Методика поверки « Государственная система обеспечения единства измерений ДАТЧИКИ СИЛОИЗМЕРИТЕЛЬНЫЕ 3200PT1» (PT-MП-5411-445-2018)
ФЕДЕРАЛЬНОЕ АГЕНТСТВО ПО ТЕХНИЧЕСКОМУ РЕГУЛИРОВАНИЮ И МЕТРОЛОГИИ
ФЕДЕРАЛЬНОЕ БЮДЖЕТНОЕ УЧРЕЖДЕНИЕ
«ГОСУДАРСТВЕННЫЙ РЕГИОНАЛЬНЫЙ ЦЕНТР СТАНДАРТИЗАЦИИ,
МЕТРОЛОГИИ И ИСПЫТАНИЙ В Г. МОСКВЕ»
(ФБУ «РОСТЕСТ-МОСКВА»)
УТВЕРЖДАЮ
Заместитель генерального директора
«11» июля 2018
А.Д. Меньшиков

Государственная система обеспечения единства измерений
ДАТЧИКИ СИЛОИЗМЕРИТЕЛЬНЫЕ 3200РТ1
Методика поверки
РТ-МП-5411-445-2018
г. Москва
2018 г.
Настоящая методика поверки распространяется на датчики силоизмерительные 3200РТ1 (далее - датчики), изготовленные фирмой «Interface», США, и устанавливает методику их первичной и периодической поверки.
Интервал между поверками 1 год.
1 ОПЕРАЦИИ ПОВЕРКИ-
1.1. При проведении поверки выполняют операции, указанные в таблице 1.
Таблица 1
|
Наименование операций |
№ пункта документа по поверке |
Обязательность проведения операции при поверке: | |
|
первичная |
периодическая | ||
|
Внешний осмотр, проверка маркировки и комплектности |
7.1. |
да |
да |
|
Опробование |
7.2. |
да |
да |
|
Определение метрологических характеристик |
7.3. |
да |
да |
|
Определение приведенной погрешности измерений силы, связанной с повторяемостью показаний |
7.3.1 |
да |
да |
|
Определение приведенной погрешности измерений силы, связанной с гистерезисом |
7.3.2 |
да |
да |
|
Определение приведенной погрешности измерений силы, связанной с нелинейностью |
7.3.3 |
да |
да |
-
2.1. При проведении поверки должны применяться эталонные средства измерений и вспомогательные средства поверки, приведенные в таблице 2.
Таблица 2
|
№ пункта документа по поверке |
Наименование эталонных средств измерений или вспомогательных средств поверки и их основные метрологические и технические характеристики |
|
7.3. |
Машины силоизмерительные, разряд 1 по ГОСТ 8.640-2014 Усилитель измерительный MGCplus, Рег.№ 19298-09 |
-
2.2. При поверке допускается применение аналогичных средств поверки, обеспечивающих определение метрологических характеристик поверяемого датчика с требуемой точностью.
-
2.3. Используемые средства измерений должны быть поверены в установленном порядке.
-
3.1. К проведению поверки допускаются лица, изучившие эксплуатационные документы, имеющие достаточные знания и опыт работы с датчиками.
-
4.1. Перед проведением поверки следует изучить эксплуатационные документы на поверяемое средство измерений и приборы, применяемые при поверке.
-
4.2. К поверке допускаются лица, прошедшие инструктаж по технике безопасности при работе на электроустановках.
-
4.3. При выполнении операций поверки выполнять требования Руководства по эксплуатации к безопасности при проведении работ.
-
4.4. Перед проведением поверки поверяемое средство измерений и приборы, участвующие в поверке, должны быть заземлены (ГОСТ 12.1.030-81).
-
5.1. При проведении поверки должны соблюдаться следующие условия измерений:
-
- температура окружающего воздуха, °C от +10 до +30;
-
- относительная влажность окружающего воздуха, % от 20 до 80.
-
5.2. Температура во время поверки не должна изменяться более чем на ± 2 °C.
-
6.1. Перед проведением поверки выдержать датчик и средства поверки в условиях по п.5 не менее 3 часов.
-
6.2. Временные интервалы между двумя последовательными нагружениями должны быть по возможности одинаковыми.
-
6.3. Регистрировать показания следует не ранее, чем через 30 секунд от начала измерения силы.
-
7 ПРОВЕДЕНИЕ ПОВЕРКИ
-
7.1.1. При внешнем осмотре должно быть установлено:
-
- наличие маркировки (наименование изготовителя, обозначение датчика, заводской номер, год изготовления);
-
- отсутствие механических повреждений и дефектов, влияющих на работоспособность.
-
7.1.2. Если перечисленные требования не выполняются, датчик признают непригодным к применению, дальнейшие операции поверки не производят.
-
7.2.1. Подключить датчик к усилителю измерительному MGCplus.
-
7.2.2. Перед проведением измерений датчик нагружают максимальной силой в заданном режиме (растяжение или сжатие) и выдерживают в течение 30 минут. При этом на усилителе MGCplus должны меняться показания в пределах номинального значения выходного сигнала.
-
7.2.3. Датчик считается готовым к работе, если выполняются все указанные требования.
-
7.3.1. Датчик нагружают три раза максимальной силой в заданном режиме (растяжение или сжатие). Продолжительность приложения каждого предварительного нагружения должна составлять от 1 минуты до 1,5 минут.
-
7.3.2. Дальнейшие процедуры проводят как для режима растяжения, так и для режима сжатия.
Для датчиков с двумя независимыми измерительными каналами процедуры проводят как для режима растяжения, так и для режима сжатия для каждого измерительного канала.
-
7.3.3. Датчик нагружают от НПИ до ВПИ, а затем разгружают тремя рядами силы с возрастающими и убывающими значениями при одном положении датчика в рабочем пространстве эталонной машины. Регистрируют соответствующие показания датчика Xj, Хз, Xs (при нагружении) и Х?, Х4, Х6 (при разгружении).
-
7.3.4. Каждый ряд нагружения (разгружения) должен содержать не менее пяти ступеней, по возможности, равномерно распределенных по диапазону измерений.
Следует соблюдать временной интервал не менее 3-х минут между последовательными рядами нагрузки.
-
7.3.5. Определение приведенной погрешности измерений силы, повторяемостью показаний
связанной с
показаний Ь\
-
7.3.5.1. Погрешность измерений, связанная с повторяемостью рассчитывается для каждой ступени прикладываемой силы по формуле (1):

-
лист № 4 Всего листов 4 где Хтах - максимальное значение выходного сигнала на данной ступени, мВ/В;
Xmin - минимальное значение выходного сигнала на данной ступени, мВ/В;
Хном ~ максимальное значение выходного сигнала при максимальной нагрузке, мВ/В.
-
7.3.5.2. Полученные значения не должны превышать следующих значений:
-
- для модификаций 3200PT1-XXXKN-HA-1 и 3200PT1-XXXKN-HA: 0,05 %;
-
- для модификаций 3200PT1-XXXKN-1 и 3200PT1-XXXKN: 0,2 %.
-
7.3.6. Определение приведенной погрешности измерений силы, связанной с гистерезисом
-
7.3.6.1. Погрешность измерений, связанная с гистерезисом v, определяется для каждой ступени прикладываемой силы при сериях нагружения с возрастающими силами и затем с уменьшающимися силами.
-
7.3.6.2. Разность между значениями, полученными для обеих серий с возрастающими силами и с убывающими силами, позволяет рассчитать составляющую погрешности, связанную с гистерезисом, по формуле (2):
-
(2)
7
где V) =
V
ном
•100%, v2
х
нам
•100%, v3 =
х
нам
•100%.
-
7.3.6.3. Полученные значения не должны превышать следующих значений:
-
- для модификаций 3200PT1-XXXKN-HA-1 и 3200PT1-XXXKN-HA: 0,15 %;
-
- для модификаций 3200PT1-XXXKN-1 и 3200PT1-XXXKN: 0,5 %.
-
7.3.7. Определение приведенной погрешности измерений силы, связанной с нелинейностью
-
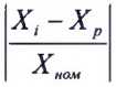
7.3.7.1. Погрешность измерений, связанная с нелинейностью унея9 определяется для каждой ступени прикладываемой силы по формуле (3):
/ нел


-
(3)
где Х, - среднее арифметическое значение выходного сигнала, мВ, Хр(Р* Хном)/ Рном - расчетное значение выходного сигнала, мВ,
Pi - среднее значение усилия, создаваемого силовоспроизводящей машиной, кН, Рном - верхний предел измерений датчика, кН.
-
7.3.7.2. Полученные значения не должны превышать следующих значений:
-
- для модификаций 3200PT1-XXXKN-HA-1 и 3200PT1-XXXKN-HA: 0,1 %;
-
- для модификаций 3200PT1-XXXKN-1 и 3200PT1-XXXKN: 0,5 %.
-
8.1. При положительных результатах поверки датчик признается годным и допускается к применению. На него выдается свидетельство о поверке установленной формы. Знак поверки, в виде оттиска поверительного клейма, наносится на свидетельство о поверке.
-
8.2. При отрицательных результатах поверки датчик признается негодным. На него выдаётся извещение о непригодности установленной формы с указанием основных причин непригодности.


Начальник лаборатории №445
ФБУ «Ростест-Москва»
Заместитель начальника лаборатории №445
ФБУ «Ростест-Москва»
Инженер по метрологии 1 категории

Е.В. Кимяшов
