Инструкция «ГСИ. Система измерения количества и показателей качества нефти №934 ПСП "Станция смешения нефти"» (МП 0662-14-2017)
ВСЕРОССИЙСКИЙ НАУЧНО-ИССЛЕДОВАТЕЛЬСКИЙ ИНСТИТУТ РАСХОДОМЕТРИИ -ФИЛИАЛ ФЕДЕРАЛЬНОГО ГОСУДАРСТВЕННОГО УНИТАРНОГО ПРЕДПРИЯТИЯ «ВСЕРОССИЙСКИЙ НАУЧНО-ИССЛЕДОВАТЕЛЬСКИЙ ИНСТИТУТ МЕТРОЛОГИИ им. Д.И. МЕНДЕЛЕЕВА»
ВНИИР - филиал ФГУП «ВНИИМ им. Д.И. Менделеева»
УТВЕРЖДАЮ
ИНСТРУКЦИЯ
Государственная система обеспечения единства измерений
Система измерений количества и показателей качества нефти № 934 ПСП «Станция смешения нефти»
Методика поверки
МП 0662-14-2017
с изменением №1
Начальник отдела НИО-14
Р.Р. Нурмухаметов
Тел. отдела: +7 6843 ) 299-70-52
Казань
2020
РАЗРАБОТАНА
ИСПОЛНИТЕЛИ
УТВЕРЖДЕНА
ВНИИР - филиал ФГУП «ВНИИМ им. Д.И. Менделеева»
Шабалин А.С.
ВНИИР - филиал ФГУП «ВНИИМ им. Д.И. Менделеева»
Настоящая методика поверки предназначена для осуществления поверки средства измерений «Система измерений количества и показателей качества нефти № 934 ПСП «Станция смешения нефти» (далее - СИКН) и устанавливает методику ее первичной и периодической поверок.
Первичная поверка СИКН выполняется согласно части 1 ст. 13 Федерального закона «Об обеспечении единства измерений» от 26 июня 2008 г. № 102-ФЗ и Приказа Минпромторга России от 2 июля 2015 г. № 1815 до ввода ее в эксплуатацию, а также после ее ремонта.
Периодическая поверка СИКН проводится в процессе ее эксплуатации.
Методика поверки разработана в соответствии с требованиями РМГ 51-2002 «ГСИ. Документы на методики поверки средств измерений. Основные положения».
Интервал между поверками СИКН- 12 месяцев.
(Измененная редакция, Изм. №1)
1 Операции поверки-
1.1 При проведении поверки выполняют операции, приведенные в таблице 1.
Таблица 1 - Операции поверки
|
Наименование операции |
Номер пункта документа по поверке |
Проведение операции при | |
|
первичной поверке |
периодической поверке | ||
|
Внешний осмотр |
7.1 |
Да |
Да |
|
Подтверждение соответствия программного обеспечения СИКН |
7.2 |
Да |
Да |
|
Опробование |
7.3 |
Да |
Да |
|
Определение(контроль) метрологических характеристик |
7.4 |
Да |
Да |
-
2.1 Рабочий эталон 1-го разряда в соответствии с частью 2 ГПС, утвержденной приказом Росстандарта от 07.02.2018 № 256, с диапазоном измерений расхода, обеспечивающим возможность поверки ТПР, входящих в состав СИКН, во всем диапазоне измерений.
(Измененная редакция, Изм. №1)
22 Средства поверки, указанные в нормативных документах (НД) на методики поверки СИ, входящих в состав СИКН, приведенных в таблице 4 настоящей методики поверки.
-
2.3 Допускается применение аналогичных средств поверки, обеспечивающих определение метрологических характеристик поверяемых СИ с требуемой точностью.
-
3.1 Поверку СИКН проводят в соответствии с областью аккредитации в установленном порядке.
(Измененная редакция, Изм. №1)
-
3.2 К поверке допускаются лица, изучившие инструкцию по эксплуатации на поверяемую СИКН и имеющие квалификационную группу по технике безопасности не ниже III в соответствии с «Правилами техники безопасности при эксплуатации электроустановок потребителей».
-
4.1.1 При проведении поверки соблюдают требования, определяемые:
-
- в области охраны труда - Трудовым кодексом Российской Федерации;
-
- в области промышленной безопасности - Федеральными нормами и правилами в области промышленной безопасности «Правила безопасности в нефтяной и газовой промышленности» (приказ Ростехнадзора № 101 от 12 марта 2013 г. «Об утверждении Федеральных норм и правил в области промышленной безопасности «Правила безопасности в нефтяной и газовой промышленности»), руководством по безопасности «Рекомендации по устройству и безопасной эксплуатации технологических трубопроводов» (приказ № 784 от 27 декабря 2012 г. «Об утверждении Руководства по безопасности «Рекомендации по устройству и безопасной эксплуатации технологических трубопроводов»), а также другими действующими отраслевыми НД;
-
- в области пожарной безопасности - Федеральным законом Российской Федерации от 22 июля 2008 г. № 123-ФЗ «Технический регламент о требованиях пожарной безопасности», Постановлением Правительства Российской Федерации от 25 апреля 2012 г. № 390 «О противопожарном режиме» (вместе с «Правилами противопожарного режима в Российской Федерации»), СНиП 21.01-97 (с изм. № 1,2) «Пожарная безопасность зданий и сооружений»;
-
- в области соблюдения правильной и безопасной эксплуатации электроустановок -Правилами технической эксплуатации электроустановок потребителей;
-
- в области охраны окружающей среды - Федеральным законом Российской Федерации от 10 января 2002 г. № 7-ФЗ (ред. 12 марта 2014 г.) «Об охране окружающей среды» и другими действующими законодательными актами на территории РФ.
-
4.2 В соответствии с классификацией помещений и наружных установок по взрывопожарной и пожарной опасности согласно Свода правил СП 12.13130.2009 «Определение категории помещений, зданий и наружных установок по взрывопожарной и пожарной опасности» помещение блок-бокса блока измерений показателей качества нефти (далее - БИК) относится к категории А, площадка блока измерительных линий (БИЛ) и узла подключения передвижной поверочной установки (ППУ) - А, операторная - Д, по классу взрывоопасных зон согласно Правилам устройства электроустановок - помещение блок-бокса БИК относится к классу В-1а, площадка БИЛ и узла подключения ППУ - В-1а, согласно ГОСТ 30852.9-2002 (МЭК 60079-10:1995) «Электрооборудование взрывозащищенное. Часть 10. Классификация взрывоопасных зон» СИКН относится к классу 2. В соответствии с ГОСТ 30852.11-2002 (МЭК 60079-12:1978) «Электрооборудование взрывозащищенное. Часть 12. Классификация смесей газов и паров с воздухом по безопасным экспериментальным максимальным зазорам и минимальным воспламеняющим токам» нефть относится к категории взрывоопасносной смеси — ПА. В соответствии с ГОСТ 30852.5-2002 (МЭК 60079-4:1975) Электрооборудование взрывозащищенное. Часть 4. Метод определения температуры самовоспламенения» нефть относится к группе взрывоопасной смеси ТЗ.
-
4.3 Площадка СИКН должна содержаться в чистоте без следов нефти и должна быть оборудовано первичными средствами пожаротушения согласно Правилам противопожарного режима в Российской Федерации.
-
4.4 СИ и вспомогательные устройства, применяемые при выполнении измерений, должны иметь взрывозащищенное исполнение в соответствии с требованиями ГОСТ 30852.0-2002 «Электрооборудование взрывозащищённое. Часть 0. Общие требования».
-
4.5 Вторичную аппаратуру и щиты управления относят к действующим электроустановкам с напряжением до 1000 В, на которые распространяются Правила технической эксплуатации электроустановок потребителей, Правила устройства электроустановок.
-
4.6 В целях безопасной эксплуатации и технического обслуживания СИКН разрабатываются инструкция по эксплуатации СИКН, инструкции по видам работ.
-
5 Условия поверки
-
5.1 Поверка СИКН осуществляется на месте эксплуатации.
-
5.2 При проведении поверки соблюдают условия в соответствии с требованиями НД на методики поверки СИ. входящих в состав СИКН.
-
5.3 Метрологические и основные технические характеристики СИКН при проведении поверки на месте эксплуатации должны соответствовать требованиям, приведенным в таблице
-
2 и таблице 3 соответственно.
Таблица 2 - Метрологические характеристики СИКН
|
Наименование характеристики |
Значение |
|
Диапазон измерений расхода, м3/ч |
от 282,0 до 5293,4 |
|
Пределы допускаемой относительной погрешности измерений массы брутто нефти, % |
±0,25 |
|
Пределы допускаемой относительной погрешности измерений массы нетто нефти, % |
±0,35 |
|
Таблица 3 - Основные технические характеристики СИКЬ | |
|
Наименование характеристики |
Значение |
|
Измеряемая среда |
нефть по ГОСТ Р 51858-2002 «Нефть. Общие технические условия» |
|
Количество измерительных линий, шт. |
6 (4 рабочие, 1 резервная и 1 контрольно-резервная) |
|
Избыточное давление измеряемой среды, МПа:
|
0,18 от 0,18 до 0,45 0,5 |
|
Температура измеряемой среды, °C |
от +1,0 до +40,0 |
|
Плотность измеряемой среды, кг/м3:
|
от 893,0 до 900,0 от 820,0 до 827,0 |
|
Вязкость кинематическая измеряемой среды в рабочем диапазоне температуры, мм2/с (сСт) |
от 5,0 до 50,0 |
|
Массовая доля воды, %, не более |
0,5 |
|
Массовая концентрация хлористых солей, мг/дм3 |
от 25 до 100 |
|
Массовая доля механических примесей, %, не более |
0,05 |
Окончание таблицы 3
|
Наименование характеристики |
Значение |
|
Массовая доля парафина, %, не более |
6,0 |
|
Массовая доля сероводорода, млн'1 (ppm), не более |
100,0 |
|
Массовая доля серы, %, не более |
1,8 |
|
Массовая доля метил- и этилмеркаптанов в сумме, млн'1 (ppm), не более |
100,0 |
|
Давление насыщенных паров при максимальной температуре измеряемой среды, кПа (мм рт. ст.), не более |
66,7 (500) |
|
Параметры электрического питания:
|
220±22 однофазное, 380 трехфазное 50 |
|
Режим управления:
|
автоматизированный автоматический |
|
Содержание свободного газа |
не допускается |
|
Режим работы СИКН |
непрерывный |
Таблица 3 (Измененная редакция, Изм. №1)
6 Подготовка к поверке-
6.1 При подготовке к поверке проводят работы в соответствии с инструкцией по эксплуатации СИКН, НД на методики поверки СИ, входящих в состав СИКН.
-
7 Проведение поверки
-
7.1.1 При внешнем осмотре проверяют комплектность и внешний вид СИКН.
-
7.1.1.1 Комплектность СИКН должна соответствовать ее описанию типа и эксплуатационной документации.
-
7.1.1.2 При проверке внешнего вида должны выполняться требования:
-
-
- на компонентах СИКН не должно быть механических повреждений препятствующих ее применению и проведению поверки;
-
- надписи и обозначения на компонентах СИКН должны быть четкими и читаемыми без применения технических средств, соответствовать технической документации;
-
- СИ, входящие в состав СИКН, должны быть поверены и иметь пломбы, несущие на себе знак поверки или калибровки.
-
7.1.2 СИ, входящие в состав СИКН поверяют в соответствии с методиками поверки, указанными в таблице 4.
-
7.1.3 Проверяют наличие действующих свидетельств о поверке и эксплуатационнотехнической документации на СИ, входящие в состав СИКН.
-
7.1.4 СИКН, не прошедшая внешний осмотр, к поверке не допускается.
-
7.2.1 Проверяют соответствие идентификационных данных программного обеспечения (ПО) СИКН сведениям, приведенным в описании типа на СИКН.
'122 Определение идентификационных данных ПО комплекса измерительновычислительного ИМЦ-07 (далее - ИВК) проводят в соответствии с документом «Комплекс измерительно-вычислительный ИМЦ-07. Руководство оператора. РХ.7000.01.02 РО».
-
7.2.2.1 Для просмотра версии ПО, контрольной суммы, общего времени работы и других сведений необходимо в строке меню выбрать «Контекстное меню» (3 вертикальных точки в правом верхнем углу экрана), затем выбрать пункт «О программе». На экране появится окно со сведениями о ПО ИВК.
-
7.2.2.2 Результат подтверждения соответствия ПО считается положительным, если полученные идентификационные данные ПО (идентификационное наименование, номер версии и цифровой идентификатор) соответствуют идентификационным данным, указанным в разделе «Программное обеспечение» описания типа СИКН для ИВК.
7.2.3 Определение идентификационных данных ПО автоматизированного рабочего места (АРМ) оператора.
-
7.2.3.1 Определение идентификационных данных ПО АРМ оператора СИКН проводят в соответствии с инструкцией пользователя АРМ оператора.
-
7.2.3.2 Для просмотра идентификационных данных ПО АРМ оператора СИКН необходимо на экране монитора компьютера АРМ оператора СИКН нажать правой кнопкой мыши на эмблеме организации в правом верхнем углу.
-
7.2.3.3 На экране откроется панель, содержащая информацию о наименовании ПО, номере версии ПО, имени файла и его контрольной суммы.
-
7.2.3.4 Результат подтверждения соответствия ПО АРМ оператора считается положительным, если полученные идентификационные данные ПО (идентификационное наименование, номер версии и цифровой идентификатор) соответствуют идентификационным данным, указанным в разделе «Программное обеспечение» описания типа СИКН для АРМ оператора.
-
7.3 Опробование
-
7.3.1 Опробование проводят в соответствии с НД на поверку СИ, входящих в состав СИКН.
-
7.3.2 Проверяют действие и взаимодействие компонентов СИКН в соответствии с инструкцией по эксплуатации СИКН, возможность формирования отчетов.
-
7.3.3 Проверяют герметичность СИКН.
-
7.3.4 На элементах и компонентах СИКН не должно быть следов протечек нефти.
-
7.3.5 При обнаружении следов измеряемой среды на элементах оборудования или СИ поверку прекращают и принимают меры по устранению утечки измеряемой среды.
-
7.4 Определение (контроль) метрологических характеристик
-
7.4.1 Определение метрологических характеристик СИ, входящих в состав СИКН.
-
7.4.1.1 Определение метрологических характеристик СИ, входящих в состав СИКН, проводят в соответствии с НД, приведенными в таблице 4.
-
7.4.1.2 СИ, участвующие в определении массы нефти или результаты измерений которых влияют на погрешность измерений массы нефти, подлежат поверке в соответствии с НД, приведенными в таблице 4.
Таблица 4— СИ и методики их поверки.
|
Наименование СИ |
нд |
|
Преобразователи расхода жидкости турбинные геликоидные серии НТМ модели НТМ 10 (далее - ТПР) |
МИ 3287-2010 «Преобразователи объемного расхода. Методика поверки»; МИ 3380-2012 «Преобразователи объемного расхода. Методика поверки на месте эксплуатации поверочной установкой». |
|
Датчики давления типа КМ35 |
МП 56680-14 «Датчики давления типа КМ35. Методика поверки», утвержденной ФГУП ВНИИМС 09 декабря 2013 г. |
|
Преобразователи давления измерительные 3051 |
МП 14061-10 «Преобразователи давления измерительные 3051. Методика поверки». |
|
Датчики температуры TMT142R |
МП 63821-16 «Датчики температуры TMT142R, ТМТ142С, TMT162R, ТМТ162С. Методика поверки», утвержденная ФГУП «ВНИИМС» 04.08.2015 г. |
|
Т ермопреобразователь сопротивления платиновый серии TR |
МП 49519-12 «Термопреобразователи сопротивления платиновые серий TR, TST. Методика поверки», утвержденная ГЦИ СИ ФГУП «ВНИИМС», 2011 г. |
|
Преобразователи измерительные 244 |
МИ 2470-00 «ГСИ. Преобразователи измерительные 144, 244, 444, 644, 3144, 3244 MV к датчикам температуры с унифицированным выходным сигналом фирмы Fisher-Rosemount, США. Методика периодической поверки». |
|
Термопреобразователи сопротивления платиновые серии 65 |
ГОСТ 8.461-82 «Термопреобразователи сопротивления. Методы и средства поверки». |
|
Датчик температуры Rosemount 644 |
МП 4211-024-2015 «Датчики температуры Rosemount 644, 3144Р. Методика поверки» с изменением № 1, утвержденная ФГУП «ВНИИМС» 23.10.2018 г. |
|
Влагомер нефти поточный УДВН-1пм |
МП 0309-6-2015 «Инструкция. ГСИ. Влагомеры нефти поточные УДВН-1пм. Методика поверки», утвержденному ФГУП «ВНИИР» 04.09.2015 г. |
|
Преобразователи плотности жидкости измерительные модели 7835 (далее - ПП) |
МИ 2816-2012 «ГСИ. Преобразователи плотности поточные. Методика поверки на месте эксплуатации»; МИ 3240-2012 «ГСИ. Преобразователи плотности жидкости поточные. Методика поверки»; МИ 2326 «ГСИ. Преобразователи плотности поточные. Методика поверки на месте эксплуатации». |
|
Преобразователь расхода жидкости турбинный CRA |
МИ 1974-04 «Рекомендация. ГСИ. Преобразователи расхода турбинные. Методика поверки». |
|
Расходомер ультразвуковой UFM 3030 |
МП 48218-11 «ГСИ. Расходомеры ультразвуковые UFM 3030, UFM 3030-300, UFM 500-030, UFM 500-300. Методика поверки». |
Окончание таблицы 4
|
Наименование СИ |
НД |
|
Преобразователи плотности и вязкости FVM |
МП 01-251-2015 «ГСИ. Преобразователи плотности и вязкости FDM, FVM, HFVM. Методика поверки с изменением № 1», утвержденная ФГУП «УНИИМ» 30 марта 2018 г. |
|
Анализатор серы общей рентгеноабсорбционные в потоке нефти/нефтепродуктов при высоком давлении NEX XT |
МП 183-223-2016 «ГСИ. «Анализаторы серы общей рентгеноабсорбционные в потоке нефти/нефтепродуктов при высоком давлении NEX XT. Методика поверки». |
|
ИВК |
МИ 3395-2013 «ГСИ. Комплекс измерительно-вычислительный ИМЦ-07. Методика поверки». |
|
Устройство распределенного ввода-вывода Simatic ЕТ200 |
МИ 2539-99 «ГСИ. Измерительные каналы контроллеров, измерительно-вычислительных, управляющих, программнотехнических комплексов. Методика поверки». |
|
Манометры ФТ модели МТИф Кс |
МИ 2124-90 «Рекомендация. ГСИ. Манометры, вакуумметры, мановакуумметры, напоромеры, тягомеры и тягонапоромеры показывающие и самопишущие. Методика поверки». |
|
Манометры, показывающие для точных измерений МПТИ |
Документ 5Ш0.283.421 МП «Манометры, вакуумметры и мановакуумметры показывающие для точных измерений МПТИ, ВПТИ и МВПТИ. Методика поверки», утвержденной ГЦИ СИ ФГУП «ВНИИМС» в 2011 г. |
|
Манометры для точных измерений МТИ |
МИ 2124-90 «Рекомендация. ГСИ. Манометры, вакуумметры, мановакуумметры, напоромеры, тягомеры и тягонапоромеры показывающие и самопишущие. Методика поверки». |
|
Термометры ртутные стеклянные лабораторные ТЛ-4 |
ГОСТ 8.279-78 «ГСИ. Термометры стеклянные жидкостные рабочие. Методика поверки». |
|
ТПУ |
МИ 1972-95 «Рекомендация. ГСИ. Установки поверочные трубопоршневые. Методика поверки на базе весов ОГВ или мерников»; МИ 3155-08 «ГСИ. Установки поверочные трубопоршневые. Методика поверки поверочными установками на базе мерника и объемного счетчика». |
Таблица 4 (Измененная редакция, Изм. №1)
7АЛ.З СИ результаты измерений, которых не влияют на результат и погрешность измерений массы измеряемой среды (преобразователи разности давления, манометры, установленные на фильтрах блока измерительных линий и блока измерений показателей качества нефти (БИК), преобразователи расхода в БИК), подлежат поверке либо калибровке в соответствии с действующими НД.
7.4.1.4 СИ из вспомогательных технологических систем, не участвующие в определении массы измеряемой среды, подлежат поверке или калибровке с периодичностью и в соответствии с требованиями НД указанных в их описаниях типа.
-
7.4.2 Определение относительной погрешности измерений массы брутто нефти
-
7.4.2.1 Относительную погрешность измерений массы брутто нефти ЗМБ, %, в соответствии с ГОСТ 8.587-2019 «ГСИ. Масса нефти и нефтепродуктов. Методика (методы) измерений» при косвенном методе динамических измерений вычисляют по формуле
змБ = +1,1 • ^<5И2 + G2 ■ f<5p2 +^2 • ю4 • Л7;2;+уЗ2 • ю4 • J7;2 +<$№, (i)
где <5у - относительная погрешность измерений объема нефти, %. За Зу принимают относительную погрешность ТПР, если сумма остальных составляющих погрешностей измерений нефти является несущественной в соответствии с ГОСТ 8.009-84 «ГСИ. Нормируемые метрологические характеристики средств измерений»;
G - коэффициент, вычисляемый по формуле
1 + 2-Д-Ги(2)
где р - коэффициент объемного расширения нефти, 1/°С (приложение А ГОСТ 8.587);
Тр, Tv - температура нефти на момент поверки при измерениях плотности и объема нефти соответственно,°C;
Зр - пределы допускаемой относительной погрешности измерений плотности нефти с применением ПП, %, вычисляют по формуле
<jp=J^.100, (3)
ZTnin
где Ар - пределы допускаемой абсолютной погрешности ПП, кг/м3 (из свидетельства о поверке ПП);
- нижний предел рабочего диапазона плотности нефти, кг/м3;
ДТр, ЬТУ - абсолютные погрешности измерений температуры Тр, Tv ,°С;
3N - пределы допускаемой относительной погрешности ИВК, %.
(Измененная редакция, Изм. №1)
-
7.4.2.2 Значения относительных и абсолютных погрешностей составляющих формулы (1) подтверждают свидетельствами об утверждении типа СИ и действующими свидетельствами о поверке.
-
7.4.2.3 Результат поверки признают положительным, если значение относительной погрешности измерений массы брутто нефти не превышает ±0,25 %.
-
7.4.3 Определение относительной погрешности измерений массы нетто нефти
-
7.4.3.1 Определение относительной погрешности измерений массы нетто нефти проводят расчетным методом в соответствии с ГОСТ 8.587.
-
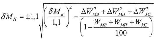
7.4.3.2 Относительную погрешность измерений массы нетто нефти ЗМН, %, вычисляют
по формуле


где ДИл/5 - абсолютная погрешность измерений массовой доли воды в нефти, %, вычисляемая по формуле



(5)
где Rmb — воспроизводимость метода измерений массовой доли воды в нефти в соответствии с ГОСТ 2477-2014 «Нефть и нефтепродукты. Метод определения содержания воды», %;
гмв - сходимость метода измерений массовой доли воды в нефти в соответствии с ГОСТ 2477, %;
AWMn - абсолютная погрешность измерений массовой доли механических примесей в
нефти, %, вычисляемая по формуле


(6)
где Ямп - воспроизводимость метода измерений массовой доли механических примесей в соответствии с ГОСТ 6370-2018 «Нефть, нефтепродукты и присадки. Методы определения механических примесей», %;
гмп - сходимость метода измерений массовой доли механических примесей в нефти в соответствии с ГОСТ 6370, %;
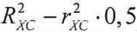
- абсолютная погрешность измерений массовой доли хлористых солей в нефти, %,
вычисляемая по формуле где р - плотность нефти при условиях измерений фхс, кг/м3;
Д^=±0,1


(7)
Rxc — воспроизводимость метода измерений массовой доли хлористых солей в соответствии с ГОСТ 21534-76 «Нефть. Методы определения содержания хлористых солей», %;
гхс - сходимость метода измерений массовой доли хлористых солей в нефти в соответствии с ГОСТ 21534, %;
Wmb - массовая доля воды в нефти, определенная в лаборатории, %;
WMn - массовая доля механических примесей в нефти, %, определенная в лаборатории;
J¥xc - массовая доля хлористых солей в нефти, %.
-
7.4.3.3 Относительная погрешность измерений массы нетто нефти не должна превышать ±0,35 %.
(Измененная редакция, Изм, №1)
-
8 Оформление результатов поверки
-
8.1 При положительных результатах поверки оформляют свидетельство о поверке СИКН в соответствии с документом «Порядок проведения поверки средств измерений, требования к знаку поверки и содержанию свидетельства о поверке», утвержденным Приказом Минпромторга России от 02.07.2015 № 1815 (далее - Порядок проведения поверки средств измерений).
-
8.2 На оборотной стороне свидетельства о поверке СИКН указывают пределы допускаемой относительной погрешности измерений массы (брутто, нетто) нефти и диапазон измерений расхода, определяющийся значениями минимального и максимального расхода. За значение минимального расхода принимают минимальный расход того ТПР, у которого расход среди всех рабочих ТПР наименьший (согласно свидетельствам об их поверке), или значение минимального расхода, указанного в описании типа СИКН, если оно больше. За значение максимального расхода принимают сумму максимальных расходов ТПР, установленных на рабочих измерительных линиях СИКН (согласно свидетельствам об их поверке), или значение максимального расхода, указанного в описании типа СИКН, если оно меньше.
-
8.3 При отрицательных результатах поверки СИКН к эксплуатации не допускают и выдают извещение о непригодности в соответствии с Порядком проведения поверки средств измерений.
-
(Измененная редакция, Изм. №1)
12
