Методика поверки «Приборы автоматизированные для измерения удельного электрического сопротивления образцов керна ПИК-УЭС» (ΜΠ 11-251-2019)
ФЕДЕРАЛЬНОЕ ГОСУДАРСТВЕННОЕ УНИТАРНОЕ ПРЕДПРИЯТИЕ «УРАЛЬСКИЙ НАУЧНО-ИССЛЕДОВАТЕЛЬСКИЙ ИНСТИТУТ МЕТРОЛОГИИ» (ФГУП «УНИИМ»)
УТВЕРЖДАЮ
Директор ФГУП «УНИИМ»
Медведевских С.В.
2020 г.
ГОСУДАРСТВЕННАЯ СИСТЕМА ОБЕСПЕЧЕНИЯ ЕДИНСТВА ИЗМЕРЕНИЙ
Приборы автоматизированные для измерения удельного электрического сопротивления образцов керна ПИК-УЭС
МЕТОДИКА ПОВЕРКИ
МП 11-251-2019
Екатеринбург
2020
ПРЕДИСЛОВИЕ
-
1 РАЗРАБОТАНА ФГУП «Уральский научно-исследовательский институт метрологии» (ФГУП «УНИИМ»)
-
2 ИСПОЛНИТЕЛЬ и. о. зав. лаб. 251 Собина Е.П.
-
3 УТВЕРЖДЕНА директором ФГУП «УНИИМ» в 2020 г.
СОДЕРЖАНИЕ
|
Государственная система обеспечения единства измерений. Приборы автоматизированные для измерения удельного электрического сопротивления образцов керна ПИК-УЭС Методика поверки |
МП 11-251-2019 |
Дата введения в действие:
1 Область примененияНастоящая методика поверки распространяется на приборы автоматизированные для измерения удельного электрического сопротивления образцов керна ПИК-УЭС (далее - приборы), выпускаемые АО «Геологика», Россия, г. Новосибирск. Приборы подлежат первичной (до ввода в эксплуатацию и после ремонта) и периодической поверке.
Поверка приборов должна производиться в соответствии с требованиями настоящей методики.
Интервал между поверками - один год.
2 Нормативные ссылкиВ настоящей методике поверки использованы ссылки на следующие документы:
ГОСТ 12.2.007.0-75 «Система стандартов безопасности труда. Изделия электротехнические. Общие требования безопасности»
Приказ Минпромторга России от 02.07.2015 № 1815 «Об утверждении порядка проведения поверки средств измерений, требования к знаку поверки и содержанию свидетельств о поверке»
Приказа Минтруда России от 24.07.2013 № 328н «Об утверждении Правил по охране труда при эксплуатации электроустановок»
3 Операции поверки3.1 При поверке должны быть выполнены операции, указанные в таблице 1. Таблица 1 - Операции поверки
|
Наименование операции |
Номер пункта ме-тодики поверки |
Обязательность проведения операций при | |
|
первичной поверке |
периодической поверке | ||
|
1 Внешний осмотр |
9.1 |
да |
да |
|
2 Опробование |
9.2 |
да |
да |
|
3 Проверка метрологических характеристик |
9.3 |
да |
да |
|
3.1 Проверка относительного среднего квадратического отклонения результатов измерений удельного электрического сопротивления |
9.3.1 |
да |
да |
|
3.2 Проверка относительной погрешности измерений удельного электрического сопротивления |
9.3.2 |
да |
да |
|
3.3 Проверка диапазона измерений удельного электрического сопротивления |
9.3.3 |
да |
нет |
-
3.2 В случае невыполнения требований хотя бы к одной из операций поверка прекращается, прибор бракуется и выполняются операции по п. 10.3.
-
4.1 При проведении поверки применяют стандартные образцы удельной электрической проводимости керна горных пород (комплект) ГСО И 388-2019/ГСО 11397-2019 (аттестованные значения удельного электрического сопротивления от 0,000234 до 11824 Омм, границы допускаемой относительной погрешности аттестованного значения при Р=0,95 ± 1,0%).
-
4.2 Для контроля внешних влияющих факторов применяют средства измерений температуры окружающей среды и относительной влажности с диапазонами измерений, охватывающими условия по п. 7.
-
4.3 Допускается применение других средств поверки, обеспечивающих требуемую точность и диапазоны измерений.
-
5.1 К проведению работ по поверке прибора допускаются лица, прошедшие специальное обучение и аттестованные в установленном порядке в качестве поверителя, имеющие опыт работы с приборами, изучившие руководство по эксплуатации (далее - РЭ) на прибор и настоящую методику поверки.
-
5.2 Представитель заказчика поверки, выполняющий измерение на прибо-ре(оператор), должен обладать навыками работы с компьютером и прибором.
При проведении поверки должны быть соблюдены требования Приказа Минтруда России от 24.07.2013 № 328н «Об утверждении Правил по охране труда при эксплуатации электроустановок», требования ГОСТ 12.2.007.0.
7 Условия поверки и подготовки к ней-
7.1 При проведении поверки должны быть соблюдены следующие условия:
-
- температура окружающей среды, °C от +15 до +25
-
- относительная влажность, % от 20 до 80
-
7.2 Прибор устанавливается вдали от источников магнитных и электрических полей.
-
8.1 Перед проведением поверки прибор необходимо подготовить к работе в соответствии с РЭ.
-
8.2 Стандартные образцы, используемые при поверке, необходимо подготовить в соответствии с их инструкцией по применению.
-
9.1 Внешний осмотр
При внешнем осмотре необходимо установить:
-
- отсутствие видимых повреждений;
-
- соответствие комплектности, указанной в РЭ;
-
- четкость обозначений и маркировки.
-
9.2 Опробование
-
9.2.1 Проверку работоспособности органов управления и регулировки прибора осуществляют при помощи встроенных систем контроля в соответствии с РЭ.
-
9.2.2 Проводят проверку идентификационных данных ПО прибора. Номер версии ПО проверяют следующим образом: в меню ПО прибора нажимают вкладку «Справка» и выбирают пункт «О программе», в результате на экране отобразится номер версии ПО. Номер версии ПО должен соответствовать указанному в таблице 2.
Таблица 2 - Идентификационные данные программного обеспечения
Идентификационные данные (признаки)
Значение
Идентификационное наименование ПО
ПИК-УЭС
Номер версии (идентификационный номер) ПО
не ниже 1.1
Цифровой идентификатор
-
Проверка метрологических характеристик
9.3
-
9.3.1 Проверка относительного среднего квадратического отклонения результатов измерений удельного электрического сопротивления (далее - ОСКО)
-
9.3.1.1 Проверку ОСКО результатов измерений удельного электрического сопротивления проводят с использованием не менее трех образцов по п. 4.1 с аттестованными значениями удельного электрического сопротивления, равномерно распределенными по диапазону измерений от 0,0002 до 12 000 Омм.
-
9.3.1.2 Образец помещают в рабочую камеру прибора и производят не менее пяти измерений удельного электрического сопротивления (ptJ).
-
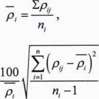
9.3.1.3 По результатам измерений для каждого стандартного образца вычисляют среднее арифметическое значение удельного электрического сопротивления (р,) и ОСКО (Sr/M) по формулам:
9

(1)
(2)
где р - результат j-го измерения удельного электрического сопротивления в /-ом стандартном образце, Ом м;
р - среднее арифметическое результатов измерений удельного электрического сопротивления /-ого стандартного образца, Ом м;
Srpi - ОСКО результатов измерений удельного электрического сопротивления /-го стандартного образца, %;
п1 - число измерений /-го стандартного образца.
-
9.3.1.4 Полученные значения ОСКО результатов измерений удельного электрического сопротивления должны удовлетворять требованиям таблицы 3.
-
9.3.2 Проверка относительной погрешности измерений удельного электрического сопротивления
-
9.3.2.1 Расчет значения относительной погрешности измерений удельного электрического сопротивления проводят на основе измерений, полученных по п.9.3.1.
-
9.3.2.2 Вычисляют значения относительной погрешности измерений удельного электрического сопротивления (6) по формуле
где t - коэффициент Стьюдента, который при доверительной вероятности Р=0,95 и числе результатов измерений л, =5 составляет 2,776;
-
4 - аттестованное значение удельного электрического сопротивления z-ro стандартного образца, Ом м;
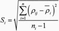
5, - среднее квадратическое отклонение результатов измерений, рассчитанное по фор
муле

(4)
Дсо - границы абсолютной погрешности аттестованного значения удельного электриче
ского сопротивления z-ro стандартного образца, Ом м, рассчитанные по формуле
4-4(5)
где 4 - границы относительной погрешности аттестованного значения стандартного образца при Р=0,95, %, указанные в паспорте на стандартный образец.
-
9.3.2.3 Полученные значения относительной погрешности измерений удельного электрического сопротивления должны удовлетворять требованиям таблицы 3.
-
9.3.3 Проверка диапазона измерений удельного электрического сопротивления
-
9.3.3.1 Проверку диапазона измерений удельного электрического сопротивления проводят одновременно с определением ОСКО и относительной погрешности по пп. 9.3.1-9.3.2 настоящей методики поверки.
-
9.3.3.2 За диапазон измерений прибора принимают диапазон измерений удельного электрического сопротивления, приведенный в таблице 3, если полученные по формулам (2), (3) значения удовлетворяют требованиям, указанным в таблице 3.
Таблица 3 - Метрологические характеристики прибора
|
Наименование характеристики |
Значение |
|
Диапазон измерений удельного электрического сопротивления, Ом м |
от 0,0002 до 12 000 |
|
Предел допускаемого относительного среднего квадратического отклонения результатов измерений удельного электрического сопротивления, % |
1,0 |
|
Пределы допускаемой относительной погрешности измерений удельного электрического сопротивления, % |
±4,0 |
-
10.1 Оформляют протокол проведения поверки по форме Приложения А настоящей методики поверки.
-
10.2 При положительных результатах поверки прибор признают пригодным к применению и выдают свидетельство о поверке согласно Приказа Минпромторга России от 02.07.2015 № 1815. Знак поверки наносится на лицевую часть прибора.
-
10.3 При отрицательных результатах поверки выдают извещение о непригодности согласно Приказа Минпромторга России от 02.07.2015 № 1815 с указанием причин. Прибор к применению не допускают.
Разработчик:
Е.П. Собина
И. о. зав. лаб. 251 ФГУП «УНИИМ»
8
