Методика поверки «Система измерений количества и показателей качества нефти № 1019 ПСП «Ильский НПЗ >» (ΜΠ 1064-14-2019)
ФЕДЕРАЛЬНОЕ АГЕНТСТВО ПО ТЕХНИЧЕСКОМУ РЕГУЛИРОВАНИЮ И МЕТРОЛОГИИ
Федеральное государственное унитарное предприятие «Всероссийский научно-исследовательский институт расходометрии» Государственный научный метрологический центр
ФГУП «ВНИИР»
УТВЕРЖДАЮ
ИНСТРУКЦИЯ
Государственная система обеспечения единства измерений
Система измерений количества и показателей качества нефти № 1019 ПСП «Ильский НПЗ»
Методика поверки
МП 1064-14-2019
Начальник НИО-14
Нурмухаметов
Тел. отдела: (843) 299-72-00
Казань
2019
РАЗРАБОТАНА
ФГУП «ВНИИР»
ИСПОЛНИТЕЛЬ
УТВЕРЖДЕНА
Шабалин А.С.
ФГУП «ВНИИР»
Настоящая методика поверки предназначена для проведения поверки средства измерений (СИ) «Система измерений количества и показателей качества нефти № 1019 ПСП «Ильский НПЗ» (далее - система) и устанавливает методику первичной поверки при вводе в эксплуатацию, а также после ремонта, и периодических поверок при эксплуатации.
Поверку системы осуществляют только аккредитованные в установленном порядке в области обеспечения единства измерений организации.
Возможность проведения поверки СИ из состава системы для меньшего числа измеряемых величин или на меньшем числе поддиапазонов измерений предусматривается их методиками поверки. Поверку системы проводят на месте ее эксплуатации, поверку системы допускается проводить в меньшем диапазоне расхода нефти, чем указано в описании типа на систему. При этом диапазон измерений расхода системы определяется диапазоном измерений расхода рабочих счетчиков-расходомеров массовых Micro Motion моделей CMF 400М (согласно свидетельствам о поверке).
Методика поверки системы разработана в соответствии с требованиями РМГ 51-2002 «ГСП. Документы на методики поверки средств измерений. Основные положения».
Интервал между поверками системы - 12 месяцев.
1 Операции поверки-
1.1 При проведении поверки выполняют операции, приведенные в таблице 1.
Таблица 1 - Операции поверки
|
Наименование операции |
Номер пункта инструкции |
Проведение операции при | |
|
первичной поверке |
периодической поверке | ||
|
Внешний осмотр |
7.1 |
Да |
Да |
|
Подтверждение соответствия программного обеспечения |
7.2 |
Да |
Да |
|
Опробование |
7.3 |
Да |
Да |
|
Определение (контроль) метрологических характеристик |
7.4 |
Да |
Да |
-
2.1 Рабочий эталон 1-го или 2-го разряда в соответствии с ГПС (часть 2), утвержденной Приказом Госстандарта от 07.02.2018 г. № 256, с диапазоном измерений расхода, обеспечивающим возможность поверки счетчиков-расходомеров массовых Micro Motion моделей CMF 400М (далее - СРМ), входящих в состав системы, в рабочем диапазоне измерений расхода.
-
2.2 При осуществлении поверки СИ, входящих в состав системы, применяют средства поверки, указанные в документах на поверку, приведенных в таблице 3 настоящей методики поверки.
-
2.3 Допускается применение аналогичных средств поверки, обеспечивающих определение метрологических характеристик поверяемых СИ с требуемой точностью.
-
3.1 К поверке допускаются лица, изучившие инструкцию по эксплуатации на поверяемую систему и имеющие квалификационную группу по технике оезопасности не ниже II в соответствии с «Правилами техники безопасности при эксплуатации электроустановок потребителей».
-
4.1 При проведении поверки соблюдают требования, определяемые:
-
- в области охраны труда - Трудовым кодексом Российской Федерации;
-
- в области промышленной безопасности - Федеральными нормами и правилами в области промышленной безопасности «Правила безопасности в нефтяной и газовой промышленности» (приказ Ростехнадзора № 101 от 12 марта 2013 г. «Об утверждении Федеральных норм и правил в области промышленной безопасности «Правила безопасности в нефтяной и газовой промышленности»), руководством по безопасности «Рекомендации по устройству и безопасной эксплуатации технологических трубопроводов» (приказ № 784 от 27 декабря 2012 г. «Об утверждении Руководства по безопасности «Рекомендации по устройству и безопасной эксплуатации технологических трубопроводов»), а также другими действующими отраслевыми документами;
-
- в области пожарной безопасности - Федеральным законом Российской Федерации от 22 июля 2008 г. № 123-ФЗ «Технический регламент о требованиях пожарной безопасности», Постановлением Правительства Российской Федерации от 25 апреля 2012 г. № 390 «О противопожарном режиме» (вместе с «Правилами противопожарного режима в Российской Федерации»), СНиП 21.01-97 (с изм. № 1,2) «Пожарная безопасность зданий и сооружений»;
-
- в области соблюдения правильной и безопасной эксплуатации электроустановок -Правилами технической эксплуатации электроустановок потребителей;
-
- в области охраны окружающей среды - Федеральным законом Российской Федерации от 10 января 2002 г. № 7-ФЗ (ред. 12 марта 2014 г.) «Об охране окружающей среды» и другими действующими законодательными актами на территории Российской Федерации;
-
4.2 Площадка системы должна содержаться в чистоте без следов нефти и должна быть оборудована первичными средствами пожаротушения согласно Правилам противопожарного режима в Российской Федерации.
-
4.3 Соблюдают требования безопасности, установленные на объекте.
-
4.4 Соблюдают требования безопасности, установленные в инструкции по эксплуатации системы, в эксплуатационной документации СИ, входящих в состав системы и средств поверки.
-
5.1 Поверка системы осуществляется в условиях эксплуатации.
-
5.2 При проведении поверки соблюдают условия в соответствии с требованиями документов на методики поверки СИ, входящих в состав системы.
-
5.3 Характеристики измеряемой среды при проведении поверки должны соответствовать требованиям, приведенным в таблице 2.
-
5.4 Соответствие характеристик измеряемой среды значениям в таблице 2 проверяют по данным паспорта качества нефти.
Таблица 2 - Характеристики измеряемой среды
|
Наименование характеристики |
Значение |
|
Измеряемая среда |
нефть по ГОСТ Р 51858-2002 «Нефть. Общие технические условия» |
|
Давление измеряемой среды. МПа:
|
от 0.23 до 0,60 4,0 |
|
Диапазон температуры измеряемой среды, °C |
от +5,0 до +35,0 |
|
Диапазон плотности измеряемой среды в рабочем диапазоне температуры, кг/м3 |
от 830,0 до 890,0 |
|
Диапазон кинематической вязкости измеряемой среды в рабочем диапазоне температуры, мм2/с (сСт) |
от 5 до 50 |
|
Массовая доля воды, %, не более |
0,5 |
|
Массовая доля механических примесей, %, не более |
0,05 |
|
Массовая концентрация хлористых солей, мг/дм3, не более |
100 |
|
Содержание свободного газа |
не допускается |
-
6.1 При подготовке к поверке проводят работы в соответствии с инструкцией по эксплуатации системы и документами на методики поверки СИ. входящих в состав системы.
-
7.1 Внешний осмотр
-
7.1.1 При внешнем осмотре должно быть установлено соответствие системы следующим требованиям:
-
-
- комплектность системы должна соответствовать её описанию типа и эксплуатационной документации;
-
- на компонентах системы не должно быть механических повреждений и дефектов, препятствующих применению системы и проведению ее поверки;
-
- надписи и обозначения на компонентах системы должны быть четкими и читаемыми без применения технических средств, соответствовать технической документации;
-
- СИ. входящие в состав системы, должны быть поверены и иметь пломбы, несущие на себе знак поверки, в соответствии с описанием типа, их методиками поверки.
-
7.1.2 Проверяют наличие действующих свидетельств о поверке и (или) знаков поверки на СИ, приведенные в таблице 3 настоящей методики поверки.
-
7.1.3 Система, не прошедшая внешний осмотр, к поверке не допускается.
-
7.2.1 Опробование проводят в соответствии с документами на поверку СИ, входящих в состав системы.
-
7.2.2 Проверяют действие и взаимодействие компонентов системы в соответствии с инструкцией по эксплуатации системы, возможность формирования отчетов.
-
7.2.3 Проверяют герметичность системы.
-
7.2.4 На элементах и компонентах системы не должно быть следов протечек нефти.
-
7.2.5 При обнаружении следов нефти на элементах оборудования или СИ поверку прекращают и принимают меры по устранению утечек нефти.
-
7.3.1 Проверяют соответствие идентификационных данных программного обеспечения (ПО) системы сведениям, приведенным в описании типа на систему.
-
7.3.1.1 Определение идентификационных данных ПО комплекса измерительновычислительного ИМЦ-07 (далее - ИВК) проводят в соответствии с документом «Комплекс измерительно-вычислительный ИМЦ-07. Руководство по эксплуатации. РХ.7000.00.00.00.000 РЭ» в следующей последовательности:
-
а) необходимо включить питание, если питание было выключено;
б) дождаться после включения питания появления на дисплее главного меню или войти в главное меню;
в) в главном меню выбрать пункт меню «Основные параметры»;
г) выбрать пункт меню «Просмотр»;
д) выбрать пункт меню «О программе», на экране появится диалоговое окно с информацией о ПО.
Полученные результаты идентификации ПО ИВК должны соответствовать данным, указанным в описании типа на систему (таблица 1, ПО ИВК ИМЦ-07).
-
7.3.1.2 Определение идентификационных данных ПО «ФОРВАРД PRO» проводят в соответствии с руководством пользователем в следующей последовательности:
а) в основном меню, расположенном в верхней части экрана монитора автоматизированного рабочего места (АРМ) оператора, выбрать пункт меню «О программе»;
б) нажать кнопку «Модули», на экране появится диалоговое окно с информацией о ПО.
Полученные результаты идентификации ПО АРМ оператора «ФОРВАРД PRO» должны соответствовать данным, указанным в описании типа на систему (таблица 1, ПО АРМ оператора «ФОРВАРД PRO»).
-
7.3.2 Полученные результаты идентификации ПО системы должны соответствовать данным, указанным в описании типа на систему.
-
7.3.3 В случае, если идентификационные данные ПО системы не соответствуют данным указанным в описании типа на систему, поверку прекращают. Выясняют и устраняют причины, вызвавшие несоответствие. После чего повторно проверяют идентификационные данные ПО системы.
-
7.4.1 Определение метрологических характеристик СИ, входящих в состав системы
-
7.4.1.1 Определение метрологических характеристик СИ, входящих в состав системы, проводят в соответствии с документами, приведенными в таблице 3.
Таблица 3 - СИ и методики их поверки
|
Наименование СИ |
Документ |
|
СРМ |
МП 45115-16 «ГСИ. Счетчики-расходомеры массовые Micro Motion. Методика поверки» с изменением № 1, утвержденная ФГУП «ВНИИМС» 22 декабря 2016 г.; МИ 3151-2008 «Рекомендация. ГСИ. Преобразователи массового расхода. Методика поверки на месте эксплуатации трубопоршневой поверочной установкой в комплекте с поточным преобразователем плотности»; |
Окончание таблицы 3
|
Наименование СИ |
Документ |
|
МИ 3272-2010 «ГСИ. Счетчики-расходомеры массовые. Методика поверки на месте эксплуатации компакт-прувером в комплекте с турбинным преобразователем расхода и поточным преобразователем плотности» | |
|
Датчики температуры Rosemount 644 |
МП 4211-024-2015 «Датчики температуры Rosemount 644, Rosemount 3144Р. Методика поверки» с изменением № 1, утвержденная ФГУП «ВНИИМС» 23.10.2018 г. |
|
Преобразователи давления измерительные 3051 |
МП 4212-021-2015 «Преобразователи давления измерительные 3051. Методика поверки», утвержденная ГЦИ СИ ФБУ «Челябинский ЦСМ» в феврале 2015 г. |
|
Датчики давления Метран-150 |
МП 4212-012-2013 «Датчики давления Метран-150. Методика поверки», утвержденная ГЦИ СИ ФБУ «Челябинский ЦСМ» в ноябре 2013 года. |
|
Преобразователь плотности и расхода С DM |
МП 02-221-2015 с изменением № 1 «ГСИ. Преобразователи плотности и расхода С DM. Методика поверки», утвержденная ФГУП «УНИИМ» 24 мая 2017 г. |
|
Влагомеры нефти поточные УДВН-1пм |
МП 0309-6-2015 «Инструкция. ГСИ. Влагомеры нефти поточные УДВН-1пм. Методика поверки», утвержденная ФГУП «ВНИИР» 04.09.2015 г. |
|
Преобразователи плотности и вязкости FVM |
МП 01-251-2015 «ГСИ. Преобразователи плотности и вязкости FDM, FVM, HFVM. Методика поверки с изменением №1», утвержденная ФГУП «УНИИМ» 30 марта 2018 г. |
|
Расходомер-счетчик ультразвуковой OPTISONIC 3400 |
РТ-МП-5750-449-2019 «ГСИ. Расходомеры-счётчики ультразвуковые OPTISONIC 3400. Методика поверки», утверждённая ФБУ «Ростест-Москва» 12 августа 2019 г. |
|
ивк |
МИ 3395-2013 с изменением №1 «Рекомендация. ГСИ. Комплексы измерительно-вычислительные ИМЦ-07. Методика поверки», утвержденная 25 мая 2018 г. |
-
7.4.1.2 Показывающие СИ давления и температуры поверяют в соответствии с описанием типа.
-
7.4.1.3 Результат поверки системы считают положительным, если все СИ, входящие в состав системы, на момент проведения поверки системы поверены.
-
7.4.1.4 Если очередной срок поверки СИ из состава системы наступает до очередного срока поверки системы, поверяется только это СИ. при этом поверку системы не проводят.
-
7.4.2 Определение относительной погрешности измерений массы брутто нефти.
-
7.4.2.1 Определение относительной погрешности измерений массы брутто нефти осуществляют в соответствии с ГОСТ Р 8.595-2004 «ГСИ. Масса нефти и нефтепродуктов. Общие требования к методикам выполнения измерений». При прямом методе динамических измерений в соответствии с ГОСТ Р 8.595 (п. 5.8.1) за относительную погрешность измерений массы брутто нефти системой, дМБ, %, принимают относительную погрешность измерений массы нефти с помощью СРМ с учетом относительной погрешности преобразования входных электрических сигналов в значения массы нефти ИВК.
-
7.4.2.2 Результат поверки признают положительным, если значение относительной погрешности измерений массы брутто нефти ЗМ,-, %, не превышает ±0,25 %.
7.4.3 Определение относительной погрешности измерений массы нетто нефти
-
7.4.3.1 Определение относительной погрешности измерений массы нетто нефти проводят расчетным методом в соответствии с ГОСТ Р 8.595.
-
7.4.3.2 Относительную погрешность измерений массы нетто нефти системой 8МН, %,
вычисляют по формуле
dWj +
100 J
(1)
где ДИ^ - абсолютная погрешность измерений массовой доли воды в нефти, %, вычисляется по формуле (8). При измерениях объемной доли воды влагомером нефти поточным УДВН-1ПМ (далее - ВН) ДИ^, %, вычисляют по формуле
ДИ^ = Д<ра х-^-, (2)
Р.в
где А(рв - абсолютная погрешность измерений объёмной доли воды ВН, %;
- плотность нефти при условиях измерений (pR, кг/м3; pR - плотность воды в нефти, кг/м3, вычисляют по формуле
рв = 999,97358 х(1-(7,0134 х 10 "8 х Д1 + 7,926504 xlO"6xAt2--7,575677 хЮ’8 х Др+ 7,314894 х10’,охДр- (3
-3,596458 х10“12 х Др)) х(1+(5,074 х 10"4 - 3,26 х 10"6 • Цик + + 4,16x10 х t БИК ) х РБИК ),
At = 1^-3,9818, (4)
где tbHK - текущее значение температуры нефти в блоке измерений показателей качества нефти (далее-БИК), °C;
Рьик - текущее значение давления нефти в БИК, МПа;
ДИ\//7 - абсолютная погрешность измерений массовой доли механических примесей в нефти, %, вычисляется по формуле (8);
ДИ\Г - абсолютная погрешность измерений массовой доли хлористых солей в нефти, %,
вычисляется по формуле
ЬИ\.С = 0,1х-Ц^-, (5)
Рн
где Д^,у - абсолютная погрешность измерений массовой концентрации хлористых солей в нефти, мг/дм3, вычисляется по формуле (8);
-
- плотность нефти при условиях измерений (рхс, кг/м3;
-
- массовая доля воды в нефти, определенная в лаборатории, %. При измерениях объемной доли воды ВН массовую долю воды в нефти ИВК вычисляет по формуле

(6)
где (рн - объемная доля воды в нефти, измеренная ВН, %;
рв - плотность воды в нефти, вычисленная по формуле (3);
pVtt - плотность нефти при условиях измерений (рв, кг/м3;
WMn - массовая доля механических примесей в нефти, %, определенная в лаборатории;
FFVC - массовая доля хлористых солей в нефти, %, определенная в лаборатории и вычисляемая по формуле
Рн
(7)
где (рхс - массовая концентрация хлористых солей в нефти, мг/дм3, определенная в лаборатории.
-
7.4.3.3 Абсолютную погрешность измерений массовой доли воды, массовой концентрации хлористых солей и массовой доли механических примесей в нефти определяют в соответствии с ГОСТ 33701-2015 «Определение и применение показателей точности методов испытаний нефтепродуктов».
-
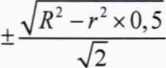
7.4.3.4 Для доверительной вероятности Р = 0,95 и двух измерений соответствующего показателей качества нефти абсолютную погрешность его измерений вычисляют по формуле

(8)
где R и г - воспроизводимость и сходимость метода определения соответствующего показателя качества нефти, значения которых приведены в ГОСТ 2477-2014 «Нефть и нефтепродукты. Метод определения содержания воды», ГОСТ 21534-76 «Нефть. Методы определения содержания хлористых солей», ГОСТ 6370-83 «Нефть, нефтепродукты и присадки. Метод определения механических примесей».
-
7.4.3.5 Относительная погрешность измерений массы нетто нефти системой 8МН, %, не должна превышать ±0,35 %.
-
8.1 При положительных результатах поверки оформляют свидетельство о поверке системы по форме Приложения 1 документа «Порядок проведения поверки средств измерений, требования к знаку поверки и содержанию свидетельства о поверке», утвержденного Приказом Минпромторга России от 2 июля 2015 г. № 1815.
-
8.2 На оборотной стороне свидетельства о поверке системы указывают пределы допускаемой относительной погрешности измерений массы (брутто, нетто) нефти, а также диапазон измеряемого расхода системы, определяющийся значениями минимального и максимального расхода. За значение минимального расхода системы принимают значение минимального расхода рабочего СРМ (согласно свидетельству о поверке) или значение минимального расхода, указанного в описании типа системы, если оно больше. За значение максимального расхода системы принимают значение максимального расхода рабочего СРМ (согласно свидетельству о поверке) или значение максимального расхода, указанного в описании типа системы, если оно меньше.
8.3т Знак поверки наносится на свидетельство о поверке системы.
-
8.4 Результаты поверки оформляют протоколом согласно приложению А.
-
8.5 При отрицательных результатах поверки систему к эксплуатации не допускают и выдают извещение о непригодности по форме Приложения 2 документа «Порядок проведения поверки средств измерений, требования к знаку поверки и содержанию свидетельства о поверке», утвержденного Приказом Минпромторга России от 2 июля 2015 г. № 1815.
Приложение Л
(обязательное)
Форма протокола поверки
из
ПРОТОКОЛ ПОВЕРКИ №____________ С гр
Наименование средства измерений:________________________________
Тип, модель, изготовитель:__
Заводской номер:__________________________________________________
Владелец:__
Методика поверки:_____________________________________________
Место проведения поверки:_______________________________________
Поверка выполнена с применением:______________________________
РЕЗУЛЬТАТЫ ПОВЕРКИ
-
1. Внешний осмотр:________________________________
(соотве тствует/не соответствует)
-
2. Подтверждение соответствия профаммного обеспечения:______________________________________
(соответствует/не соответствует)
-
3. Опробование:______________________________
(соответствует/не соответствует)
-
4. Определение метрологических характеристик
-
4.1 Определение метрологических характеристик СИ, входящих в состав системы в соответствии с п. 7.4.1____________________________
-
(соответствует/не соответствует)
-
4.2 Относительная погрешность измерений массы брутто нефти в соответствии с п. 7.4.2:__
(соответствует/ не соответс твует)
Стр. _ из
4.3 Определение относительной погрешности измерений массы нетто нефти Таблица 1 - Результаты измерений и вычислений
|
И^,% |
MPVC,% |
ДИ^.% |
<5мн,°/0 | ||||
Относительная погрешность измерений массы нетто нефти в соответствии с п. 7.4.3:_________________________________________________
(соот ветст ву ет/ н е соответст вует)
должность лица, проводившего поверку
подпись
Ф.И.О.
Дата поверки
12
