в РЭ).
Таблица 3 - Условия проведения поверки комплекса
|
Наименование параметра |
Значение параметра |
|
Температура окружающего воздуха, °C |
от 15 до 25 |
|
Атмосферное давление, кПа |
от 86 до 106 |
|
Относительная влажность воздуха, % |
от 30 до 70 |
|
Напряжение сети электропитания переменного тока, В |
от 198 до 242 |
|
Частота сети электропитания переменного тока, Гц |
от 49 до 51 |
-
7.1 Проверить наличие эксплуатационной документации и срок действия свидетельств о поверке на средства поверки.
-
7.2 Подготовить средства поверки к проведению измерений в соответствии с руководствами по их эксплуатации.
-
8 ПРОВЕДЕНИЕ ПОВЕРКИ
-
8.1.1 При проведении внешнего осмотра комплекса проверить:
-
- комплектность и маркировку комплекса;
-
- наружную поверхность элементов комплекса, в том числе управляющих, питающих и радиочастотных кабелей, а также целостность СВЧ-соединителей;
-
- состояние органов управления;
-
- наличие свидетельства о поверке на векторный анализатор цепей (ВАЦ).
-
8.1.2 Проверку комплектности комплекса проводить путем сличения действительной комплектности с данными, приведенными в разделе «Комплектность» документа
«Комплекс автоматизированный измерительно-вычислительный ТМСА 0.1-18.0 Д 101. Паспорт. ТМСА 101.018.00Д ПС» (далее - ПС).
-
8.1.3 Проверку маркировки производить путем внешнего осмотра и сличением с данными, приведенными в ПС.
-
8.1.4 Результаты внешнего осмотра считать положительными, если:
-
- комплектность и маркировка комплекса соответствуют ПС;
-
- наружная поверхность элементов комплекса не имеет механических повреждений и других дефектов;
-
- управляющие, питающие и радиочастотные кабели, а также СВЧ-соединители не имеют механических и электрических повреждений;
-
- органы управления закреплены прочно и без перекосов, действуют плавно и обеспечивают надежную фиксацию;
-
- все надписи на органах управления и индикации четкие и соответствуют их функциональному назначению;
-
- имеется свидетельство о поверке ВАЦ.
В противном случае результаты внешнего осмотра считать отрицательными и последующие операции поверки не проводить.
8.2 Опробование-
8.2.1 Идентификация программного обеспечения (далее - ПО)
-
8.2.1.1 Включить персональные компьютеры (далее - ПК), для чего:
-
-
- на блоке источника бесперебойного питания нажать кнопку ВКЛ;
-
- нажать на системном блоке ПК кнопку включения;
-
- включить монитор.
Установить далее на ПК программу, позволяющую определять версию и контрольную сумму файла по алгоритму MD5, например, программу «HashTab».
-
8.2.1.2 Выбрать в папке файл FrequencyMeas.exe, нажать на правую кнопку мыши на файле и выбрать пункт «Свойства». Открыть вкладку «Хеш-суммы файлов». Наблюдать контрольную сумму файла FrequencyMeas.exe по алгоритму MD5. Открыть вкладку «О программе». Наблюдать значение версии файла FrequencyMeas.exe. Результаты наблюдения зафиксировать в рабочем журнале.
-
8.2.1.3 Повторить операции п. 8.2.1.2 для файла AmrView.exe.
-
8.2.1.4 Сравнить полученные контрольные суммы и версии с их значениями, записанными в РЭ. Результат сравнения зафиксировать в рабочем журнале.
-
8.2.1.5 Результаты идентификации ПО считать положительными, если полученные идентификационные данные ПО соответствуют значениям, приведенным в таблице 4.
Таблица 4 - Идентификационные данные ПО
|
Идентификационные данные (признаки) |
Значение | |
|
Идентификационное наименование ПО |
F requencyMeas. ехе |
AmrView.exe |
|
Номер версии (идентификационный номер) ПО |
6.0.0.0 |
3.18 |
|
Цифровой идентификатор ПО (контрольная сумма исполняемого кода) по алгоритму MD5 |
DF62601DB3C861BC222 501DA83A5ACA2 |
53B0CFD7FB97D49C0099 46147619548D |
В противном случае результаты проверки соответствия ПО считать отрицательными и последующие операции поверки не проводить.
-
8.2.2 Проверка работоспособности
-
8.2.2.1 Подготовить комплекс к работе в соответствии с документом «Комплекс автоматизированный измерительно-вычислительный ТМСА 0.1-18.0 Д 101. Руководство по эксплуатации. ТМСА 101.018.00Д РЭ. Книга 1»
-
8.2.2.2 Проверить работоспособность аппаратуры комплекса путем проверки отсутствия сообщений об ошибках и неисправностях при загрузке программных продуктов «FrequencyMeas.exe» и «AmrView.exe».
-
8.2.2.3 Проверить работоспособность приводов опорно-поворотного устройства (ОПУ) при установке углового положения по азимуту.
-
8.2.2.4 Результаты проверки считать положительными, если аппаратура комплекса работоспособна и отсутствуют сообщения об ошибках.
-
В противном случае результаты поверки считать отрицательными и последующие операции поверки не проводить, комплекс бракуется и подлежит ремонту.
8.3 Определение метрологических характеристик 8.3.1 Определение пределов допускаемой инструментальной погрешности измерений уровней амплитудных и фазовых диаграмм направленности-
8.3.1.1 Подготовить анализатор цепей векторный ZVA50 для работы в соответствии с РЭ.
-
8.3.1.2 Подключить аттенюатор программируемый 84908М к измерительным портам анализатора цепей векторного ZVA50 с использованием фазостабильных кабельных сборок.
Установить параметры обзора:
-
- диапазон частот от 0,2 до 18 ГГц (должен содержать частоты на которых выполняются измерения в тракте комплекса);
-
- выходная мощность 0 дБ (отн. 1 мВт);
-
- ширина полосы фильтра ПЧ 1 кГц;
-
- количество усреднений 10;
-
- режим измерений S12 (или S21).
Зафиксировать амплитуду измеряемого коэффициента передачи поочередно
для ослаблений программируемого аттенюатора = 0, 5, 10, 15,20,25, 30,35,40, 45 и 50 дБ.
-
8.3.1.3 Подготовить комплекс к работе в соответствии с РЭ. Прогреть аппаратуру не менее 30 минут.
-
8.3.1.4 В качестве вспомогательной антенны установить антенну ТМА 0,1-18 из состава комплекса. Сориентировать антенну для работы на вертикальной поляризации.
-
8.3.1.5 В качестве испытуемой антенны установить антенну П6-121 на диэлектрическом штативе. При этом использовать СВЧ-кабель из состава комплекса. Сориентировать антенну для работы на вертикальной поляризации.
-
8.3.1.6 Установить на ВАЦ режим измерений S21 и выходную мощность минус 30 дБ (отн. 1 мВт).
-
8.3.1.7 Подключить малошумящий усилитель (МШУ) из состава комплекса согласно РЭ.
-
8.3.1.8 В тракт между входом МШУ и испытуемой антенной подключить аттенюатор 84908М. При этом использовать СВЧ-кабели из состава комплекса.
-
8.3.1.9 Установить диапазон частот 0,2 - 0,3 ГГц, выходную мощность 0 дБ (отн. 1 мВт), полосу фильтра промежуточной частоты (ПЧ) 100 Гц. Количество частотных точек в диапазоне частот не менее 31. Без усреднений. Остальные параметры по умолчанию.
-
8.3.1.10 Зафиксировать значение SxdB(nf} измеряемого коэффициента передачи поочередно для ослаблений программируемого аттенюатора xdB = 0, 5, 10, 15, 20, 25, 30, 35, 40, 45 и 50 дБ.
-
8.3.1.11 Рассчитать пределы допускаемой инструментальной погрешности [дБ] измерений уровней амплитудных диаграмм направленности по формуле (8.3.1.1):
^ДП/) = ±|[5Л(П/)-50Л(ИЛ]-[^,(«/)-^»("/)]|. (8.3.1.1)
гДе SxdB(nf) - результаты измерений амплитуды S_5dB(nf), S_l0dB(nf)... S_50dB(nf), дБ.
За пределы допускаемой инструментальной погрешности измерений уровней амплитудных диаграмм направленности принять среднее значение модуля погрешности в диапазоне частот.
-
8.3.1.12 Рассчитать пределы допускаемой инструментальной погрешности [...°] измерения фазы диаграммы направленности по формуле (8.3.1.2):
71
где (жх</я(и/)) - среднее значение модуля погрешности в диапазоне частот, дБ.
-
8.3.1.13 Повторить пп. 8.3.1.4-8.3.1.12 для диапазона частот 0,3 - 1 ГГц. В качестве испытуемой антенны использовать П6-62. Установить выходную мощность ВАЦ минус 15 дБ (отн. 1 мВт).
-
8.3.1.14 Повторить пп. 8.3.1.4-8.3.1.12 для диапазона частот 1 - 4 ГГц. В качестве испытуемой антенны использовать П6-123 из состава АИК 1-40Б. Установить выходную мощность ВАЦ минус 20 дБ (отн. 1 мВт).
-
8.3.1.15 Повторить пп. 8.3.1.4-8.3.1.12 для диапазона частот 4-12 ГГц. В качестве испытуемой антенны использовать П6-123 из состава АИК 1-40Б. Установить выходную мощность ВАЦ минус 10 дБ (отн. 1 мВт).
-
8.3.1.16 Повторить пп. 8.3.1.4-8.3.1.12 для диапазона частот 12 - 18 ГГц. В качестве испытуемой антенны использовать П6-128. В качестве вспомогательной антенны использовать ТМА 1-40В из состава комплекса. Установить выходную мощность ВАЦ плюс 5 дБ (отн. 1 мВт).
-
8.3.1.17 Результаты поверки считать положительными, если значения инструментальной погрешности измерений уровней амплитудных и фазовых диаграмм направленности находятся в пределах, указанных в таблице 5.
Таблица 5 - Пределы допускаемой инструментальной погрешности измерений уровней амплитудных (АДН) и фазовых (ФДН) диаграмм направленности (ДН)
|
Диапазон частот, ГГц |
Уровень ДН, дБ |
Пределы допускаемой инструментальной погрешности измерений уровней АДН, дБ |
Пределы допускаемой инструментальной погрешности измерений уровней ФДН,0 |
|
-5 |
±0,3 |
±1,8 | |
|
-10 |
±0,3 |
±1,8 | |
|
-15 |
±0,3 |
±1,8 | |
|
-20 |
±0,3 |
±1,8 | |
|
от 0,2 до 18 включ. |
-25 |
±0,3 |
±1,8 |
|
-30 |
±0,3 |
±1,8 | |
|
-35 |
±0,4 |
±2,4 | |
|
-40 |
±0,5 |
±3,2 | |
|
-45 |
±0,7 |
±4,6 | |
|
-50 |
±1,1 |
±7,7 |
В противном случае результаты поверки считать отрицательными и последующие операции поверки не проводить, комплекс бракуется и подлежит ремонту.
8.3.2 Определение динамического диапазона-
8.3.2.1 Подготовить комплекс к работе в соответствии с РЭ. Прогреть аппаратуру не менее 30 минут.
-
8.3.2.2 Установить на ВАЦ режим измерений S21 и выходную мощность 0 дБ (отн. 1 мВт).
-
8.3.2.3 Подключить МШУ из состава комплекса согласно РЭ.
-
8.3.2.4 Ко входу МШУ подключить аттенюатор 84908М. Второй разъем аттенюатора оставить свободным. При этом использовать СВЧ-кабели из состава комплекса. Установить ослабление аттенюатора 10 дБ.
-
8.3.2.5 Установить диапазон частот 0,2 - 0,3 ГГц, ширину полосы фильтра ПЧ 100 Гц. Количество частотных точек в диапазоне частот не менее 31. Без усреднений. Остальные параметры по умолчанию.
-
8.3.2.6 Зафиксировать значение SN(nf) уровня шума [дБ].
-
8.3.2.7 Рассчитать динамический диапазон комплекса при измерениях в частотной области по формуле (8.3.2.1):
$0dB (8.3.2.1)
где - среднее значение уровня шума в диапазоне частот, дБ;
А = 0,8 + 0,04 xF - вносимые потери аттенюатора 84908М на частоте F (ГГц), дБ.
-
8.3.2.8 Повторить пп. 8.3.2.5-8.3.2.7 для диапазонов частот 0,3-1, 1 - 4, 4 - 12, 12 -18 ГГц.
-
8.3.2.9 Результаты поверки считать положительными, если значения динамического диапазона комплекса соответствуют указанным в таблице 6.
Таблица 6 - Динамический диапазон комплекса
|
Диапазон частот, ГГц |
Динамический диапазон, дБ, не менее |
|
от 0,2 до 0,3 включ. |
76,0 |
|
св. 0,3 до 1,0 включ. |
99,0 |
|
св. 1,0 до 4,0 включ. |
98,0 |
|
св. 4,0 до 12,0 включ. |
80,0 |
|
св. 12,0 до 18,0 включ. |
66,0 |
В противном случае результаты поверки считать отрицательными и последующие операции поверки не проводить, комплекс бракуется и подлежит ремонту.
8.3.3 Определение пределов допускаемой погрешности измерений уровней амплитудных, фазовых и поляризационных диаграмм направленности-
8.3.3.1 Определение погрешности измерений амплитудных (фазовых) ДН и поляризационных диаграмм проводить для условия, что расстояние R между антеннами при измерениях удовлетворяет условию «дальней зоны».
Определение погрешностей измерений амплитудных (фазовых) ДН и поляризационных диаграмм выполняется с учетом их инструментальных погрешностей и методической погрешности из-за источников переотражений в соответствии с требованиями ГОСТ 8.736-2011.
-
8.3.3.2 Рассчитать составляющую погрешности измерений, обусловленную инструментальной погрешностью приемного устройства А [дБ], определяемой в п. 8.3.3, по формуле (8.3.3.1):
вн =100,л-1. (8.3.3.1)
Погрешность измерений уровней ДН минус 3 и минус 6 дБ рассчитать при ослаблении аттенюатора 5 дБ.
-
8.3.3.3 Рассчитать составляющую погрешности измерений из-за наличия побочных переотражений в безэховой камере по формуле (8.3.3.2):
0КБ = (1 + io-°’O5<™)2 -1, (8.3.3.2)
где L - измеряемый уровень диаграммы, дБ;
КБ - коэффициент безэховости, дБ, подставляется из таблицы 6.
-
8.3.3.4 Рассчитать доверительные границы (р = 0,99) случайной погрешности, обусловленной влиянием собственных шумов комплекса, по формуле (8.3.3.3):
е = (1440-°°5™7-1, (8.3.3.3)
где SNR = 60 - отношение сигнал/шум в направлении максимума ДН, дБ.
-
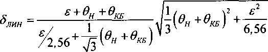
8.3.3.5 Рассчитать пределы допускаемой погрешности измерений уровней амплитудных ДН и поляризационных диаграмм (для доверительной вероятности 0,95) в диапазоне частот по формуле (8.3.3.4):

-
8.3.3.6 Рассчитать пределы допускаемой погрешности измерений уровней амплитудной ДН в логарифмический масштаб по формуле (8.3.3.5):
<5лог=±1018(1 + гж„). (8.3.3.5)
Рассчитать пределы допускаемой погрешности измерений фазовой ДН по формуле (8.3.3.6):
Зф=±а1ап(Злин). (8.3.3.6)
-
8.3.3.7 Результаты поверки считать положительными, если значения погрешности измерений уровней амплитудных (АДН), фазовых (ФДН) и поляризационных диаграмм направленности находятся в пределах, приведенных в таблице 7.
Таблица 7 - Пределы допускаемой погрешности измерений уровней амплитудных (АДН), фазовых (ФДН) и поляризационных диаграмм направленности________________
|
Диапазон частот, ГГц |
ЛЯ, дБ |
Уровень ДН^дБ |
Пределы допускаемой погрешности измерений уровней АДН2), дБ |
Пределы допускаемой погрешности измерений уровней ФДН2), 0 |
|
-3 |
±2,1 |
±15,1 | ||
|
-15 |
-6 |
±2,8 |
±20,7 | |
|
-10 |
±3,9 |
±29,8 | ||
|
-3 |
±1,3 |
±10,1 | ||
|
-20 |
-6 -10 |
±1,7 ±2,4 |
±12,2 ±17,9 | |
|
-15 |
±3,9 |
±29,8 | ||
|
-3 |
±0,9 |
±5,6 | ||
|
-6 |
±1,1 |
±7,5 | ||
|
-25 |
-10 |
±1,4 |
±10,1 | |
|
-15 |
±2,4 |
±17,9 | ||
|
-20 |
±3,9 |
±29,8 | ||
|
-3 |
±0,5 |
±3,3 | ||
|
-6 |
±0,7 |
±5,7 | ||
|
от 0,2 до 18,0 |
-30 |
-10 |
±0,8 |
±5,9 |
|
включ. |
-15 |
±1,4 |
±10,1 | |
|
-20 |
±2,4 |
±17,9 | ||
|
-25 |
±3,9 |
±29,8 | ||
|
-3 |
±0,4 |
±2,6 | ||
|
-6 |
±0,5 |
±3,3 | ||
|
-10 |
±0,5 |
±3,3 | ||
|
-35 |
-15 |
±0,8 |
±5,8 | |
|
-20 |
±1,4 |
±10,1 | ||
|
-25 |
±2,4 |
±17,9 | ||
|
-30 |
±3,9 |
±29,8 | ||
|
-3 |
±0,3 |
±2,3 | ||
|
-6 |
±0,3 |
±2,3 | ||
|
-40 |
-10 |
±0,3 |
±2,3 | |
|
-15 |
±0,5 |
±3,3 | ||
|
-20 |
±0,8 |
±5,9 |
|
-25 -30 -35 |
±1,5 ±2,4 ±3,9 |
±10,8 ±17,9 ±29,8 | ||
|
Примечания: - уровни поляризационных диаграмм отсчитываются от максимума на согласованной поляризации; 2) - значения приведены для условий «дальней зоны» излучения. | ||||
В противном случае результаты поверки считать отрицательными и последующие операции поверки не проводить, комплекс бракуется и подлежит ремонту.
8.3.4 Определение пределов допускаемой погрешности измерений коэффициента усиления методом замещения и диапазона рабочих частот-
8.3.4.1 Определение пределов допускаемой погрешности измерений коэффициента усиления методом замещения проводить в соответствии ГОСТ 8.736-2011 на основе частных составляющих суммарной погрешности по формуле (8.3.4.1):
ДО = ±10lg(l +1,1^2 + + 032 + 02 + 02 + О26 + 02), (8.3.4.1)
где 0Х - границы частной составляющей суммарной погрешности, обусловленной погрешностью КУ эталонной антенны ДОЭ, принимаются равными 0,5; 0,8; 1,0 и 1,5 дБ (что соответствует 0,12; 0,2; 0,26 и 0,41);
6г - границы частной составляющей суммарной погрешности, обусловленной инструментальной погрешностью 8SxdB(nf~) [дБ], определяемой в п. 5.1 для ослабления 10 дБ, вычисляются по формуле (8.3.4.2):
0г =100д^(п/) -1; (8.3.4.2)
03 - границы частной составляющей суммарной погрешности, обусловленной конечным расстоянием между антеннами, принимаются равными 0,05 при выполнении условия R > 2 • D2 / Л (где 2 - длина волны, м; D - наибольший из размеров раскрывов антенн, м);
04 - границы частной составляющей суммарной погрешности, обусловленной побочными переотражениями от элементов антенного полигона, вычисляемые по формуле (8.3.4.3):
05 =(l + 10°’05/ffi)2 -1, (8.3.4.3)
где КБ - коэффициент безэховости, дБ, подставляется из таблицы 7.
05 - границы частной составляющей суммарной погрешности, обусловленной поляризационными потерями, вычисляемые по формуле (8.3.4.4):
06 =(1 + 10°’05*)2-1, (8.3.4.4)
где К - наибольший уровень кроссполяризационной составляющей поля излучения среди эталонной и исследуемой антенн, принимается равным минус 25 дБ;
06 - границы частной составляющей суммарной погрешности, обусловленной рассогласованием СВЧ трактов эталонной и исследуемой антенн, принимаются равными 0,14.
07 - границы частной составляющей суммарной погрешности, обусловленной неточной установкой фазовых центров антенн и другими факторами, принимаются равными 0,05.
-
8.3.4.2 Результаты поверки считать положительными, если значения допускаемой погрешности измерений коэффициента усиления (КУ) методом замещения в диапазоне частот, при погрешности КУ эталонной антенны, находятся в пределах, указанных в таблице 8.
Таблица 8 - Пределы допускаемой погрешности измерений КУ методом замещения (для
данного коэффициента безэховости КБ)
|
Диапазон частот, ГГц |
КБ, дБ |
Пределы допускаемой погрешности КУ эталонной антенны, дБ |
Пределы допускаемой погрешности измерений КУ1^ дБ |
|
-15 |
±0,5 ±0,8 ±1,0 ±1,5 |
±1,9 ±2,0 ±2,0 ±2,3 | |
|
-20 |
±0,5 ±0,8 ±1,0 ±1,5 |
±1,4 ±1,5 ±1,6 ±2,0 | |
|
от 0,2 до 18,0 включ. |
-25 |
±0,5 ±0,8 ±1,0 ±1,5 |
±1,2 ±1,4 ±1,5 ±1,9 |
|
-30 |
±0,5 ±0,8 ±1,0 ±1,5 |
±1,1 ±1,3 ±1,5 ±1,9 | |
|
-35 |
±0,5 ±0,8 ±1,0 ±1,5 |
±1,1 ±1,3 ±1,5 ±1,9 | |
|
-40 |
±0,5 ±0,8 ±1,0 ±1,5 |
±1,1 ±1,3 ±1,4 ±1,9 | |
|
^Примечание: при КСВН антенн не более 2,2 и условии «дальней зоны» излучения. | |||
-
8.3.4.3 Проверку диапазона рабочих частот проводить по результатам определения погрешностей измерений КУ методом замещения (п. 8.3.4.2).
-
8.3.4.4 Результаты поверки считать положительными, если в диапазоне частот от 0,2 до 18,0 ГГц значения погрешностей измерений коэффициента усиления (КУ) методом замещения находятся в допускаемых пределах, приведенных в п. 8.3.4.2. В этом случае диапазон частот комплекса составляет от 0,2 до 18,0 ГГц.
В противном случае результаты поверки считать отрицательными и последующие операции поверки не проводить, комплекс бракуется и подлежит ремонту.
8.3.5 Определение диапазона изменения углов поворота опорно-поворотного устройства (ОПУ) и диапазона перемещения ОПУ по слайдеру, определение абсолютной погрешности установки углового положения ОПУ и установки положения ОПУ по слайдеру
-
8.3.5.1 Определение диапазона изменения угла поворота ОПУ в азимутальной плоскости и по крену проводят с помощью лазерного трекера Leica Absolute Tracker АТ401 в соответствии с его руководством по эксплуатации. Определение действительных значений углов поворота осуществляется с использованием программных средств трекера.
-
8.3.5.2 Результаты поверки считать положительными, если диапазон изменения угла поворота ОПУ составляет:
-
- в азимутальной плоскости
± 180°; не ограничен.
-
- по крену
-
8.3.5.3 Определение абсолютной погрешности установки углового положения ОПУ проводить с помощью лазерного трекера Leica АТ401 в соответствии с его руководством по эксплуатации. Определение действительных значений углов поворота осуществляется с использованием программных средств трекера.
-
8.3.5.4 Установить на башню ОПУ уголковый отражатель (УО) из состава трекера. Расстояние от У О до оси вращения ОПУ должно составлять не менее 0,5 м.
-
8.3.5.5 Установить ОПУ в положение по углу азимута «0°00'».
-
8.3.5.6 Установить ОПУ в положение по крену «0°00'».
-
8.3.5.7 Вращая ОПУ по азимуту в пределах от 0 до 10 градусов, для каждого углового положения зафиксировать показания трекера. При пропадании сигнала от У О повернуть его отражающей частью в сторону трекера.
-
8.3.5.8 Для каждого углового положения вычислить с учетом знака абсолютную погрешность установки угла поворота ОПУ по формуле (8.3.5.1):
Да - ас-ат-п-360°,
(8.3.5.1)
где ас - угол, установленный в программе, в градусах;
ат - угол, измеренный трекером, в градусах и минутах;
п- количество полных оборотов.
-
8.3.5.9 Повторить операции по пп. 8.3.5.7-8.3.5.8 два раза.
-
8.3.5.10 Для каждого углового положения вычислить значение абсолютной погрешности установки угла поворота ОПУ по азимуту.
8.3.5.11. Повторить операции пп. 8.3.5.5-8.3.5.10, вращая ОПУ по крену в пределах от 0 до 10 градусов для определения абсолютной погрешности установки углового положения по крену.
-
8.3.5.12 Результаты поверки считать положительными, если значения абсолютной погрешности установки углового положения ОПУ в азимутальной плоскости и по крену находятся в пределах ± 0,05 градусов.
-
8.3.5.13 Определение диапазона перемещения ОПУ по слайдеру Z проводить с использованием лазерного трекера Leica Absolute Tracker АТ401. Установить на башню ОПУ УО. Установить ОПУ в одну из крайних позиций, провести измерение координат УО. Затем переместить ОПУ в крайнюю противоположную позицию, провести измерение координат УО. Вычислить расстояние между крайними положениями.
-
8.3.5.14 Повторить операции по п. 8.3.5.13 для слайдера X.
-
8.3.5.15 Результаты поверки считать положительными, если диапазон перемещения по слайдеру Z составляет от 0 до 0,6 м, по слайдеру X от 0 до 0,24 м.
-
8.3.5.16 Определение абсолютной погрешности установки положения ОПУ по слайдеру проводить с использованием лазерного трекера Leica Absolute Tracker АТ401. Установить на башню ОПУ УО.
-
8.3.5.17 Установить ОПУ в положение по слайдеру «0».
-
8.3.5.18 Перемещая ОПУ по слайдеру Z в пределах от 0 до 600 мм, с шагом 300 мм, для каждого пространственного положения зафиксировать показания трекера.
-
8.3.5.19 Для каждого пространственного положения вычислить с учетом знака абсолютную погрешность установки положения ОПУ по формуле (8.3.5.2): где 1С - координата, установленная в программе, в мм;

(8.3.5.2)
1т - координата, измеренная трекером, в мм.
-
8.3.5.20 Повторить операции по пп. 8.3.5.17-8.3.5.19 два раза.
-
8.3.5.21 Для каждого пространственного положения вычислить значение абсолютной погрешности установки положения ОПУ.
-
8.3.5.22 Повторить операции по пп. 8.3.5.16-8.3.5.21 для слайдера X в пределах от 0 до 240 мм, с шагом 120 мм.
-
8.3.5.23 Результаты поверки считать положительными, если значения абсолютной погрешности установки положения ОПУ по слайдерам Z и X находятся в пределах ± 0,2 мм.
В противном случае результаты поверки считать отрицательными и последующие операции поверки не проводить, комплекс бракуется и подлежит ремонту.
9 ОФОРМЛЕНИЕ РЕЗУЛЬТАТОВ ПОВЕРКИ9.1 Комплекс признается годным, если в ходе поверки все результаты поверки положительные.
-
9.2 Результаты поверки удостоверяются свидетельством о поверке.
-
9.3 При проведении поверки отдельных измерительных каналов (частотных поддиапазонов) комплекса в свидетельстве о поверке указываются об объёме проведённой поверки.
-
9.3 Если по результатам поверки комплекс признан непригодным к применению, оформ
ляется извещение о непригодности к применению с указанием причин непригодности.
О.В. Каминский
А.В. Титаренко
Начальник НИО-1 ФГУП «ВНИИФТРИ»
Заместитель начальника НИО-1
ФГУП «ВНИИФТРИ»
14
