Методика поверки «ГСИ. Счетчики-расходомеры массовые кориолисовые ROTAMASS» (МП 1030-1-2019)
ФЕДЕРАЛЬНОЕ АГЕНТСТВО ПО ТЕХНИЧЕСКОМУ РЕГУЛИРОВАНИЮ И МЕТРОЛОГИИ Федеральное государственное унитарное предприятие «Всероссийский научно-исследовательский институт расходометрии» Государственный научный метрологический центр
ФГУП «ВНИИР»
УТВЕРЖДАЮ

ИНСТРУКЦИЯ
Государственная система обеспечения единства измерений
СЧЕТЧИКИ-РАСХОДОМЕРЫ МАССОВЫЕ КОРИОЛИСОВЫЕ ROTAMASS
Методика поверки
МП 1030-1-2019
Начальнику аНИО-1

___А Р.А. Корнеев
6Z т Тел. отдела: 272-12-02
г. Казань
2019 г.
Настоящая методика распространяется на счетчики-расходомеры массовые кориолисовые ROTAMASS (далее - СРМ) фирмы «Rota Yokogawa GmbH & Со.KG» (Германия), предназначенные для измерений массового и объемного расходов жидкости, массы и объема жидкости в потоке, плотности и температуры жидкости, и устанавливает методику и последовательность их первичной и периодической поверок.
Интервал между поверками - 4 года.
1. ОПЕРАЦИИ ПОВЕРКИ-
1.1 При проведении поверки выполняют следующие операции:
-
- внешний осмотр (пункт 6.1);
-
- подтверждение соответствия программного обеспечения (пункт 6.2);
-
- опробование (пункт 6.3);
-
- определение метрологических характеристик (пункт. 6.4).
-
2.1 При проведении поверки применяют следующие средства поверки:
-
- вторичный эталон единицы массового расхода и массы жидкости в потоке в соответствии с частью 1 приказа № 256 «Об утверждении Государственной поверочной схемы для средств измерений массы и объема жидкости в потоке, объема жидкости и вместимости при статических измерениях, массового и объемного расходов жидкости» от 07.02.2018 в диапазоне расходов, соответствующем диапазону расхода, поверяемого СРМ (далее - эталон расхода);
-
- рабочий эталон единицы объемного расхода и объема жидкости в потоке 1-го разряда в соответствии с частью 1 приказа № 256 «Об утверждении Государственной поверочной схемы для средств измерений массы и объема жидкости в потоке, объема жидкости и вместимости при статических измерениях, массового и объемного расходов жидкости» от 07.02.2018 в диапазоне расходов, соответствующем диапазону расхода, поверяемого СРМ. Пределы относительной погрешности эталона должны быть в три раза меньше пределов допускаемой относительной погрешности СРМ при измерении объемного расхода и объема жидкости в потоке (далее - эталон расхода);
-
- рабочий эталон единицы плотности 1-го разряда в соответствии с Государственной поверочной схемой для средств измерений плотности ГОСТ 8.024-2002 с пределами допускаемой абсолютной погрешности эталона при измерении (воспроизведении) плотности не более ± 0,1 кг/м3 (далее - эталон единицы плотности);
-
- рабочий эталон единицы температуры 3-го разряда в соответствии с Государственной поверочной схемой для средств измерений температуры по ГОСТ 8.558-2009, с пределами допускаемой абсолютной погрешности не более ± 0,3 °C (далее - эталон единицы температуры).
-
2.2 Допускается применение аналогичных средств поверки, обеспечивающих определение метрологических характеристик поверяемых СИ с требуемой точностью.
-
3.1 При проведении поверки соблюдают требования:
-
- правил технической эксплуатации электроустановок потребителей;
-
- правил техники безопасности при эксплуатации электроустановок потребителей;
-
- правил безопасности при эксплуатации СРМ и средств поверки, приведенных в их эксплуатационных документах;
-
- инструкций по охране труда, действующих на объекте.
-
3.2 К проведению поверки допускаются лица, изучившие настоящую инструкцию, руководство по эксплуатации СРМ и прошедшие инструктаж по технике безопасности на объекте.
-
3.3 К средствам поверки и используемому при поверке оборудованию обеспечивают свободный доступ. При необходимости предусматривают лестницы и площадки, соответствующие требованиям безопасности.
-
3.4 Освещенность должна обеспечивать отчетливую видимость применяемых средств поверки и снятия показаний с СРМ.
-
3.5 При появлении течи жидкости и других ситуаций, нарушающих процесс поверки, поверка должна быть прекращена.
При проведении поверки должны соблюдаться следующие условия:
-
4.1 Окружающая среда с параметрами:
-
- температура окружающего воздуха, °C от плюс 15 до плюс 25
-
4.2 Измеряемая среда - вода водопроводная очищенная с параметрами:
-
- температура, °C от плюс 15 до плюс 25
-
4.3 Допускается на основании письменного заявления владельца СРМ проводить периодическую поверку отдельных измерительных каналов (частотно-импульсного выхода или токового выхода при измерении массового и (или) объемного расхода жидкости массы и (или) объема жидкости в потоке, а также каналов измерений температуры и плотности жидкости). Соответствующая запись должна быть сделана в свидетельстве о поверке СРМ.
-
5.1 При подготовке к поверке выполняют следующие работы:
-
- проводят проверку выполнения условий разделов 2-4 настоящей инструкции; проводят монтаж СРМ на эталон расхода в соответствии с их
эксплуатационными документами;
-
- проводят проверку правильности монтажа СРМ и эталона, их электрических цепей и заземления в соответствии с их эксплуатационными документами;
-
- проводят проверку герметичности фланцевых соединений и узлов гидравлической системы рабочим давлением (систему считают герметичной, если при рабочем давлении эталона в течение 5 минут не наблюдается течи и капель поверочной жидкости, а также отсутствует падение давления по контрольному манометру на эталоне);
-
- проверяют стабильность установки нуля СРМ, согласно руководству по эксплуатации СРМ;
-
- проводят операции по удалению воздуха из измерительной линии эталона согласно эксплуатационным документам на эталон;
-
- проводят проверку установленных коэффициентов метр-фактора MFm и коэффициента Sensor Coefficient SK20 установленных в СРМ. При первичной поверке значения метр-фактора MFm должно быть установлено равным 1 или равным значению, полученному при градуировке СРМ, значение коэффициента Sensor Coefficient SK.20 должно соответствовать значению, установленному изготовителем. При периодической поверке значение коэффициента коррекции MFm и коэффициента Sensor Coefficient SK.20 должны соответствовать значениям, установленным при предыдущей поверке.
-
6.1 Внешний осмотр
Визуальным осмотром проверяют отсутствие механических повреждений, влияющие на работоспособность СРМ, проверяют соответствие комплектности и маркировки требованиям эксплуатационных документом СРМ.
Результаты проверки считают положительными, если отсутствуют механические повреждения СРМ, влияющие на работоспособность СРМ, комплектность и маркировка соответствуют требованиям эксплуатационных документов СРМ.
-
6.2 Подтверждение соответствия программного обеспечения
При подтверждении соответствия программного обеспечения проводят проверку номера версии (идентификационного номера) программного обеспечения. Проверку номера версии (идентификационного номера) программного обеспечения проводят при включении СРМ (после включения СРМ выполнит самодиагностическую проверку целостности данных, затем на дисплей кратковременно отобразится номер версии (идентификационный номер) программного обеспечения.
Результат подтверждения соответствия программного обеспечения считается положительным, если полученные идентификационные данные программного обеспечения СРМ (номер версии (идентификационный номер) программного обеспечения) соответствуют идентификационным данным, указанным в описании типа и паспорте СРМ.
-
6.3 Опробование
При опробовании определяют работоспособность СРМ.
Опробование СРМ проводят путем увеличения или уменьшения расхода жидкости, воспроизводимого эталоном в пределах диапазона измерений СРМ.
Результат опробования СРМ считают положительным, если при увеличении или уменьшении расхода показания расхода жидкости СРМ изменяются соответствующим образом (увеличиваются или уменьшаются).
-
6.4 Определение метрологических характеристик
При определении метрологических характеристик СРМ при измерении массового (объемного) расхода и массы (объема) жидкости в потоке проводят определение основной относительной погрешности СРМ при измерении массы (объема) жидкости в потоке путем сравнения показаний эталона расхода и СРМ при использовании частотно-импульсного выхода по пункту 6.4.1 настоящей инструкции.
При определении метрологических характеристик СРМ при преобразовании частотно-импульсного сигнала в аналоговый токовый проводят определение основной относительной погрешности СРМ путем сравнения показаний СРМ при измерении массы (объема) жидкости, определенные с использованием частотно-импульсно выхода и показаний СРМ при измерении массы (объема) жидкости, определенные с использованием аналогового токового выхода по пункту 6.4.2 настоящей инструкции.
При определении метрологических характеристик СРМ при измерении плотности жидкости проводят определение абсолютной погрешности СРМ при измерении плотности жидкости путем сравнения показаний эталона плотности и СРМ по пункту 6.4.3 настоящей инструкции.
При определении метрологических характеристик СРМ при измерении температуры жидкости проводят определение абсолютной погрешности СРМ при измерении температуры жидкости путем сравнения показаний эталона температуры и СРМ по пункту 6.4.4 настоящей инструкции.
-
6.4.1 Определение основной относительной погрешности СРМ при измерении массы (объема) жидкости в потоке при использовании частотно-импульсно выхода.
Относительную погрешность СРМ при измерении массы (объема) жидкости в потоке определяют на не менее трех значениях массового (объемного) расхода жидкости в соответствии с таблицей 1.
Таблица 1 - Значения массового (объемного' |
расхода жидкости | |
Номер проверочной точки |
Значение массового (объемного) расхода жидкости, т/ч (м3/ч) |
Допускаемое отклонение воспроизведения массового (объемного) расхода жидкости на эталоне расхода, % |
1 |
QuauM. |
+ 5 |
2 |
0,5 'QnaH6. |
±5 |
3 |
0,9’Qnan6. | |
QuauM - наименьшее значение диапазона измерений массового (объемного) расхода и массы (объема) жидкости в потоке согласно паспорту СРМ, т/ч (м3/ч); QuauM. - наибольшее значение диапазона измерений массового (объемного) расхода и массы (объема) жидкости в потоке согласно паспорту СРМ, т/ч (м3/ч); |
При каждом значении массового (объемного) расхода жидкости проводят не менее трех измерений. При каждом измерении обеспечивают время измерений не менее 30 секунд или набор из не менее 10000 импульсов от СРМ.
Основную относительную погрешность СРМ при измерении массы жидкости в потоке при использовании частотно-импульсного выхода 8м ц, в процентах, вычисляют по формуле:
^ = Ч;ММ,'Л|ОО%. (1)
где М - значение массы жидкости, по показаниям СРМ с использованием частотно-импульсного выхода, кг (вычисляют по формуле (2));
Мэ - значение массы жидкости, воспроизведенной эталоном расхода, кг;
i,j - индексы точки расхода и измерения соответственно.
При использовании частотно-импульсного выхода массу по показаниям СРМ вычисляют по формуле:
4,=^-<7, (2)
где Ni - количество импульсов, сгенерированных СРМ за время измерений, имп;
q - цена импульса СРМ при измерении массы, кг/имп (определяют в соответствии с паспортом СРМ).
Основную относительную погрешность СРМ при измерении объема жидкости в потоке при использовании частотно-импульсного выхода $///, в процентах, вычисляют по
формуле: |
V -V 8,= " ’"-100%, (3) 3iJ |
где V — значение объема жидкости, по показаниям СРМ с использованием частотно-импульсного выхода, м3 (вычисляют по формуле (4));
V) — значение объема жидкости, воспроизведенного эталоном расхода, м3.
При использовании частотно-импульсного выхода объем по показаниям СРМ вычисляют по формуле:
V^N^-q, (4)
где Nt - количество импульсов, сгенерированных СРМ за время измерений, имп; q - цена импульса СРМ при измерении объема, дм3/имп (определяют в соответствии с паспортом СРМ).
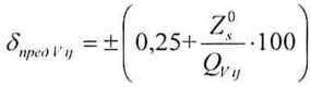
Результат определения метрологических характеристик СРМ по пункту 6.4.1 считают положительным, если значения основной относительной погрешности СРМ при измерении массы жидкости в потоке при использовании частотно-импульсного выхода не превышают пределов допускаемой относительной погрешности СРМ, рассчитанных по формуле (5) настоящей инструкции, и (или) если значения основной относительной погрешности СРМ при измерении объема жидкости в потоке при использовании частотноимпульсного выхода не превышают пределов допускаемой относительной погрешности СРМ, рассчитанных по формуле (6) настоящей инструкции.

•100
(5)
/
где
где
Zs - значение стабильности нуля СРМ (Zero stability), т/ч (принимают равным значению 0,005 т/ч);
Qm - значение измеренного массового расхода жидкости, т/ч.

(6)
Z° - стабильности нуля СРМ (Zero stability) при измерении объемного расхода жидкости, определяют по формуле (7) настоящей инструкции, м3/ч;
Q - значение измеренного объемного расхода жидкости, м3/ч.
Zv1000 р
(7)
где р
- среднее значение плотности жидкости в j-ой точке расхода при i-ом измерении по показаниям СРМ, кг/м3.
-
6.4.2 Определение основной относительной погрешности СРМ при преобразовании частотно-импульсного сигнала в аналоговый токовый.
Относительную погрешность СРМ при преобразовании частотно-импульсного сигнала в аналоговый токовый определяют на не менее трех значениях массового (объемного) расхода в соответствии с таблицей 1 настоящей инструкции. При каждом значении массового (объемного) расхода проводят не менее трех измерений. При каждом измерении обеспечивают время измерений не менее 30 секунд или набор из не менее 10000 импульсов от СРМ.
Основную относительную погрешность СРМ при преобразовании частотноимпульсного сигнала в аналоговый токовый при измерении массы жидкости в потоке^гшу, в процентах, вычисляют по формуле (8) настоящей инструкции, при измерении объема жидкости в потоке 8туц, в процентах, вычисляют по формуле (9) настоящей инструкции:
Л1, -и,
8т.,- м 100 %’ ( )где Мт -
значение массы жидкости, по показаниям СРМ с использованием аналогового выхода, кг (вычисляют по формуле (10)).
у -V
8tv, = -^-100 %,
(9)
где Ут -
значение объема жидкости, по показаниям СРМ с использованием аналогового выхода, дм3 (вычисляют по формуле (10)).

найм

3600
(10)
где
Qm найм - значение наименьшего массового расхода жидкости в соответствии с паспортом СРМ, т/ч;
Qm наиб - значение наибольшего массового расхода жидкости в соответствии с паспортом СРМ, т/ч;
1изм - среднее значение силы тока генерируемое СРМ за время измерений, мА;
1иаим - наименьшее значение силы тока согласно паспорта СРМ, мА (принимают равным 4 мА);
1наиб - наибольшее значение силы тока согласно паспорта СРМ, мА (принимают равным 20 мА);
t — время измерения, с.

I найм
найм /
7
(11)
где
бгнаим - значение наименьшего объемного (массового) расхода жидкости в соответствии с паспортом СРМ, м3/ч (т/ч);
С?Инаиб - значение наибольшего объемного (массового) расхода жидкости в соответствии с паспортом СРМ, м3/ч (т/ч);
Результат определения метрологических характеристик СРМ по пункту 6.4.2 считают положительным, если значения основной относительной погрешности СРМ при преобразовании частотно-импульсного сигнала в аналоговый токовый вычисленных по формуле (8) и (или) (9) настоящей инструкции не превышают пределов ± 0,05 %.
Примечание:
-
1. Определение метрологических характеристик СРМ по пункту 6.4.2 допускается проводить совместно с пунктом 6.4.1 настоящей инструкции.
-
2. При проведении периодической поверки в полном объеме (проведении периодической поверки с использованием частотно-импульсного выхода при измерении массового и объемного расхода жидкости массы и объема жидкости в потоке) допускается определение метрологических характеристик СРМ при преобразовании частотно-импульсного сигнала в аналоговый токовый по пункту 6.4.2 проводить только при измерении массы жидкости в потоке или только при измерении объема жидкости в потоке.
-
6.4.3 Определение абсолютной погрешности СРМ при измерении плотности жидкости
Определение абсолютной погрешности СРМ при измерении плотности жидкости производят с использованием среды по пункту 4.2 настоящей инструкции путем сравнения показаний СРМ и показаний эталона единицы плотности.
Определение абсолютной погрешности СРМ при измерении плотности жидкости допускается проводить двумя методами:
-
- без демонтажа СРМ с эталона расхода путем отнятия проб рабочей жидкости и последующем измерением ее плотности по пункту 6.4.3.1 настоящей инструкции;
-
- с демонтажем СРМ с эталона расхода по пункту 6.4.3.2 настоящей инструкции.
-
6.4.3.1 На дисплей СРМ выводят показания измеренного значения плотности жидкости. При полном заполнении рабочей жидкостью гидравлических линий эталона расхода и рабочего стола, на котором установлен СРМ производят отбор проб жидкости в стеклянный цилиндр (при отсутствии потока жидкости). Плотность отобранной пробы рабочей жидкости определяют в соответствии с эксплуатационными документами применяемого эталона единицы плотности.
Абсолютную погрешность СРМ при измерении плотности жидкости А//, кг/м3 определяют по формуле:
О2) где рерм - значение плотности жидкости по показаниям СРМ, кг/м3;
рэ - значение плотности жидкости по показаниям эталона единицы плотности, кг/м3 (значение плотности жидкости измеренное эталоном единицы плотности и приведенное к условиям измерений в СРМ определяют в соответствии с эксплуатационными документами на эталон единицы плотности).
Результат определения метрологических характеристик СРМ по пункту 6.4.3.1 считают положительным, если значения абсолютной погрешности СРМ при измерении плотности жидкости не превышают пределов ± 1,5 кг/м3.
-
6.4.3.2 Производят демонтаж СРМ с эталона расхода в соответствии с эксплуатационными документами на эталон расхода и СРМ. На один из фланцев СРМ устанавливают технологическую заглушку, и устанавливают СРМ вертикально на заглушенный фланец. Подготавливают вспомогательную емкость с жидкостью, по объему превышающей объем измерительных трубок СРМ. С помощью эталона единицы плотности определяют действительную плотность жидкости во вспомогательной емкости. Далее заполняют измерительные трубки СРМ жидкостью из вспомогательной емкости, и сравнивают показания СРМ и эталона единицы плотности.
Абсолютную погрешность СРМ при измерении плотности жидкости Ад, кг/м3 определяют по формуле (12) настоящей инструкции.
Результат определения метрологических характеристик СРМ по пункту 6.4.3.2 считают положительным, если значения абсолютной погрешности СРМ при измерении плотности жидкости не превышают пределов ± 1,5 кг/м3.
-
6.4.4 Определение абсолютной погрешности СРМ при измерении температуры жидкости
Определение абсолютной погрешности СРМ при измерении температуры жидкости определяют путем сравнения показаний СРМ и показаний эталона единицы температуры. Определение абсолютной погрешности СРМ при измерении температуры жидкости допускается проводить двумя методами:
-
- при подключении к эталону расхода, в состав которого входит эталон единицы температуры, соответствующий требованиям, указанным в разделе 2 настоящей инструкции по пункту 6.4.4.1;
-
- при применении обособленного эталона единицы температуры по пункту 6.4.4.2.
-
6.4.4.1 При полном заполнении жидкостью гидравлических линий эталона расхода производят определение температуры жидкости по показаниям эталона единицы температуры, входящего в состав эталона расхода и по показаниям СРМ. Проводят не менее трех измерений.
Абсолютную погрешность СРМ при измерении температуры жидкости Ат, °C, определяют по формуле:
(13) где Терм - значение температуры жидкости по показаниям СРМ, °C;
Т) - значение температуры жидкости по показаниям эталона, °C.
Результат определения метрологических характеристик СРМ по пункту 6.4.4.1 считают положительным, если значения абсолютной погрешности СРМ при измерении температуры жидкости не превышают пределов ± 1,0 °C.
Примечание:
Допускается абсолютную погрешность СРМ при измерении температуры жидкости проводить во время воспроизведения расхода жидкости эталоном расхода.
-
6.4.4.2 Для этого устанавливают на один из фланцев СРМ заглушку и устанавливают СРМ вертикально на заглушенный фланец. Заполняют измерительные трубки СРМ жидкостью и погружают датчик (преобразователь) температуры (входящий в состав эталона единицы температуры) в измерительные трубки СРМ. Проводят не менее трех измерений температуры измеряемой среды с периодичностью не менее 5 минут.
Абсолютную погрешность СРМ при измерении температуры жидкости Ат, °C, определяют по формуле (13) настоящей инструкции.
Результат определения метрологических характеристик СРМ по пункту 6.4.4.2 считают положительным, если значения абсолютной погрешности СРМ при измерении температуры жидкости не превышают пределов ± 1,0 °C.
Примечание:
Определение метрологических характеристик СРМ по пункту 6.4.4 допускается проводить совместно с пунктом 6.4.3 настоящей инструкции.
7. ОФОРМЛЕНИЕ РЕЗУЛЬТАТОВ ПОВЕРКИ-
7.1 Результаты поверки, измерений и вычислений вносят в протокол поверки СРМ произвольной формы. Протокол поверки является обязательным приложением к свидетельству о поверке.
-
7.2 При положительных результатах поверки оформляют свидетельство о поверке СРМ в соответствии с приказом Минпромторга России от 2 июля 2015 г. № 1815 «Об утверждении Порядка проведения поверки средств измерений, требования к знаку поверки и содержанию свидетельства о поверке». Знак поверки наносится на свидетельство о поверке СРМ, а также в виде наклейки, установленную в соответствии с описанием типа.
На оборотной стороне свидетельства о поверки СРМ указывают:
-
1) диапазон измерений массового (объемного) расхода жидкости, т/ч (м3/ч);
-
2) пределы допускаемой относительной погрешности при измерении массового расхода и массы жидкости в потоке, %;
-
3) пределы допускаемой относительной погрешности при измерении объемного расхода и объема жидкости в потоке, %;
-
4) пределы допускаемой абсолютной погрешности при измерении плотности жидкости, кг/м3;
-
5) пределы допускаемой абсолютной погрешности при измерении температуры жидкости, °C;
-
6) значения коэффициентов MFm и Sensor Coefficient SK.20 установленных вСРМ.
-
7.3 При отрицательных результатах поверки СРМ к эксплуатации не допускают и выдают «Извещение о непригодности к применению» с указанием причин в соответствии с приказом Минпромторга России от 2 июля 2015 г. №1815 «Об утверждении Порядка проведения поверки средств измерений, требования к знаку поверки и содержанию свидетельства о поверке».
10