Методика поверки «ГСИ. Системы измерений длительности соединений Avaya Aura» (5295-001-78520462-2020МП)

СОГЛАСОВАНО
Руководитель по технической поддерж
ке продаж, Россия, государственный
сектор, транспорт, телекоммуникации ООО «Авайя СНГ», действующий по

Б.М. Ратнер
« SL6 » <2 2_______2020 г.
Математический аппарат обработки результатов испытаний
Описание формата файла тарифной информации
Настоящая методика поверки (МП) устанавливает методы и средства первичной и периодической поверок системы измерений длительности соединений Avaya Aura, далее СИДС.
СИДС является виртуальной (функциональной) системой измерений длительности
соединений оборудования с измерительными функциями:
-технического комплекса узла местной связи «Avaya Aura»;
-оборудования УПАТС «Avaya Aura»,
версии ПО Avaya Aura 8, реализованного с использованием технологии коммутации пакетов информации, производства AVAYA Inc., США.
Методика разработана в соответствии с рекомендацией РМГ 51-2002 ГСП Документы на методики поверки средств измерений. Основные положения.
Объектом метрологического контроля при поверке является система измерений длительности соединений, входящая в состав вышеназванного оборудования.
Цель поверки - определение действительных значений метрологических характеристик (MX) СИДС и предоставление документа о возможности ее эксплуатации.
Поверку СИДС осуществляют метрологические службы, которые аккредитованы в системе Росаккредитации на данные виды работ.
Интервал между поверками - 2 (два) года.
Требования настоящей методики поверки обязательны для метрологических служб юридических лиц независимо от форм собственности.
1 Операции поверки
При проведении поверки должны производиться операции, указанные в таблице 1.
Таблица 1
Наименование операции |
Номер пункта документа по поверке |
Проведение операции при | |
первичной поверке |
периодической поверке | ||
1 Внешний осмотр |
7.1 |
+ |
+ |
2 Опробование |
7.2 |
+ |
+ |
3 Определение метрологических характеристик: пределы допускаемой абсолютной погрешности измерения длительности телефонного соединения; вероятность неправильного представления исходных данных для тарификации. |
7.3 |
+ |
+ |
4 Идентификация программного обеспечения (ПО) |
7.4 |
+ |
+ |
Не допускает проведение поверки отдельных измерительных каналов.
При получении отрицательных результатов поверки по какому-либо пункту таблицы 1 поверку СИДС прекращают.
2 |
Средства поверки |
2.1 таблице 2. |
При проведении поверки должны применяться средства измерений, указанные в |
Таблица 2
Номер пункта методики поверки |
Наименование и тип рабочего эталона или вспомогательного средства поверки; обозначение нормативного документа, регламентирующего технические требования, и (или) метрологические и основные технические характеристики средства поверки |
7.1, 7.2 |
Формирователь - измеритель соединений универсальный СИГМА, СВТН.466961.001ТУ, диапазон измерений от 1 до 3600 с, основная погрешность ±0,25 с |
Примечания
|
3 Требования к квалификации поверителей
-
3.1 К проведению поверки допускаются лица с высшим и среднем техническим образованием:
аттестованные в качестве поверителей систем измерений длительности соединений;
изучившие эксплуатационную документацию СИДС и рабочих эталонов; имеющие навыки работы с ПЭВМ под управлением операционной системы Unix;
имеющие знания в области сетей связи и систем коммутации, а также IP - технологий.
4 Требования безопасности
-
4.1 Корпус прибора СИГМА должен быть заземлен.
-
4.2 Рабочее место должно иметь соответствующее освещение.
-
4.3 При проведении поверки запрещается:
проводить работы по монтажу и демонтажу применяемого в поверке оборудования;
производить работы по подключению и отключению соединительных кабелей при включенном питании прибора СИГМА.
-
4.4 Процесс проведения поверки не относится к работам с вредными или особо вредными условиями труда.
-
4.5 Рабочее место поверителя должно соответствовать санитарно-эпидемиологическим правилам и нормативам СанПиН 2.2.2/2.4.1340-03 "Гигиенические требования к персональным электронно-вычислительным машинам и организации работы".
5
5.1
Условия поверки
При проведении поверки должны соблюдаться следующие условия:
температура окружающей среды, °C относительная влажность воздуха, % атмосферное давление, кПа (мм рт. ст.)
25 ± 10;
45 - 80;
84,0- 105,7 (630- 800).
6 Подготовка к проведению поверки
-
6.1 Подготовить средства поверки к работе в соответствии с их эксплуатационной документацией.
-
6.2 Перед проведением поверки необходимо провести следующие подготовительные работы:
проверить срок действия свидетельства о поверке прибора СИГМА;
разместить на рабочем столе прибор СИГМА и подключить его к сети электропитания в соответсвии с эксплуатационной документацией;
собрать схему измерений в соответствии с рисунком 1 и эксплуатационной документацией на прибор СИГМА;
откорректировать текущее время прибора СИГМА по времени поверяемого обо
рудования.

ига

Рисунок 1- Схема поверки

A vaya


-
7 Проведение поверки
7.1 Внешний осмотр
СИДС является виртуальной (функциональной) системой измерений длительности соединений оборудования с измерительными функциями, в связи с этим проводится внешний осмотр оборудования с измерительными функциями на предмет отсутствия повреждений.
Зафиксировать серийный номер оборудования с измерительными функциями.
7.2 Опробование
-
7.2.1 Опробование производят по схеме в соответствии с рисунком 1:
- включить питание прибора СИГМА, после автоматической запуска операционной системы Linux, на рабочем столе появляются пиктограммы: СИГМА-СИПД, СИГМА-
Таксофон, СИГМА-СИДС (рисунок 2), ассоциированные с программным обеспечением sig-ma.exe;


Броузер

Текстовый редактор

Текстовый прицвссор

Табличный процессор

СИГМА-СИДС

RegExp
Просмотр РОГ

СИГМА Таксофон
Руководство по эксплуатации.pdf
&
СИГМА* Пооорка

Мультимедийный проигрыватель



Network Server»
СОТСБИ

Корвина
Рисунок 2
- щелкнуть по пиктограмме СИГМА-СИДС, открывается основное окно соответствующее подпрограммы, рисунок 3,
СИГМА-СИДС
^СИГМА
ШОРМИРОВАТЕАЬ-ИЗМЕРИТЕЛЬ УНИВЕРСАЛЬНЫЙ


Исходные данные
Статистика
Испытания
Исх Вх Индикация Статус |

Задано
Блокировать
Разблокировать1
□шибок
Сделано:
Рисунок 3
- выбрать имя испытаний или создать новую настройку испытаний, щелкнув по кнопке Создать. Откроется окно, в котором можно выбрать ранее созданную настройку или ввести имя в бокс File name, например, имя СИДС и сохранить, нажав на кнопку Save.
СИГМА-СИДС
ЕСИГМА
ФОРМИРОВАТЕЛЬ-ИЗМЕРИТЕЛЬ УНИВЕРСАЛЬНЫЙ

Меню

Исходные данные
Испытания
Статистика
ЩШ1'
•s Окно испытаний Текущие результаты Суммарные резулы
Look in:
нить
~ /home/admi. .mentsRIes
О а Е) 0
о

Save
Filename: I Avay_a-Aura-2020.cfg
Files of type: Испытание (*.cfg)
« Cancel

0% | ||
Задано: 0 |
Сделано: 0 |
Ошибок: 0 |
Старт |
I Блокировать ] | |
( Стоп ) |
1 Разблокировать) |
Рисунок 4
- откроется окно испытаний с сохраненным именем (рисунок 5),_______
СИГМ А-СИДС .ах
Есигма
ФОРМИРОВАТЕЛЬ-ИЗМЕРИТЕЛЬ УНИВЕРСАЛЬНЫЙ


Исходные данные
Имя испытания
Всего этапов
Исх
Задано 0
Старт
Стоп
Испытания
Статистика
Avaya-Au ra-2020.cfg
Создать
О
Сохранить
Вх
0%
Сделано: 0
Индикация
Статус
Ошибок: 0
Блокировать )
Разблокировать
- щелкнуть по вкладке Исходные данные и выбрать опцию Комплекты\Аналоговые (рисунок 6) и в соответствующих боксах ввести собственные и вызываемые телефонные номе
ра, полученные от оператора;

СИГМА-АТС

gCHTMA
ФОРМИРОВАТЕЛЬ-ИЗМЕРИТЕЛЬ УНИВЕРСАЛЬНЫЙ


Исходные данные Комплекты |
Испытания |
Статистика | ||||||
N |
Собственный номер |
Вызываемый номер |
N |
Роль | ||||
г |
1 |
(56001 |
56002 |
-----------------) |
2 ■ |
ИСХ 1 | ||
о |
2 |
(56002 |
) |
56001 |
1 1 |
ВХ 1 | ||
га |
3 |
(56003 |
) |
56004 |
4 1 |
ИСХ 1 | ||
0 |
4 |
(56004 |
) |
56003 |
3 1 |
ВХ ■ | ||
0 |
5 |
(56005 |
) |
56006 |
□ |
6 1 |
ИСХ 1 | |
в |
6 |
(56006 |
) |
56005 |
5 1 |
ВХ 1 | ||
й |
7 |
56007 |
) |
56008 |
) |
8 I |
ИСХ 1 | |
5лок/Разбл |
га |
8 |
56008 |
J |
56007 |
7 1 |
ВХ 1 | |
га |
9 |
(57001 |
) |
57002 |
- ) |
10 1 |
ИСХ 1 | |
га |
10 |
(57002 |
) |
57001 |
) |
9 I |
ВХ 1 | |
га |
11 |
(57003 |
) |
57004 |
12 I |
ИСХ 1 | ||
га |
12 |
57004 |
) |
57003 |
11 I |
ВХ 1 | ||
13 |
((57005 |
) |
57006 |
14 1 |
ИСХ 1 | |||
в |
14 |
(*57006 |
) |
57005 |
____ |
13 1 |
ВХ ■ | |
и |
15 |
(57007 |
) |
57008 |
16 I |
ИСХ 1 | ||
0 |
16 |
(57008 |
) |
57007 |
1 |
15 1 |
ВХ 1 |
Рисунок 6
- щелкнуть вкладку План испытаний (рисунок 7) и в диалоговое окно Выбор этапа 1 ввести длительность телефонного соединения и количество соединений на этапе. Для опробования создается один этап, а для поверки - 3 этапа в соответствии с таблицей 2.
СИГМ АСИДС
ЦСИГМА
ФОРМИРОВАТЕЛЬ-ИЗМЕРИТЕЛЬ УНИВЕРСАЛЬНЫЙ

Меню
’ Комплекты Аналоговые Модемы SIP Параметры вызовов -<План испытаний Режим испытаний Выбор СИДС Критерии
Исходные данные
Испытания

Статистика

Рисунок 7 - Исходные данные/ План испытаний/Опробование
Таблица 2
Длительность телефонных соединений, с |
Количество телефонных соединений | ||
Опробование |
Первичная поверка |
Периодическая поверка | |
10 |
16 | ||
3600* |
8 |
- | |
600 |
8 |
8 | |
1 |
300 |
300 | |
* При невозможности установления длительности соединения, равной 3600 с, установить максимально возможную длительность, указанную оператором связи |
- щелкнуть на выпадающее меню Комплекты, расположенное нижней части экрана (рис. 7) и выбрать значение Аналоговые.
При необходимости можно сделать дополнительные настройки: Старт со сдвигом и изменить время между сессиями.
Перейти на вкладку Испытания и нажать клавишу Сохранить.
Для старта опробования необходимо нажать на кнопку Старт, прибор Сигма автоматически выполнит программу опробования.
После выполнения программы необходимо запросить у оператора учетный файл (CDR) и скопировать его в прибор Сигма в папку Sigma-АТС с именем испытания.
Перейти в меню Статистика/Конвертация и выбрать или создать конвертор, рисунок 8, для автоматического расчета результатов опробования и способ расчета, рисунок 9.
Обэор |^И'упг-рЬх *
Четверг. 10:32:53
СИГМА-СИДС
ШОРМИРОВАТЕЛЬ-ИЗМЕРИТЕЛЬ УНИВЕРСАЛЬНЫЙ

gCHTMA

Исходные данные
Испытания
Статистика
Файд испытания 11 Имя __ Файл результат Имя
Выбранная СИДС
из библиотеки утвержденных СИДС
из библиотеки СИДС
Г~---
Выбрать_
Редактор
----------Конвертация------
Файл СИДС _ ___ _ _ Выбрать
Конвертировать Начать
Склеить файлы СИДС
Входные файлы
Выходной файл
____________ Выбрать
__ Объединить
Обюр ”
Четверг. 18.33:25
«о -
СИГМА-СИДС
gCHTMA

Меню
’ Выбор испытаний Конвертация v' s Расчет
► Данные расчета » Протокол Версия ПО
ФОРМИРОВАТЕЛЬ-ИЗМЕРИТЕЛЬ УНИВЕРСАЛЬНЫЙ
Исходные данные |
Испытания |
Статистика | |
Файл испытания |
Имя |
Файл результат |
Имя |
Авто | |||
Диапазон времени поиска сессии, с |
вручную ji___р | ||
Коррекция времени |
, 00:00:00 pj | ||
Вид учета |
Подробный 1 | ||
Расчет | |||
Рисунок 9
Оценить результаты опробования (успешно, неуспешно):
а) при успешном результате опробования (погрешность СИДС для каждой сессии не превышает ±1 с, конвертация учетного файла успешна) поверка продолжается;
б) при неуспешном результате (погрешность СИДС хотя бы одной сессии превышает ±1 с, или конвертация учетного файла не успешна), поверка прекращается до устранения неисправности.
7.3 Определение метрологических характеристик (MX)
-
7.3.1 Определение MX проводят на репрезентативных выборках комплексным (сквозным) методом, суть которого заключается в многократной подаче на вход поверяемого оборудования сигнала эталонной длительности телефонного соединения, а по средствам отображения информации (дисплей или учетные файлы) определяют длительности каждого соединения, измеренные СИДС, с дальнейшей обработкой и оценкой метрологических характеристик (MX).
7.3.1.2 Для определения MX создается 3 этапа, рисунок 10, в соответствии с таблицей 2, аналогично пункту 7.2.
Обзор *
Четверг. 19:10:17
44) 0 -
СИГМА-СМДС

СИГМА
ФОРМИРОВАТЕЛЬ-ИЗМЕРИТЕЛЬ УНИВЕРСАЛЬНЫЙ


- Комплекты Аналоговые Модемы SIP Параметры вызовов
И План испытаний Режим испытаний Выбор СИДС Критерии
Исходные данные
Испытания
Статистика
-----Выбор этапа------
Длительность сессии, с 1
Добавить этап

НЕ
1ительность____________________
Количество повторов
3600
600
1
8
16
300
- - Параметры испытания
Комплекты SIP
| SIP Configuration
□ Старт со сдвигом,мс 100 р Период между соединениями.с 3
Синхронный режим
□ Отложенный старт
0:00
Рисунок 10 - Исходные данные/ План испытаний (определение MX)
Процедуру испытаний прибор СИГМА выполняет автоматически - формирует необходимое количество телефонных соединений различной длительности одновременно по восьми абонентским каналам.
7.4 Идентификация программного обеспечения
Идентификационные данные программного обеспечения определяются при участии обслуживающего СИДС технического персонала в соответствии с эксплуатационной документацией на оборудование с измерительными функциями.
Поверитель должен зафиксировать версию программного обеспечения поверяемого оборудования и идентификационные данные ПО.
Результаты поверки считать положительными, если идентификационные данные соот-ветсвуют данным, представленным в таблице 3.
Таблица - Идентификационны данные ПО
Идентификационные данные (признаки) |
Значение |
Идентификационное наименовании ПО |
SM 8.1.2., СМ 8.1.2 |
Номер версии (идентификационный номер) ПО |
Avaya Aura 8. |
8 Обработка результатов измерений
-
8.1 Обработка результатов измерений по п. 7.2 и определение MX по п. 7.3 производится полностью автоматически в ПЭВМ по соответствующей программе.
8.3 Результаты поверки СИДС считаются положительными, если для всех соединений погрешность измерения длительности не превышает предельное значение и отсутствуют потери вызовов из-за неправильного определения номера автоабонента или автоответчика.
-
8.4 Результаты поверки СИДС считаются отрицательными, если хотя бы для одного соединения погрешность измерения длительности превышает предельное значение и имеется потеря вызовов из-за неправильного определения номера автоабонента или автоответчика.
-
8.5 При отрицательных результатах поверки СИДС после устранения причин проводится повторная поверка в объеме первичной поверки.
9 Оформление результатов поверки
-
9.1 Если СИДС по результатам поверки признана пригодной к применению, то на нее выдается «Свидетельство о поверке», установленной формы.
-
9.2 Если СИДС по результатам поверки признана непригодной к применению, то «Свидетельство о поверке» аннулируется, выписывается «Извещение о непригодности к применению» установленной формы, и ее эксплуатация запрещается.
-
9.3 Формы «Свидетельство о поверке» и «Извещение о непригодности к применению» оформляются в соответствии с документом «Порядок проведения поверки средств измерений, требования к знаку поверки и содержанию свидетельства о поверке», утвержденном приказом Минпромторга России от 02 июля 2015 г. №1815.
-
9.4 В обоих случаях составляется протокол поверки в произвольной форме и в качестве приложений прикладываются распечатки таблиц результатов поверки.
Формы таблиц приведены в приложении Б.
-
9.5 Знак поверки наносится на свидетельство о поверке.
ПРИЛОЖЕНИЕ А
(справочное)
Характеристики прибора Сигма
Математический аппарат обработки результатов испытаний
А.1 Формирователь - измеритель соединений универсальный СИГМА. Общие сведения.
Формирователь - измеритель соединений универсальный СИГМА предназначен для измерений на сетях связи длительности соединения (сеанса связи) и количества (объема) переданной и (или) принятой информации.
Формирователь - измеритель соединений универсальный СИГМА, далее прибор, представляет собой программно-аппаратную систему, состоящую из блока формирователя-измерителя со встроенным управляющим компьютером и пакета специального программного обеспечения СИГМА, версия 2.0, функционирующего в среде Linux.
Прибор может подключаться к поверяемым объектам по аналоговым абонентским линиям или с использованием технологий: Ethernet, GSM, UMTS, LTE.
В процессе работы прибор обеспечивает выполнение функций:
-
- переноса единиц объемов цифровой информации от государственного первичного эталона;
-
- формирования временных интервалов;
-
- измерения временных интервалов;
-
- измерения объемов информации;
-
- статистическая обработка многократных измерений объемов информации и временных интервалов.
Конструктивно оборудование выполнено в виде приборного контейнера, содержащего рабочие ТЭЗы.
Основные MX:
-
- пределы допускаемой абсолютной погрешности формирования длительности
IP соединений в диапазоне от 1 до 3600 с, с ±0,25;
-
- пределы допускаемой абсолютной погрешности измерения длительности IP соединений в диапазоне от 1 до 3600 с, с ±0,25;
-
- погрешность переноса эталонных единиц количества (объемов) информации в диапазоне от 1 байта до 1 Гбайт, байт 0;
-
- погрешность измерения количества (объемов) информации, принимаемой в IP соединении, в диапазоне от 1 байта до 1 Гбайт, байт ±1;
-
- пределы допускаемой абсолютной погрешности формирования длительности IP
соединений в диапазоне от 1 до 3600 с, с ±0,25;
-
- пределы допускаемой абсолютной погрешности измерения длительности IP соединений в диапазоне от 1 до 3600 с, с ±0,25;
-
- погрешность переноса эталонных единиц количества (объемов) информации в диапазоне от 1 байта до 1 Гбайт, байт 0;
-
- погрешность измерения количества (объемов) информации, принимаемой в IP соединении, в диапазоне от 1 байта до 1 Гбайт, байт ±1.
А.2 Математический аппарат обработки результатов испытаний
А.2.1 Модель испытаний
Объектом испытаний являются СИ, которые измеряют объем проходящей через них информации, либо длительность осуществляемых соединений или сеансов связи соответственно.
Схема испытания состоит из последовательно осуществляемых опытов, в каждом из которых испытуемое устройство проводит измерение заведомо известного (эталонного) значения длительности или объема информации.
Результатом каждого опыта, то есть наблюдаемым событием, будет погрешность измерения, то есть разность между измеренным и подаваемым на вход эталонным значениями.
Результат считается успешным, если погрешность измерения меньше или равна заданному предельно допустимому значению и неуспешным - в противном случае.
Неуспешным, также, считается измерение, незафиксированное испытуемым устройством.
Обозначим вероятность успешного результата каждого измерения - р, тогда вероятность неуспешного результата q = 1 - р, где р - вероятность появления успешного события, a q - вероятность появления неуспешного события (отказа).
Так как все измерения проводятся в одинаковых условиях - то эти вероятности (р и q) независимы и одинаковы для каждого опыта. Тогда, число успешных результатов S из п проводимых опытов - является случайной величиной, распределенной по биномиальному закону. p(s<S) = yj С)рк(1-р}пл а)
*fc=0 "
где P(S < s) - вероятность того, что число успешных результатов не превысит вели
чины S,
к - текущее значение величины S.
А.2.2 Критерии завершения испытаний
В ходе проведения испытаний требуется проверить, что оцениваемое значение q < Ро при выбранном значении доверительной вероятности Рдов. Ро - это предельно допустимая вероятность измерений с погрешностью больше заданной.
Вероятность P(S<s) можно рассматривать, как вероятность попадания оцениваемой величины в заданный интервал [0, q], то есть должно выполняться соотношение P(S<s) =
Рдов, или исходя из (1):


> Рдов ;
(2)
Из соотношения (2) находим s. Фактически это означает, что при вероятности отказа (ошибки измерения), равной Ро. с вероятностью Рдов будут успешными не более s измерений.
Иначе говоря, если в серии из п испытаний число отказов составит не более, чем у = (n - s), то можно утверждать, вероятность неправильной работы контролируемой системы измерений - меньше предельно - допустимой. Обозначим это значение ун.
Аналогично, из соотношения (3), можно определить значение s и, соответственно, у = (n - s), при котором вероятность неправильной работы контролируемой системы измерений окажется больше предельно - допустимой. Обозначим его ув.

Таким образом, в процессе проведения испытаний, в соответствующие моменты времени, проводится анализ зафиксированного количества ошибок (отказов) у на соответствие границам ун и у в, определенным, в соответствие с (2) и (3) Примеры расчета при разных значениях допустимой вероятности отказа (ошибки измерения) приведены в таблицах А1 и А2.
Если у < у», то испытания закончены, результат УСПЕШНО;
Если у > ув, то испытания закончены, результат НЕУСПЕШНО;
Если ун < у < ув, то испытания следует продолжать, ДАННЫХ НЕДОСТАТОЧНО.
А.2.3 Точечные и интервальные оценки погрешности
Пусть А - измеряемая величина, тогда оцениваемую нами погрешность обозначим хь
Погрешность измерений - случайная величина, значения этой величины можно вычислить для каждого измерения, как разность между значением, измеренным контролируемым оборудованием и истинным (эталонным) значением формируемым прибором Xi = An3Mi - Аэтг
Таким образом, имеем набор значений погрешности измерений от xi до хп.
Погрешность измерений является случайной величиной. На практике, полагают, что эта случайная величина имеет нормальное распределение. Это обусловлено тем, что погрешности измерений складываются из большого числа небольших возмущений, ни одно из которых не является преобладающим. Согласно же центральной предельной теореме сумма бесконечно большого числа взаимно независимых бесконечно малых случайных величин с любыми распределениями имеет нормальное распределение.
Реально, даже воздействие ограниченного числа возмущений, приводит к нормальному распределению результатов измерений и их погрешностей.
А.2.4 Систематическая составляющая погрешности
При многократных измерениях эффективной оценкой математического ожидания для группы из п наблюдений является среднее арифметическое Т:
-
(4) п
Формула (4) - определяет систематическую составляющую погрешности.
А.2.5 Среднеквадратическое отклонение СКО систематической погрешности
Оценка дисперсии будет выражаться:
-
(5)
Тогда среднеквадратическое отклонение от этого среднего сг определяется, как квадратный корень из выражения (5):
а (6)
А.2.6 Доверительный интервал систематической составляющей погрешности
95% - ный доверительный интервал для оцениваемой погрешности задается как:
х = х ± 1,96 (7)
А.2.7 Доверительный интервал для дисперсии
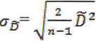
Величина D - представляет сумму случайных величин и в нашем случае можно утверждать, что величина D распределена по нормальному закону.
Тогда:
D[D1 = — D2,
(8)
(9)
L J и—1
а среднеквадратическое отклонение будет равно:

95% - ный доверительный интервал для дисперсии D будет определяться:
D = D + l,96ff^ (10)
Таким образом, 95% - ный доверительный интервал для СКО систематической погрешности будет ограничен интервалом о — 1,96 сг^; V'd + 1,96 ог5).
А.2.8 Доверительный интервал суммарной погрешности
Доверительный интервал, в котором находится значение суммарной погрешности за-
дается формулой: |
Atmin Хсум < Atmax, (11) |
или |
AVmin< ХСум< AVmax. (12) |
Min и шах - это минимальное и максимальное значения погрешности измерения длительности сессии или объема переданного файла, в зависимости от вида испытаний.
А.2.9 Оценка вероятности неправильной работы контролируемого оборудования
Оценка вероятности неправильной работы контролируемого оборудования производится исходя из зафиксированных на конец испытаний значений п (общее число проводимых опытов) и у (количество отказов) по формулам (2) и (3).
Вероятность отказа Ротк будет принадлежать диапазону:
Рн<Ротк<Рв, (I-3)
где Рн и Рв соответственно нижняя и верхняя границы вероятности отказа. Эти границы, в свою очередь, могут быть найдены из уравнений (14) и (15) при внесе
(14)

О дЧ1-р3)
(15)
В таблицах А1 и А2 представлены число необходимых испытаний для вероятности ошибок Ро= 0,01 и Ро= 0,0001.
Таблица А1 - Вероятность ошибки Ро = 0,01
Число испытаний |
Успешно, если число ошибок меньше или равно |
Неуспешно, если число ошибок больше |
299 |
1 |
6 |
473 |
2 |
9 |
628 |
л 3 |
11 |
773 |
4 |
13 |
913 |
5 |
14 |
1049 |
6 |
16 |
1182 |
7 |
18 |
1312 |
8 |
19 |
1441 |
9 |
21 |
1568 |
10 |
22 |
1693 |
И |
24 |
1818 |
12 |
25 |
1941 |
13 |
27 |
2064 |
14 |
28 |
2185 |
15 |
30 |
2306 |
16 . |
31 |
Таблица А2 - Вероятность ошибки Ро = 0,0001
Число испытаний |
Успешно, если число ошибок меньше или равно |
Неуспешно, если число ошибок больше |
29956 |
1 |
6 |
47437 |
2 |
9 |
62956 |
3 |
И |
77535 |
4 |
13 |
91533 |
5 |
14 |
105128 |
6 |
16 |
118422 |
7 |
18 |
131479 |
8 |
19 |
144344 |
9 |
21 |
157049 |
10 |
22 |
169619 |
И |
24 |
182072 |
12 |
25 |
194422 |
13 |
27 |
206682 |
14 |
28 |
218861 |
15 |
30 |
230968 |
16 |
31 |
ПРИЛОЖЕНИЕ Б (справочное)
Таблицы результатов поверки
Таблица Б1 - Итоговые результаты
№ этапа |
Длительность, L, с |
Количество соединений |
Количество ошибок измерений |
Количество пропущенных соединений |
Результат этапа |
1 |
1 |
300 | |||
2 |
600 |
8 | |||
3 |
3600 |
8 | |||
Итог |
316 |
Таблица БЗ - Доверительные интервалы
Вероятность отказа min |
Вероятность отказа max |
Суммарная составляющая min |
Суммарная составляющая max |
Систематическая составляющая min |
Систематическая составляющая max |
CKO систематической составляющей погрешности min |
CKO систематической составляющей погрешности max |
ПРИЛОЖЕНИЕ В
(справочное)
Описание формата файла тарифной информации
Наименование шаблона конвертора - Avaya-Aura-2020.cfg
Для того, чтобы файл подробного учета, полученный от системы измерений длительности соединений СИДС, был корректно импортирован программным обеспечением прибора СИГМА необходимо определить и описать его структуру.
Файл подробного учета, полученный от СИДС "Avaya-Aura" имеет текстовый формат с разделителями полей, где в качестве символа разделителя по подзаписям используется символ "точка с запятой", а каждая строка заканчивается символом "перевод каретки".
Это означает, что подзаписи располагаются в строке со строго определенным смещением по подзаписям от начала записи (начала строки). Таким образом, для идентификации соответствующей подзаписи используется значение, соответствующее десятичному числу разделителей, отделяющих искомую подзапись от начала строки, счет начинается с нуля. Каждая строка содержит информацию об одном соединении.
Полученный файл следует сохранить в формате csv и скопировать в прибор СИГМА в каталог: home/administrator/sotsbi/sigma_ats/SIPD.
Программное обеспечение прибора СИГМА импортирует четыре подзаписи из каждой строки файла учета:
-
• Номер вызывающего абонента содержится в подзаписи со смещением 2;
-
• Номер вызываемого абонента содержится в подзаписи со смещением 3:
-
• Дата и время начала соединения содержатся в подзаписи со смещением 4, в формате МЕС ДЕН ГОД ЧАС МИН СЕК. Указанные поля не содержат разделителя.
-
• Продолжительность соединения, в миллисекундах - содержится в подзаписи со смещением 6.
1
А
В
С
D
Е
F
G
н
1 J
16
7312020
1446
56004 58004
7312020143639
7312020144639
600000
17
7312020
1446
56005
58005
7312020143639
7312020144639
600000
18
7312020
1446
57002
56007
7312020143639
7312020144639
600000
19
7312020
1446
56002
57007
7312020143639
7312020144639
600000
20
7312020
1446
58001
57004
7312020143640
7312020144641
601000
21
7312020
1446
57001
56008
7312020143640
7312020144641
601000
22
7312020
1547
56004
58004
7312020144707
7312020154708
3601000
23
7312020
1547
56002
57007
7312020144708
7312020154708
3600000
24
7312020
1547
58001
57004
7312020144708
7312020154708
3600000
25
7312020
1547
57001
56008
7312020144709
7312020154709
3600000
26
7312020
1547
56004
58004
7312020154735
7312020154736
1000
27
7312020
1547
58001
57004
7312020154737
7312020154738
1000
28
7312020
1547
56002
57007
7312020154737
7312020154738
1000
9Q
7Ч17Л7Л
С17ЛЛ1
ЧАЛЛЙ
7Й17Л7Л1^Л7ЛЛ
эллл
Рисунок 11 Пример файла учета, полученного от СИДС (фрагмент)
Пример:
Первая строка приведенного файла интерпретируется ПО прибора СИГМА следующим образом:
абонент с номером 56004 инициировал телефонное соединение с абонентом 58004, дата и время начала которого зафиксирована в файле, как 31 июля 2020 г. 14 ч, 36 мин 39 с, а продолжительность соединения - 600 секунд (600 000 мс).
Лист регистрации изменений
Изм. |
Номера листов (страниц) |
Всего листов (страниц) в документе |
Номер документа |
Входящий номер сопроводительного документа |
Подпись |
Дата | |||
измененных |
замененных |
новых |
аннулированных | ||||||