Методика поверки « Государственная система обеспечения единства измерений Измерители произведения дозы на площадь Kermax-plus 120-131» (MП 2103-001-2018)
Федеральное государственное унитарное предприятие
«Всероссийский научно-исследовательский институт метрологии им. Д.И. Менделеева» ФГУП «ВНИИМ им. Д.И. Менделеева»

Государственная система обеспечения единства измерений
Измерители произведения дозы на площадь KermaX-plus 120-131
Методика поверки
МП 2103-001-2018
измере
£С. Г. Трофимчук
водитель отдела рующих излучений
Старший научный сотрудник

А. Ю. Виллевальде
Санкт-Петербург
2018
Настоящая методика поверки распространяется на измерители произведения дозы на площадь KermaX-plus 120-131 (далее - измерители), предназначенные для измерения:
-
- произведения кермы в воздухе на площадь (произведения дозы на площадь), мкГр м2;
-
- произведения мощности кермы в воздухе на площадь (произведения мощности дозы на площадь), мкГрм2/с.
Методика поверки устанавливает методы и средства первичной и периодической поверок измерителей.
Первичной поверке подлежат измерители до ввода в эксплуатацию и выпускаемые в обращение после ремонта.
Периодической поверке подлежат измерители, находящиеся в эксплуатации.
Интервал между поверками - 2 года.
Примечание. При пользовании настоящей методикой поверки целесообразно проверить действие ссылочных документов по соответствующему указателю стандартов, составленному по состоянию на 1 января текущего года и по соответствующим информационным указателям, опубликованным в текущем году. Если ссылочный документ заменен (изменен), то при пользовании настоящей методикой следует руководствоваться заменяющим (измененным) документом. Если ссылочный документ отменен без замены, то положение, в котором дана ссылка на него, применяется в части, не затрагивающей эту ссылку.
1 Операции поверкиПри проведении поверки должны быть выполнены операции, указанные в таблице 1.
В случае использования прибора в ограниченных диапазонах измеряемых величин и режимов рентгеновского излучения на основании письменного заявления заказчика допускается проведение поверки в этих ограниченных диапазонах. При этом в свидетельстве о поверке должны быть указаны диапазоны, в которых проводилась поверка, и режимы рентгеновского излучения.
Таблица 1
|
Наименование операции |
Номер пункта методики |
Проведение операции при | |
|
первичной поверке |
периодической поверке | ||
|
Внешний осмотр |
7.1 |
да |
да |
|
Опробование |
7.2 |
да |
да |
|
Подтверждение соответствия программного обеспечения измерителя |
7.3 |
да |
да |
|
Определение основной относительной погрешности измерителя при измерениях произведения кермы в воздухе на площадь и произведения мощности кермы в воздухе на площадь: |
7.4 |
да |
да |
|
- на эталонной дозиметрической установке (поверяемый прибор не установлен в кожух |
7.4.1 |
да° |
нет |
|
рентгеновской установки); - с использованием эталонного дозиметра (поверяемый прибор установлен на штатное место в кожухе рентгеновской установки); |
7.4.2 |
да1} |
да2) |
|
- с использованием эталонного измерителя произведения дозы на площадь (поверяемый прибор установлен на штатное место в кожухе рентгеновской установки) |
7.4.3 |
нет |
да2) |
|
Наименование операции |
Номер пункта методики |
Проведение операции при | |
|
первичной поверке |
периодической поверке | ||
|
Определение энергетической зависимости чувствительности измерителя |
7.5 |
да |
нет |
|
Оформление результатов поверки |
8 |
да |
да |
|
Примечания:
| |||
-
2.1 При проведении поверки должны применяться эталоны, средства измерений и вспомогательное оборудование, приведенные в таблице 2.
-
2.2 Все средства измерений, применяемые при поверке, должны иметь действующие свидетельства о поверке.
-
2.3 Допускается использование иных средств измерений и оборудования с характери
стиками, не уступающими приведенным в таблице 2.
Таблица 2
|
Номер пункта методики |
Наименование средств поверки и вспомогательного оборудования |
Основные метрологические характеристики |
|
7.4.1, 7.5 |
Рабочий эталон 1-го разряда по ГОСТ Р 8.804-2012 - поверочная дозиметрическая установка рентгеновского излучения |
Диапазон анодных напряжений на рентгеновской трубке 50-150 кВ. Режимы серии RQR по ГОСТ Р МЭК 612672001. Диапазон мощности кермы в воздухе 10 мкГр/с - 100 мГр/с. Диапазон кермы в воздухе 0,1 мГр - 20 Гр. Основная погрешность не более ±3 %. Площадь поля в месте расположения ионизационной камеры поверяемого дозиметра 4130 см2. |
|
7.4.2, 7.5 |
Дозиметр рентгеновского излучения эталонный 1-го разряда по ГОСТ Р 8.804-2012 с ионизационной камерой объемом не более 1 см3 |
Диапазон регистрируемых энергий фотонов 20-150 кэВ. Диапазон измеряемых значений мощности кермы в воздухе 10 мкГр/с - 0,5 Гр/с. Диапазон измеряемых значений кермы в воздухе 0,1 мГр - 20 Гр. Основная погрешность дозиметра по керме в воздухе не более ±2,5 %. |
|
7.4.2 |
Измеритель произведения дозы на площадь эталонный 2-го разряда по ГОСТ Р 8.804-2012 |
Диапазон анодных напряжений на рентгеновской трубке 40-150 кВ. Диапазон измеряемых значений произведения дозы (кермы в воздухе) на площадь 0,01 мкГрм2 - 100 мГрм2. Диапазон измеряемых значений произведения мощности дозы (мощности кермы в воздухе) на площадь 0,01 мкГр м2/с -0,3 мГр м1/с. Основная погрешность измерителя не более ±4 %. |
|
7.4.3 |
Линейка измерительная по ГОСТ 427-75 |
Диапазон 0-1000 мм. Цена деления 1 мм |
|
7.4, 7.5 |
Секундомер ИНТЕГРАЛ С-01 |
Дискретность отсчета 0,01с; погрешность ±(9,6- 10'2Тх+ 0,01) с |
|
7.4.1, 7.5 |
Формирующая диафрагма |
Материал РЬ; толщина не менее 10 мм; габаритные размеры не менее 190 мм х 190 мм; площадь формируемого поля рентгеновского излучения 4-90 см2 |
|
7.4, 7.5 |
Термометр лабораторный ЛТ-18 |
Диапазон измерения температуры 0—40 °C; цена деления 0,1 °C |
|
7.4, 7.5 |
Метеометр |
Диапазон измерений давления 80-110 кПа; погрешность ± 0,8 кПа. Диапазон измерений влажности 0-98 %; погрешность ±3 % |
|
7.4, 7.5 |
Дозиметр ДКС-АТ1123 |
Диапазон измерений мощности амбиентного эквивалента дозы 0,05 мкЗв/ч-10 Зв/ч; погрешность ±15 % |
К проведению измерений и обработке результатов измерений допускаются лица, имеющие профессиональные знания в области дозиметрии, изучившие руководство по эксплуатации и аттестованные на право поверки дозиметрических средств измерений.
4 Требования безопасности при проведении поверки-
4.1 При проведении поверки должны соблюдаться требования Основных санитарных правил обеспечения радиационной безопасности ОСПОРБ-99/2010 СП 2.6.1.2612-10, Норм рядиятщонной безопасности НРБ-99/2009 СанПиН 2.6.1.2523—09, Межотраслевых правил по охране труда (правил безопасности) при эксплуатации электроустановок ПОТР-016-2001, действующих инструкций по мерам безопасности в поверочной лаборатории, а также требования безопасности, изложенные в соответствующих разделах технической документации на средства поверки.
-
4.2 К работе должны привлекаться лица, имеющие допуск к работе с источниками ионизирующих излучений.
-
- внешний радиационный фон
(мощность амбиентного эквивалента дозы), мкЗв/ч не более 0,2.
6 Подготовка к поверке-
6.1 Перед проведением поверки необходимо ознакомиться с руководством по эксплуатации на измеритель (далее РЭ); подготовить измеритель к работе в соответствии с РЭ.
-
6.2 При проведении первичной поверки на эталонной дозиметрической установке необходимо проверить наличие следующего вспомогательного оборудования (с указаниями по его подключению и установке):
-
- адаптер USB 120-170 CAP Tool Set ARCOMA (IBA Dosimetry);
-
- переходник Peak IPEH-002022-203515;
-
- блок питания 120805 Power supply DTI2, напряжение питания 100-240 В переменного тока, частота 50/60 Гц;
-программное обеспечение DAP Display версии V. 1.1.1, установленное на компьютер.
Допускается использование иного вспомогательного оборудования с аналогичными характеристиками.
-
6.3 Все установки и средства измерений должны быть подготовлены к работе в соответствии с технической документацией на них.
-
7 Проведение поверки
При проведении внешнего осмотра должно быть установлено:
-
- соответствие комплектности поверяемого измерителя требованиям РЭ в объеме, необходимом для проведения поверки;
-
- наличие РЭ, описания типа и свидетельства о предыдущей поверке (при периодической поверке);
-
- отсутствие на измерителе загрязнений, механических повреждений, влияющих на его работоспособность.
При проведении опробования следует проверить работоспособность измерителя в соответствии с РЭ.
7.3 Подтверждение соответствия программного обеспечения измерителя-
7.3.1 Идентификационный номер ПО является частью серийного номера прибора. При поверке идентификации программного обеспечения измерителя осуществляется путем сравнения первых двух цифр и следующей за ними буквы серийного номера прибора с данными из Описания типа, приведенными в Таблице 3.
-
7.3.3 Результат подтверждения соответствия программного обеспечения считается положительным, если идентификационный номер программного обеспечения совпадает с указанным в Таблице 3.
Таблица 3
|
Идентификационные данные (признаки) |
Значения |
|
Идентификационное наименование ПО |
KermaX-plus 120-131 |
|
Идентификационный номер ПО* |
ххА, ххВ, ххС, xxD, где хх - любые цифры |
|
Идентификационный номер ПО является частью серийного номера прибора (первые две цифры и буква). | |
-
7.4 Определение основной относительной погрешности измерителя при измерениях произведения кермы в воздухе на площадь и произведения мощности кермы в воздухе на площадь
При проведении первичной поверки на эталонной дозиметрической установке поверка измерителя проводится без учета ослабления излучения ионизационной камерой измерителя и кожухом рентгеновской установки. Установка измерителя на штатное место в кожухе рентгеновской установки сопровождается его настройкой согласно руководству по эксплуатации, при этом учитываются ослабление излучения ионизационной камерой измерителя и кожухом рентгеновской трубки. Поэтому первичная и периодическая поверка с использованием эталонного дозиметра и периодическая поверка с использованием эталонного измерителя произведения дозы на площадь проводятся с учетом ослабления излучения ионизационной камерой измерителя и кожухом рентгеновской установки.
-
7.4.1 Определение основной относительной погрешности измерителя при измерениях произведения кермы в воздухе на площадь и произведения мощности кермы в воздухе на площадь на эталонной дозиметрической установке
-
7.4.1.1 Основную относительную погрешность поверяемого измерителя при измерениях произведения кермы в воздухе на площадь и произведения мощности кермы в воздухе на площадь определяют с использованием рабочего эталона 1-го разряда по ГОСТ Р 8.8042012 - поверочной дозиметрической установки рентгеновского излучения методом косвенных измерений на режиме рентгеновского излучения RQR8 по ГОСТ Р МЭК 61267-2001 (напряжение генерирования 100 кВ, номинальный слой половинного ослабления (СПО) 3,7 мм А1) при размерах поля рентгеновского излучения от 4 см2 до 90 см2.
-
Примечания:
-
1. Метод косвенных измерений произведения кермы или мощности кермы в воздухе на площадь основан на измерении кермы или мощности кермы в воздухе в опорной точке поля рентгеновского излучения эталонной дозиметрической установки, измерении линейных размеров поля рентгеновского излучения в плоскости, проходящей через эту опорную точку и перпендикулярной оси пучка рентгеновского излучения, и последующем расчете произведения кермы или мощности кермы в воздухе на площадь из результатов измерений указанных величин.
-
2. Формирование поля рентгеновского излучения заданных размеров в месте расположения ионизационной камеры измерителя допускается производить с использованием свинцовых или вольфрамовых пластин толщиной не менее 10 мм, имеющих калиброванные отверстия и геометрические размеры не менее 190 мм х 190 мм, чтобы при установке вплотную к ионизационной камере измерителя пластина полностью ее перекрывала.
-
3. Допускается проводить поверку в поверочных точках на краях диапазона измерений измерителя методом эквивалентного поля с использованием других режимов рентгеновского излучения.
-
7.4.1.2 Определение основной относительной погрешности следует проводить в четырех поверочных точках, соответствующие значения произведения кермы в воздухе на площадь и мощности кермы в воздухе на площадь указаны в таблице 4.
Таблица 4
|
Номер поверочной точки |
Произведение кермы в воздухе на площадь Kq-A, мкГрм2 |
Произведение мощности кермы в воздухе на площадь Kq-A, мкГр-м2/с |
|
1 |
1-5 |
0,1-0,5 |
|
2 |
10-500 |
1-5 |
|
3 |
100-5000 |
10-100 |
|
4 |
10000-100000 |
200-500 |
-
7.4.1.3 При определении основной относительной погрешности измерителя центр чувствительной области ионизационной камеры должен располагаться на центральной оси пучка излучения.
Центр чувствительной области ионизационной камеры измерителя располагается на глубине 8,5 мм от входного окна камеры (геометрический центр камеры). Размер активной площади составляет 140 мм х 140 мм для камеры стандартного размера и 115 мм * 115мм для компактной камеры.
При поверке ионизационную камеру следует располагать так, чтобы рабочая поверхность камеры была перпендикулярна направлению излучения и обращена в сторону рентгеновской трубки.
-
7.4.1.4 В каждой поверочной точке проводят не менее 5 измерений произведения кермы в воздухе на площадь М, и произведения мощности кермы в воздухе на площадь , контролируя воспроизводимость поля рентгеновского излучения, и определяют их средние арифметические значения М и М.
-
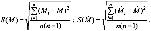
7.4.1.5 Оценивают средние квадратические отклонения результатов измерений произве
дения кермы в воздухе на площадь и произведения мощности кермы в воздухе на площадь поверяемого измерителя по формулам:

(1; 2)
-
7.4.1.6 Определяют границы неисключенной систематической погрешности результатов измерений произведения кермы в воздухе на площадь и произведения мощности кермы в воздухе на площадь при доверительной вероятности р =0,95:
6 -1,1 JА2 + б2 q + 5л + 8пи + >
(3)
где А - максимальная относительная погрешность показаний поверяемого измерителя при
измерении произведения кермы в воздухе на площадь или произведения мощности кермы в воздухе на площадь, %:
|
д = |
\М-К0-А) 100' |
, %, или А - | |
|
1 К.-A J |
max |
L J |
max
%, соответственно,
(4)
М - среднее арифметическое значение показаний поверяемого измерителя при измерении произведения кермы в воздухе на площадь в поверочной точке, мкГр м2;
М - среднее арифметическое значение показаний поверяемого измерителя при измерении произведения мощности кермы в воздухе на площадь в поверочной точке, мкГр м^с;
А - площадь поперечного сечения пучка рентгеновского излучения в месте расположения ионизационной камеры измерителя, м2;
Kq - действительное значение мощности кермы в воздухе в поверочной точке, мкГр/с;
KQ - действительное значение кермы в воздухе в поверочной точке, мкГр;
5^0 - погрешность действительного значения кермы (мощности кермы) в воздухе (из свидетельства об аттестации эталона), %;
3^ - погрешность определения геометрических размеров поля излучения в месте расположения ионизационной камеры измерителя, %;
бим - погрешность, вызванная неоднородностью мощности кермы в воздухе эталонной установки по сечению пучка излучения, %;
3W - погрешность метода поверки в соответствии с ГОСТ Р 8.804-2012, %.
-
7.4.1.7 Доверительные границы основной относительной погрешности поверяемого измерителя вычисляют по формуле:
где - оценка суммарного среднего квадратического отклонения результата измерения;
Coef - коэффициент, зависящий от соотношения случайной и неисключенной систематической погрешностей.
5(Л/) + 50 7 S'C^ + S'e
од - —т= - среднее квадратическое отклонение неисключеннои систематической погрешно-Цэ/З
сти;
S(M) - среднее квадратическое отклонение результатов измерений произведения кермы в воздухе на площадь поверяемого измерителя;
S(M) - среднее квадратическое отклонение результатов измерений произведения мощности кермы в воздухе на площадь поверяемого измерителя;
s - доверительные границы случайной погрешности поверяемого измерителя при измерении произведения кермы в воздухе на площадь (произведения мощности кермы в воздухе на площадь):
е = t0 • S(M) или £ - to • S(M), (8)
где t0 - коэффициент Стьюдента, который определяется в зависимости от доверительной вероятности и числа результатов наблюдений (t0 = 2,78 при доверительной вероятности р =0,95 и числе измерений п = 5).
-
7.4.1.8 Измеритель считается прошедшим поверку, если основная относительная погрешность прибора при поверке 5 не превышает пределов допускаемой основной относительной погрешности измерителя ±(7 + 1 /(К-Л)), %, где (К-А) - безразмерная величина, численно равная произведению кермы в воздухе или произведению мощности кермы в воздухе на площадь.
-
7.4.2 Определение основной относительной погрешности измерителя при измерениях произведения кермы в воздухе на площадь и произведения мощности кермы в воздухе на площадь с использованием эталонного дозиметра
-
7.4.2.1 Основную относительную погрешность поверяемого измерителя при измерениях произведения кермы и мощности кермы в воздухе на площадь определяют методом косвенных измерений с использованием эталонного 1-го разряда по ГОСТ Р 8.804-2012 дозиметра с ионизационной камерой объемом не более 1 см3, аттестованного в полях рентгеновского излучения при напряжениях генерирования от 40 до 150 кВ. Определение основной относительной погрешности поверяемого измерителя производится на режиме рентгеновского излучения с напряжением генерирования 100 кВ. При невозможности задания такого значения напряжения на рентгеновском аппарате устанавливают базовый режим излучения, используемый при диагностике на данном аппарате.
-
7.4.2.2 Перед началом поверки стол для пациента (если он используется при облучении) устанавливают в горизонтальное положение. На нем размещают кассету с высококонтрастной рентгеновской пленкой для рентгенографии по центру пучка излучения и перпендикулярно его оси. При отсутствии стола для пациента кассету размещают на приемном устройстве или специальном штативе на расстоянии от рентгеновской трубки, соответствующем местоположению пациента.
-
С помощью диафрагмы рентгеновского аппарата по световому полю устанавливают максимальный размер поля рентгеновского излучения на кассете.
-
7.4.2.3 Облучение пленки рекомендуется проводить на режиме излучения рентгеновского аппарата 70 кВ и 40 мАс.
-
7.4.2.4 Рентгеновскую пленку проявляют кратковременно, для того чтобы получить четкие края поля излучения, измеряют геометрические размеры поля с помощью металлической линейки и рассчитывают площадь поля излучения А с погрешностью не более ±3 %. Границей поля рентгеновского излучения следует считать зону с интенсивностью излучения, составляющей 50 % от интенсивности в центре поля излучения.
Примечание. Допускается определять размер поля излучения другими способами, в том числе по световому полю рентгеновского аппарата, с погрешностью не более ±3 %.
-
7.4.2.5 На рентгеновском аппарате устанавливают время экспозиции и анодный ток, максимально возможные на режиме излучения, выбранном для проведения поверки.
-
7.4.2.6 Стол для пациента убирают из пучка излучения. Ионизационную камеру эталонного дозиметра устанавливают в центре поля излучения на месте расположения рентгеновской пленки и включают режим излучения.
Примечание. В поле излучения вблизи камеры не должно находиться предметов, вызывающих рассеяние рентгеновского излучения.
-
7.4.2.7 С помощью эталонного дозиметра определяют значения кермы в воздухе за время действия излучения K'$j и мощности кермы в воздухе К'щ. Снимают показания поверяемого измерителя при измерении произведения кермы в воздухе на площадь Mj и при измерении произведения мощности кермы в воздухе на площадь Mj. Измерения К'^, К'щ, Mj и Mj повторяют не менее 5 раз и вычисляют их средние арифметические значения K'q , K'q , М и М, контролируя воспроизводимость поля рентгеновского излучения.
-
7.4.2.8 Оценивают средние квадратические отклонения результатов измерений произведения кермы в воздухе на площадь и произведения мощности кермы в воздухе на площадь поверяемого измерителя по формулам (1) и (2) соответственно.
-
7.4.2.9 Равномерно перемещая ионизационную камеру эталонного дозиметра по двум взаимно перпендикулярным осям поля излучения на одинаковые расстояния от центра поля, определяют относительное распределение кермы в воздухе по полю облучения, выбрав по одной точке на каждой полуоси.
-
7.4.2.10 Рассчитывают усредненную по полю излучения мощность кермы в воздухе, исходя из результатов измерения в пяти точках поля, включая центр, и вычисляют коэффициент кпи, учитывающий неоднородность поля излучения:
5

(9)
где K'j - мощность кермы в воздухе в j-ой точке поля излучения;
К J - мощность кермы в воздухе в центре поля излучения.
-
7.4.2.11 Рассчитывают эталонные значения кермы в воздухе Kq и мощности кермы в воздухе Kq , усредненные по полю излучения, по формулам:
К0=К{-кпи-, К.=К{-кпи.
(Ю; И)
-
7.4.2.12 Устанавливают минимально возможные для данного режима излучения время экспозиции и анодный ток и выполняют действия по п. 7.4.2.7—7.4.2.8. Рассчитывают эталонные значения кермы и мощности кермы в воздухе, усредненные по полю излучения, по формулам (10; И).
-
7.4.2.13 Измерения по п. 7А2.7-7.4.2.8 повторяют еще при двух значениях анодного тока и времени экспозиции. Рассчитывают эталонные значения кермы и мощности кермы в воздухе, усредненные по полю излучения, по формулам (10; 11).
-
7.4.2.14 Определяют границы неисключенной систематической погрешности результатов измерений произведения кермы в воздухе на площадь и произведения мощности кермы в воздухе на площадь при доверительной вероятности р =0,95:
9 = l,l^2+82.()+82+62 , (12)
где Д - максимальная относительная погрешность показаний поверяемого измерителя при измерении произведения кермы в воздухе на площадь или произведения мощности кермы в воздухе на площадь, %:
|
д = |
(М-К„.Л)юо |
, %, или Д = |
(лС*»л>.1оо |
|
L К^А J |
max |
, %, соответственно,
max
(13)
М - среднее арифметическое значение показаний поверяемого измерителя при измерении произведения кермы в воздухе на площадь для заданных значений времени экспозиции и анодного тока, мкГр м2;
М - среднее арифметическое значение показаний поверяемого измерителя при измерении произведения мощности кермы в воздухе на площадь для заданных значений времени экспозиции и анодного тока, мкГр м2/с;
А - площадь поперечного сечения пучка рентгеновского излучения в месте расположения ионизационной камеры эталонного дозиметра, м2;
Kq - эталонное значение мощности кермы в воздухе, мкГр/с;
Kq - эталонное значение кермы в воздухе при заданных значениях времени экспозиции и анодного тока, мкГр;
- погрешность эталонного значения кермы (мощности кермы) в воздухе (из свидетельства на эталонный дозиметр), %;
8а - погрешность определения геометрических размеров поля излучения в месте расположения ионизационной камеры эталонного дозиметра, %;
8т - погрешность метода поверки в соответствии с ГОСТ Р 8.804-2012, %.
-
7.4.2.15 Доверительные границы основной относительной погрешности поверяемого измерителя вычисляют по формуле:
6 = Coef-SY, (14)
где Sz - оценка суммарного среднего квадратического отклонения результата измерения;
Coef - коэффициент, зависящий от соотношения случайной и неисключенной систематической погрешностей.
(15)
= yjsl+S2(M) или = <js%+S2(M);
Coef =
E + 0 S(M) + Se
или Coef -
e + 0 S(M) + SQ
(16)
50 =
- среднее квадратическое отклонение неисключенной систематической погрешности; S(M) - среднее квадратическое отклонение результатов измерений произведения кермы в воздухе на площадь поверяемого измерителя;
S(M) - среднее квадратическое отклонение результатов измерений произведения мощности кермы в воздухе на площадь поверяемого измерителя;
е - доверительные границы случайной погрешности поверяемого измерителя при измерении произведения кермы в воздухе на площадь (произведения мощности кермы в воздухе на площадь):
-
8 = t0 • S(M) или 8 = to • S(M), (17)
где t0 - коэффициент Стьюдента, который определяется в зависимости от доверительной вероятности и числа результатов наблюдений (t0 - 2,78 при доверительной вероятности р =0,95 и числе измерений п = 5).
-
7.4.2.16 Измеритель считается прошедшим поверку, если основная относительная погрешность прибора при поверке 5 не превышает пределов допускаемой основной относительной погрешности измерителя ±(7 + 1 /(К-Л)), %, где (К-А) - безразмерная величина, численно равная произведению кермы в воздухе или произведению мощности кермы в воздухе на площадь.
-
7.4.3 Определение основной относительной погрешности измерителя при измерениях произведения кермы в воздухе на площадь и произведения мощности кермы в воздухе на площадь с использованием эталонного измерителя произведения дозы на площадь
-
7.4.3.1 Основную относительную погрешность поверяемого измерителя при измерениях произведения кермы и мощности кермы в воздухе на площадь определяют методом непосредственного сличения с помощью эталонного 2-го разряда по ГОСТ Р 8.804-2012 измерителя произведения дозы на площадь, аттестованного в полях рентгеновского излучения при напряжениях генерирования от 40 до 150 кВ. Определение основной относительной погрешности поверяемого измерителя производится на режиме рентгеновского излучения с напряжением генерирования 100 кВ. При невозможности задания такого значения напряжения на рентгеновском аппарате устанавливают базовый режим излучения, используемый при диагностике на данном аппарате.
-
7.4.3.2 Ионизационную камеру эталонного измерителя произведения дозы на площадь устанавливают в центре поля излучения между выходным окном рентгеновской трубки и столом для пациента. При этом размер поля излучения не должен превышать размеры рабочей поверхности ионизационной камеры эталонного измерителя произведения дозы на площадь.
Примечание. Допускается установка камеры эталонного измерителя произведения дозы на площадь на стол для пациента с использованием подставки из воздухоэквивалентного материала, например, пенополистирола.
-
7.4.3.4 На рентгеновском аппарате устанавливают время экспозиции и анодный ток, максимально возможные на режиме излучения, выбранном для проведения поверки.
-
7.4.3.5 Снимают не менее пяти показаний произведения кермы в воздухе на площадь и произведения мощности кермы в воздухе на площадь эталонного измерителя (К-АУ^, (К • Л)о; и поверяемого измерителя Mj и Mj, вычисляют их средние арифметические значения (К-АУ0, (K-A)’o, М и М.
-
7.4.3.6 Оценивают средние квадратические отклонения результатов измерений произведения кермы в воздухе на площадь и произведения мощности кермы в воздухе на площадь поверяемого измерителя по формулам (1) и (2) соответственно.
-
7.43.7 На режимах излучения с напряжением генерирования, отличающимся от 100 кВ, показания эталонного измерителя произведения дозы на площадь должны быть скорректированы на коэффициент, учитывающий энергетическую зависимость его чувствительности (из свидетельства на эталонный измеритель), Cq :
(К-А\ = (К • A)0QCQ; (K-A)o=(K-A)oqCq. (18; 19)
-
7.4.3.8 Устанавливают минимально возможные для данного режима излучения время экспозиции и анодный ток и выполняют действия по п. 7.4.3.5-7.4.3.7.
Действия по п. 7.4.3.5-7.4.3.7 повторяют еще при двух значениях анодного тока и времени экспозиции.
-
7.4.3.9 Определяют границы неисключенной систематической погрешности результатов измерений произведения кермы в воздухе на площадь и произведения мощности кермы в воздухе на площадь при доверительной вероятности р = 0,95:
0 = 1’1д/д2 +5(Х Я)О +5се +Ь2т , (20)
где Д - максимальная относительная погрешность показаний поверяемого измерителя при измерении произведения кермы в воздухе на площадь или произведения мощности кермы в воздухе на площадь, %:
|
"-^•^.100 |
, %, или Д = |
м-(^-А | |
|
L {К-А\ J |
max |
О Я4 |
, %, соответственно,
max
(21)
М - среднее арифметическое значение показаний поверяемого измерителя при измерении произведения кермы в воздухе на площадь для заданных значений времени экспозиции и анодного тока, мкГрм2;
М - среднее арифметическое значение показаний поверяемого измерителя при измерении произведения мощности кермы в воздухе на площадь для заданных значений времени экспозиции и анодного тока, мкГр м2/с;
(К ■ A)Ol - эталонное значение произведения кермы в воздухе на площадь для заданных значений времени экспозиции и анодного тока, мкГрм2;
(К • A)Ol - эталонное значение произведения мощности кермы в воздухе на площадь для заданных значений времени экспозиции и анодного тока мкГрм2/с;
^(К-А)о ~ погрешность эталонного значения произведения кермы (мощности кермы) в воздухе на площадь (из свидетельства на эталонный измеритель), %;
- погрешность определения коэффициента, учитывающего энергетическую зависимость чувствительности эталонного измерителя кермы в воздухе на площадь (из свидетельства на эталонный измеритель), %;
Ьт - погрешность метода поверки в соответствии с ГОСТ Р 8.804-2012, %.
-
7.4.3.10 Доверительные границы основной относительной погрешности поверяемого измерителя вычисляют по формуле:
8 = Сое/-% (22)
где - оценка суммарного среднего квадратического отклонения результата измерения;
Coef - коэффициент, зависящий от соотношения случайной и неисключенной систематической погрешностей.
(23)
Sz = ^Sq+S2(M) или = js£+S2(M) ;
5e =
Coef =
или Coef -
e + 0
5(47)+ S0
(24)
среднее квадратическое отклонение неисключенной систематической погрешности;
S(M) - среднее квадратическое отклонение результатов измерений произведения кермы в воздухе на площадь поверяемого измерителя;
S(M) - среднее квадратическое отклонение результатов измерений произведения мощности кермы в воздухе на площадь поверяемого измерителя;
£ - доверительные границы случайной погрешности поверяемого измерителя при измерении произведения кермы в воздухе на площадь (произведения мощности кермы в воздухе на площадь):
£ = t0 • S(M) или e = t0- S(M), (25)
где t0 - коэффициент Стьюдента, который определяется в зависимости от доверительной вероятности и числа результатов наблюдений (t0 = 2,78 при доверительной вероятности р =0,95 и числе измерений п = 5).
-
7.4.3.11 Измеритель считается прошедшим поверку, если основная относительная погрешность прибора при поверке 8 не превышает пределов допускаемой основной относительной погрешности измерителя ±(7 + 1 ЦК -А)), %, где (К-А) - безразмерная величина, численно равная произведению кермы в воздухе или произведению мощности кермы в воздухе на площадь.
-
7.5.1 Энергетическую зависимость чувствительности измерителя определяют при первичной поверке методом косвенных измерений произведения кермы в воздухе на площадь с использованием эталонного дозиметра.
-
7.5.2 Определяют размер поля излучения по п. п. 7.4.2.2-7.4.2.4, определяют коэффициент кпи, учитывающий неравномерность поля излучения, и проводят измерения по п. 7.4.2.5-7.4.2.7, 7.4.2.9-7.4.2.11.
-
7.5.3 Измерения проводят на режимах излучения с напряжениями генерирования 40 кВ, 50 кВ, 90 кВ, 100 кВ, 120 кВ и 150 кВ. При невозможности задания таких значений напряжений устанавливают режимы излучения, которые обычно используют при проведении диагностических исследований на данном рентгеновском аппарате (3-5 режимов). Время экспозиции и анодный ток подбирают таким образом, чтобы обеспечить значение произведения мощности кермы в воздухе на площадь, близкое к полученному в соответствии с п. 7.4.2.5. На каждом режиме излучения выполняют не менее пяти измерений и вычисляют среднее арифметическое значение показаний дозиметра Mj.
-
7.5.4 Для каждого режима рентгеновского излучения определяют коэффициент чувствительности ksj по формуле:

(26)
где А - площадь поперечного сечения пучка рентгеновского излучения в месте расположения ионизационной камеры эталонного дозиметра, м2;
Kqj - эталонное значение кермы в воздухе, мкГр.
Эталонное значение кермы в воздухе Kqj определяют по формуле, аналогичной формуле (10).
-
7.5.5 Энергетическую зависимость чувствительности измерителя 8gy рассчитывают
по формуле:
(kEj ^gioo) ^slOO
•100,%,
(27)
где ^sioo _ коэффициент чувствительности для режима с напряжением генерирования 100 кВ (или базового режима излучения).
7.5.6 Для каждого режима излучения рассчитывают поправочный множитель, Су, за
|
висящий от энергии излучения: |
Кщ-А ci= Д • <28> |
полученные значения поправочных множителей нормируют к аналогичному коэффициенту для режима с напряжением генерирования 100 кВ и приводят в свидетельстве о первичной поверке измерителя.
7.5.7 Измеритель считается прошедшим поверку, если полученные значения энергетической зависимости чувствительности 6еу не превышают ±8,0 %.
8 Оформление результатов поверки-
8.1 Все результаты заносятся в протокол поверки. Форма протокола поверки приведена в Приложении А.
-
8.2 Положительные результаты поверки измерителя оформляются свидетельством о поверке установленной формы согласно Приложению 1 к Порядку проведения поверки средств измерений, требований к знаку поверки и содержанию свидетельства о поверке, утвержденному приказом Минпромторга России от 2 июля 2015 года № 1815.
Знак поверки наносят на свидетельство о поверке.
-
8.3 На оборотной стороне свидетельства о поверке указывают:
-
- режимы рентгеновского излучения, на которых проведена поверка;
-
- метрологические характеристики измерителя, определенные при поверке: основную относительную погрешность прибора в диапазоне измерений, в котором проведена поверка; при первичной поверке дополнительно указываются энергетическая зависимость и поправочные множители Су;
-
- номер версии программного обеспечения измерителя.
-
8.4 Измеритель, не прошедший поверку, к обращению не допускается.
На прибор выдают извещение о непригодности по установленной форме в соответствии с Приложением 2 к Порядку проведения поверки средств измерений, требований к знаку поверки и содержанию свидетельства о поверке, утвержденному приказом Минпромторга России № 1815 от 2 июля 2015 г., с указанием причин несоответствия.
Свидетельство о предыдущей поверке на измеритель, не прошедший периодическую поверку, аннулируют.
Приложение А (Рекомендуемое)
Форма протокола поверки
Протокол поверки
№_____ от________20___г.
Наименование прибора, тип:
Заводской номер:
Регистрационный номер в Федеральном
информационном фонде по обеспечению
единства измерений:
Заказчик:
Серия и номер знака предыдущей поверки
(если имеются):
Дата предыдущей поверки:
Вид поверки________________________________________________________________
Наименование нормативного документа при поверке________________________________
Средства поверки (наименование эталона и его регистрационный номер, тип и заводские номера средств измерений, применяемых при поверке)______________________________
Условия поверки
|
Параметры |
Требования НД |
Измеренные значения |
РЕЗУЛЬТАТЫ ПОВЕРКИ
-
1 Внешний вид:
Внешний вид, комплектность, маркировка соответствует (не соответствует) требованиям технической документации.
Внешние повреждения прибора отсутствуют (присутствуют).
Вывод: результаты проверки: положительные (отрицательные).
-
2 Опробование
Прибор работоспособен (не работоспособен).
Сообщения об ошибках отсутствуют (имеются; указать содержание).
Результаты опробования положительные (отрицательные).
-
3 Подтверждение соответствия программного обеспечения (ПО)
Номер версии программного обеспечения_____.
Результаты подтверждения соответствия ПО положительные (отрицательные).
4 Определение метрологических характеристикПримечание. В разделе 4.1 следует выбирать таблицу, соответствующую используемому методу поверки (п. 7.4.1, 7.4.2 или 7.4.3).
-
4.1 Определение основной относительной погрешности при измерениях произведения кермы в воздухе на площадь и произведения мощности кермы в воздухе на площадь
-
4.1.1 Проведение поверки по п. 7.4.1
-
Результаты измерений и расчетов для произведения кермы в воздухе на площадь
представлены в таблице 1. Таблица 1
|
Номер поверочной точки |
Показания поверяемого дозиметра, мкГрм2 |
Среднее арифметическое значение показаний М, мкГрм2 |
Площадь калиброванного отверстия Л, см2 |
Действительное значение кермы в воздухе Kq, мкГр |
Произведение £0-Л, мкГрм2 |
Основная относительная погрешность 5,% | ||||
|
1 |
2 |
3 |
4 |
5 | ||||||
|
1 | ||||||||||
|
2 | ||||||||||
|
3 | ||||||||||
|
4 | ||||||||||
Результаты измерений и расчетов для произведения мощности кермы в воздухе на площадь заносятся в таблицу, аналогичную Таблице 1.
Предел основной относительной погрешности измерителя при измерении произведения мощности кермы в воздухе на площадь ±(7 +1КК• А)) %, (К-А) - безразмерная величина, численно равная произведению кермы (или мощности кермы) в воздухе на площадь.
Вывод: результаты определения основной относительной погрешности при измерениях произведения кермы в воздухе на площадь (произведения мощности кермы в воздухе на площадь) положительные (отрицательные).
4.1.2 Проведение поверки по п. 7.4.2
Результаты измерений и расчетов для произведения кермы в воздухе на площадь представлены в таблице 2.
Таблица 2
|
Номер режима из-лучения |
Показания поверяемого измерителя, мкГрм2 |
Среднее арифметическое значение показаний М, мкГр м2 |
Площадь поперечного сечения рентгеновского пучка А, м2 |
Эталонное значение кермы в воздухе Ко, мкГр |
Произведение Ко-А, мкГрм2 |
Основная относительная погрешность 6,% | ||
|
1 |
2 |
3 4 5 | ||||||
|
1 Режим излучения (максимально возможные): время экспозиции с анодный ток мА напряжение генерирования кВ | ||||||||
|
1 |
| | |||||||
|
2 Режим излучения (минимально возможные): время экспозиции с анодный ток мА напряжение генерирования кВ | ||||||||
|
2 I |
1 |
1 1 1 | ||||||
|
3 Режим излучения (промежуточные): время экспозиции с анодный ток мА напряжение генерирования кВ | ||||||||
|
3 1 |
Illi 1 1 1 1 | |||||||
|
4 Режим излучения (промежуточные): время экспозиции с анодный ток мА напряжение генерирования кВ | ||||||||
Результаты измерений и расчетов для произведения мощности кермы в воздухе на площадь заносятся в таблицу, аналогичную Таблице 2.
Предел основной относительной погрешности измерителя при измерении произведения мощности кермы в воздухе на площадь ±(7 +1 /(К■ Л)) %, {К-А) - безразмерная величина, численно равная произведению кермы (или мощности кермы) в воздухе на площадь.
Вывод: результаты определения основной относительной погрешности при измерениях произведения кермы в воздухе на площадь (произведения мощности кермы в воздухе на площадь) положительные (отрицательные).
4.1.3 Проведение поверки по п. 7.4.3
Результаты измерений и расчетов для произведения кермы в воздухе на площадь
представлены в таблице 3.
Таблица 3
|
Номер режима излучения |
Показания поверяемого измерителя, мкГрм2 |
Среднее арифметическое значение показа-ний М, мкГрм2 |
Эталонное значение произведения кермы в воздухе на площадь (К • Л)о, мкГр м2 |
Основная относительная погрешность 5,% | ||||
|
1 |
2 |
3 |
4 |
5 | ||||
|
1 Режим излучения (максимально возможные): время экспозиции |
с | |||||||
|
анодный ток |
мА | |||||||
|
напряжение генерирования |
кВ | |||||||
|
1 | ||||||||
|
2 Режим излучения (минимально возможные): время экспозиции |
с | |||||||
|
анодный ток |
мА | |||||||
|
напряжение генерирования |
кВ | |||||||
|
2 I I I |
| |
| | | ||||||
|
3 Режим излучения (промежуточные): |
время экспозиции |
с | ||||||
|
анодный ток |
мА | |||||||
|
напряжение генерирования |
кВ | |||||||
|
3 |
1 1 1 1 1 1 1 | |||||||
|
4 Режим излучения (промежуточные): |
время экспозиции |
с | ||||||
|
анодный ток |
мА | |||||||
|
напряжение генерирования |
кВ | |||||||
|
4 I |
| | |
1 1 1 | ||||||
Результаты измерений и расчетов для произведения мощности кермы в воздухе на площадь заносятся в таблицу, аналогичную Таблице 3.
Предел основной относительной погрешности измерителя при измерении произведения мощности кермы в воздухе на площадь ±(7 +1 /(К• Л)) %, (К-А) - безразмерная величина, численно равная произведению кермы (или мощности кермы) в воздухе на площадь.
Вывод: результаты определения основной относительной погрешности при измерениях произведения кермы в воздухе на площадь (произведения мощности кермы в воздухе на площадь) положительные (отрицательные).
4.2 Определение энергетической зависимости чувствительности измерителя Результаты измерений и расчетов представлены в таблице 3.
Таблица 3
|
Но- |
Показания поверяе- |
Среднее |
Площадь по- |
Эталонное |
Коэффи- |
Энергети- |
|
мер |
мого измерителя, |
арифмети- |
перечного се- |
значение |
циент |
ческая за- |
|
ре- |
мкГрм2 |
ческое зна- |
чения рентге- |
кермы в |
чувстви- |
висимость |
|
жима |
чение пока- |
новского пуч- |
воздухе |
тельно- |
чувстви- | |
|
излу- |
заний М, |
ка Л, м2 |
Ко, мкГр |
ста £ |
тельности | |
|
чения |
1 2 3 |
мкГрм2 |
8еу,% |
По-пра-воч-ный множитель
Cj
с мА кВ
1 Режим излучения: время экспозиции
анодный ток
напряжение генерирования
1 | __________________________________
2 Режим излучения: время экспозиции анодный ток
напряжение генерирования
с мА кВ
-
2 I ________________L
3 Режим излучения: время экспозиции анодный ток напряжение генерирования
-
3 I I Г I ~Т
Предел энергетической зависимости чувствительности измерителя ±8,0 %.
Вывод: результаты определения энергетической зависимости чувствительности измерителя положительные (отрицательные).
Вывод: результаты поверки: положительные (отрицательные).
Измеритель произведения дозы на площадь KermaX-plus 120-131 модель__________
№________годен (не годен) к применению.
Выдано свидетельство о поверке № (извещение о непригодности №)
Дата поверки:
Поверитель
Лист 18
Всего листов 18
Измеритель произведения дозы на площадь KermaX-plus 120-131
Методика поверки
Условия поверки
При проведении поверки должны быть соблюдены следующие условия:
-
- температура окружающего воздуха, °C 20 ± 5;
-
- относительная влажность воздуха, % 60 (-30; +20);
-
- атмосферное давление, кПа 101,3 (-15,3; +5,4);
