Методика поверки «ГСИ. Система измерений количества и показателей качества нефти Сузунского месторождения АО "СУЗУН" на Т.11 (ЗАВОДСКОЙ № 5609)» (МП 0967-14-2019)
ФЕДЕРАЛЬНОЕ АГЕНТСТВО ПО ТЕХНИЧЕСКОМУ РЕГУЛИРОВАНИЮ И МЕТРОЛОГИИ
Федеральное государственное унитарное предприятие
«Всероссийский научно-исследовательский институт расходометрии»
Государственный научный метрологический центр
ФГУП «ВНИИР»
УТВЕРЖДАЮ

А.С. Тайбинский
ИНСТРУКЦИЯ
Государственная система обеспечения единства измерений
СИСТЕМА ИЗМЕРЕНИЙ КОЛИЧЕСТВА И ПОКАЗАТЕЛЕЙ КАЧЕСТВА
НЕФТИ СУЗУНСКОГО МЕСТОРОЖДЕНИЯ АО «СУЗУН» НА Т.11 (ЗАВОДСКОЙ № 5609)
Методика поверки
МП 0967-14-2019
Начальник НИО-Л4
«ВНИИР»
_______■ /у ' Р.Н. Груздев
Тел.:(843)299-72-00
г. Казань
2019
РАЗРАБОТАНА
ФГУП «ВНИИР»
ИСПОЛНИТЕЛИ
УТВЕРЖДЕНА
Левина А.П.
ФГУП «ВНИИР»
Настоящая инструкция распространяется на систему измерений количества и показателей качества нефти Сузунского месторождения АО «Сузун» на т.11 (заводской № 5609) (далее по тексту - СИКН) и устанавливает методику первичной поверки при вводе в эксплуатацию, а также после ремонта и периодической поверки при эксплуатации.
Первичная и периодическая поверки СИКН и средств измерений (СИ), входящих в состав СИКН, выполняются согласно части 1 ст. 13 Федерального закона «Об обеспечении единства измерений» от 26 июня 2008 г. № 102-ФЗ и приказу Минпромторга России от 2 июля 2015 г. № 1815.
Поверка СИКН проводится на месте ее эксплуатации.
Возможность проведения поверки СИ из состава СИКН для меньшего числа измеряемых величин или в меньшем числе поддиапазонов измерений предусматривается их методиками поверки. Допускается проводить поверку СИКН в меньшем диапазоне измерений расхода, чем указано в описании типа на СИКН. При этом диапазон измерений расхода СИКН определяется диапазонами измерений расхода, в которых проведена поверка счетчиков-расходомеров массовых, входящих в состав СИКН.
При этом диапазон измерений массового расхода нефти СИКН определяется значениями минимального и максимального расхода, измеренного с помощью счетчиков расходомеров массовых Micro Motion модели CMF400 с электронными преобразователями 2700 (далее по тексту - СРМ). За значение минимального расхода принимают значение минимального расхода того СРМ, у которого расход среди всех рабочих СРМ наименьший (согласно свидетельствам о поверке), или значение минимального расхода, указанного в описании типа СИКН, если оно больше. За значение максимального расхода принимают сумму максимальных значений расхода СРМ, установленных на рабочих измерительных линиях СИКН (согласно свидетельствам о поверке), или значение максимального расхода, указанного в описании типа СИКН, если оно меньше.
На основании письменного заявления владельца СИКН допускается проводить периодическую поверку СИ, предназначенных для измерений параметров измеряемой среды в ограниченном диапазоне измерений.
При поверке СИ в ограниченном диапазоне измерений соответствующая запись должна быть сделана в свидетельстве о поверке и (или) в паспорте (формуляре) СИ.
Если очередной срок поверки СИ из состава СИКН наступает до очередного срока поверки СИКН, поверяется только это СИ, при этом поверку СИКН не проводят.
Методика поверки разработана в соответствии с требованиями РМГ 51-2002 «ГСИ. Документы на методики поверки средств измерений. Основные положения».
Интервал между поверками СИКН - 12 месяцев.
Интервал между поверками СИ из состава СИКН определяется в соответствии с описанием типа на СИ.
1 Операции поверкиПри проведении поверки выполняют операции, приведенные в таблице 1.
Таблица 1 - Операции поверки
|
Наименование операции |
Номер пунк-та инструкции |
Проведение операции при | |
|
первичной поверке |
периодической поверке | ||
|
Внешний осмотр |
7.1 |
Да |
Да |
|
Подтверждение соответствия программного обеспечения |
7.2 |
Да |
Да |
|
Опробование |
7.3 |
Да |
Да |
|
Определение метрологических характеристик СИ, входящих в состав СИКН |
7.4.1 |
Да |
Да |
|
Определение относительной погрешности измерений массы брутто нефти |
7.4.2 |
Да |
Да |
|
Определение относительной погрешности измерений массы нетто нефти |
7.4.3 |
Да |
Да |
-
2.1 Основное средство поверки СИКН
-
2.1.1 Рабочий эталон 1-го или 2-го разряда в соответствии с Приказом Федерального агентства по техническому регулированию и метрологии (Росстандарт) от 07.02.2018 г. № 256 «Об утверждении Государственной поверочной схемы для средств измерений массы и объема жидкости в потоке, объема жидкости и вместимости при статических измерениях, массового и объемного расходов жидкости», обеспечивающий определение метрологических характеристик (MX) СРМ, входящих в состав СИКН, в рабочем диапазоне измерений расхода.
-
2.1.2 При проведении поверки СИ в составе СИКН применяют средства поверки, указанные в документах на методики поверки СИ, входящих в состав СИКН, приведенных в таблице 3 настоящей инструкции.
-
-
2.2 Допускается применять другие аналогичные по назначению средства поверки утвержденных типов, если их MX не уступают указанным в документах, приведенных в таблице 3 настоящей инструкции.
-
3.1 Поверку СИКН проводят лица, аттестованные в качестве поверителя, в соответствии с областью аккредитации в установленном порядке.
-
3.2 К поверке допускаются лица, изучившие инструкцию по эксплуатации на СИКН и имеющие квалификационную группу по электробезопасности не ниже II в соответствии с «Правилами техники безопасности при эксплуатации электроустановок потребителей».
-
3.3 Поверитель, выполняющий работы по проверке защиты программного обеспечения (ПО), должен пройти обучение по методам проверки защиты ПО СИ в соответствии с приказом Росстандарта № 2938 от 17 июня 2011 г.
-
4.1 При проведении поверки соблюдают требования, определяемые:
- в области охраны труда - Трудовым кодексом Российской Федерации;
-
- в области промышленной безопасности - Федеральными нормами и правилами в области промышленной безопасности «Правила безопасности в нефтяной и газовой промышленности» (приказ Ростехнадзора № 101 от 12 марта 2013 г. «Об утверждении Федеральных норм и правил в области промышленной безопасности «Правила безопасности в нефтяной и газовой промышленности»). Руководством по безопасности «Рекомендации по устройству и безопасной эксплуатации технологических трубопроводов» (приказ № 784 от 27 декабря 2012 г. «Об утверждении Руководства по безопасности «Рекомендации по устройству и безопасной эксплуатации технологических трубопроводов»), а также другими действующими отраслевыми документами;
-
- в области пожарной безопасности - Федеральным законом Российской Федерации от 22 июля 2008 г. № 123-ФЗ «Технический регламент о требованиях пожарной безопасности», Постановление Правительства Российской Федерации от 25 апреля 2012 г. № 390 «О противопожарном режиме» (вместе с «Правилами противопожарного режима в Российской Федерации»), СНиП 21.01-97 (с изм. № 1,2) «Пожарная безопасность зданий и сооружений»;
-
- в области соблюдения правильной и безопасной эксплуатации электроустановок -Правилами технической эксплуатации электроустановок потребителей;
-
- в области охраны окружающей среды - Федеральным законом Российской Федерации от 10 января 2002 г. № 7-ФЗ (ред. 12 марта 2014 г.) «Об охране окружающей среды» и другими действующими законодательными актами на территории РФ.
-
4.2 Площадка СИКН должна содержаться в чистоте без следов нефти и должна быть оборудована первичными средствами пожаротушения согласно Правил противопожарного режима в Российской Федерации.
-
4.3 СИ и вспомогательные устройства, применяемые при выполнении измерений, должны иметь взрывозащищенное исполнение в соответствии с требованиями ГОСТ 30852.0-2002 «Электрооборудование взрывозащищённое. Часть 0. Общие требования».
-
4.4 Вторичную аппаратуру и щиты управления относят к действующим электроустановкам с напряжением до 1000 В, на которые распространяются Правила технической эксплуатации электроустановок потребителей, Правила устройства электроустановок.
Поверка СИКН осуществляется в условиях эксплуатации.
При проведении поверки соблюдают условия в соответствии с требованиями документов на методики поверки СИ, входящих в состав СИКН.
Характеристики измеряемой среды при проведении поверки должны соответствовать требованиям, приведенным в таблице 2.
Соответствие характеристик измеряемой среды значениям, приведенным в таблице 2, проверяют по данным паспорта качества нефти.
Таблица2- Характеристики измеряемой среды
|
Наименование характеристики |
Значение |
|
Измеряемая среда |
нефть, соответствующая требованиям ГОСТ Р 51858-2002 «Нефть. Общие технические условия» |
Продолжение таблицы 2
|
Наименование характеристики |
Значение |
|
Диапазон измерений массового расхода*, т/ч |
от 50 до 870 |
|
Диапазон избыточного давления нефти, МПа |
от 0,6 до 2,5 |
|
Диапазон температуры нефти. °C |
от +20 до +45 |
|
Диапазон вязкости нефти, мм2/с (сСт) |
от 4,56 до 48,69 |
|
Диапазон плотности нефти, кг/м3 |
от 780 до 850 |
|
Давление насыщенных паров при максимальной температуре нефти, кПа (мм рт. ст.), не более |
66,7 (500) |
|
Массовая доля воды, %, не более |
0,5 |
|
Массовая концентрация хлористых солей, мг/дм3, не более |
100 |
|
Массовая доля механических примесей, %, не более |
0,05 |
|
Содержание свободного газа |
не допускается |
|
Режим работы СИКН |
непрерывный |
|
Параметры электрического питания:
|
380+38 (трехфазное); 220+22 (однофазное) 50+1 |
|
Условия эксплуатации:
|
от -49,9 до +40 от 20 до 90 от 86 до 106 |
|
Срок службы, лет, не менее |
25 |
|
Примечание* - При подключении резервной измерительной линии обеспечивается диапазон измерений расхода от 50 до 1305 т/ч. | |
Подготовку средств поверки и СИКН осуществляют в соответствии с их эксплуатационной документацией.
7 Проведение поверки-
7.1 Внешний осмотр
При внешнем осмотре проверяют комплектность и внешний вид СИКН.
-
7.1.1 Комплектность СИКН должна соответствовать ее описанию типа и эксплуатационной документации.
-
7.1.2 При проверке внешнего вида должны выполняться требования:
-
- на компонентах СИКН не должно быть механических повреждений, препятствующих проведению поверки;
-
- надписи и обозначение на компонентах СИКН должны быть четкими и читаемыми без применения технических средств, соответствовать технической документации;
-
- СИ, входящие в состав СИКН, должны быть поверены и снабжены средствами защиты (пломбировки) в соответствии с описанием типа на средства измерений, эксплуатационной документацией или МИ 3002-2006 «ГСИ. Рекомендация. Правила пломбирования и клеймения средств измерений и оборудования, применяемых в составе систем измерений количества и показателей качества нефти и поверочных установок».
СИКН, непрошедшая внешний осмотр, к поверке не допускается.
-
7.2 Подтверждение соответствия ПО.
-
7.2.1 При проверке идентификационных данных ПО должно быть установлено соответствие идентификационных данных ПО СИКН сведениям, приведенным в описании типа на СИКН.
-
7.2.2 Для определения идентификационных данных ПО комплекса измерительновычислительного ИМЦ-07 (далее по тексту - ИВК) необходимо выбрать пункты меню «Основные параметры» —♦ «Просмотр» —> «О программе».
-
7.2.3 Определение идентификационных данных ПО автоматизированного рабочего места (АРМ) оператора «Форвард Рго» проводят в следующей последовательности:
-
-
- в главном окне программы необходимо нажать вкладку «О программе», находящуюся в левом верхнем углу экрана, в открывшемся окне приведены сведения о версии ПО;
-
- далее необходимо нажать вкладку «Модули», в открывшемся окне приведены сведения об идентификационном наименовании модуля ПО и его контрольная сумма.
-
7.3 Опробование
-
7.3.1 Опробование СИКН осуществляют путем увеличения или уменьшения расхода измеряемой среды в пределах рабочего диапазона измерений.
-
Результаты опробования считаются удовлетворительными, если при увеличении или уменьшении расхода измеряемой среды, соответствующим образом изменялись показания на соответствующих средствах отображения информации.
-
7.3.2 Проверяют герметичность СИКН.
Проверку герметичности СИКН проводят согласно эксплуатационной документации на СИКН. СИКН считается выдержавшей проверку, если на элементах и компонентах СИКН нет следов протечек нефти или снижения давления.
-
7.4 Определение метрологических характеристик
-
7.4.1 Определение MX СИ, входящих в состав СИКН.
-
Определение MX СИ, входящих в состав СИКН, проводят в соответствии с документами, приведенными в таблице 3.
Таблица 3 - СИ и их методики поверки
|
Наименование СИ |
Документы |
|
СРМ, регистрационный номер в Федеральном информационном фонде по обеспечению единства измерений (далее по тексту - регистрационные номера) 45115-16 |
МП 45115-16 «ГСИ. Счетчики-расходомеры массовые Micro Motion. Методика поверки» с изменением № 1, утвержденная ФГУП «ВНИИМС» 22 декабря 2016 г. МИ 3272-2010 «Счетчики-расходомеры массовые. Методика поверки на месте эксплуатации компакт-прувером в комплекте с турбинным преобразователем расхода и поточным преобразователем плотности» МИ 3151 -2008 «Преобразователи массового расхода. Методика поверки на месте эксплуатации трубопоршневой поверочной установкой в комплекте с поточным преобразователем плотности» |
Продолжение таблицы 3
|
Наименование СИ |
Документы |
|
Термопреобразователи сопротивления Rosemount 0065, регистрационные номера 53211-13 в комплекте с преобразователями измерительными Rosemount 644, регистрационные номера 56381-14 |
ГОСТ 8.461-2009 «ГСП. Термопреобразователи сопротивления из платины, меди и никеля. Методика поверки» МП 207-007-2018 с изменением № 1 «Преобразователи измерительные Rosemount 644, Rosemount 3144 Р. Методика поверки», утвержденная ВНИИМС 11.12.2018 г. |
|
Датчики давления Метран-150, регистрационные номера 32854-13 |
МП 4212-012-2013 «Датчики давления Метран-150. Методика поверки», утвержденная ГЦИ СИ ФБУ «Челябинский ЦСМ» 11 ноября 2013 г. |
|
Расходомер-счетчик ультразвуковой OPTISONIC 3400, регистрационный номер 57762-14 |
МП РТ 1849-2014 «Расходомеры-счетчики ультразвуковые OPTISONIC 3400. Методика поверки», утверждённая руководителем ГЦИ СИ ФБУ «Ростест-Москва» 23 мая 2014 г. |
|
Преобразователи плотности и расхода CDM, регистрационные номера 63515-16 |
МП 02-221-2015 с изменением № 1 «ГСИ. Преобразователи плотности и расхода CDM. Методика поверки», утвержденная ФГУП «УНИИМ» 24 мая 2017 г. |
|
Влагомеры нефти поточные УДВН- 1 пм, регистрационные номера 14557-15 |
МП 0309-6-2015 «Инструкция. ГСИ. Влагомеры нефти поточные УДВН-1пм. Методика поверки», утвержденная ФГУП «ВНИИР» 04.09.2015 г. |
|
Манометры показывающие для точных измерений МПТИ, регистрационные номера 26803-11 |
5ШО.283.421 МП «Манометры, вакуумметры и манова-куумметры показывающие для точных измерений МПТИ, ВПТИ и МВПТИ. Методика поверки», утвержденному ГЦИ СИ ФГУП «ВНИИМС» 07.07.2011 г. |
|
Манометры избыточного давления МП-У, регистрационные номера 10135-15 |
МИ 2124-90 «ГСИ. Манометры, вакуумметры, манова-куумметры, напоромеры, тягомеры и тягонапоромеры показывающие и самопишущие. Методика поверки» |
|
Термометры ртутные стеклянные лабораторные ТЛ-4, регистрационные номера 303-91 |
ГОСТ 8.279-78 «ГСИ. Термометры стеклянные жидкостные рабочие. Методика поверки» |
|
ИВК, регистрационный номер 53852-13 |
МИ 3395-2013 с изменение № 1 «Рекомендация. ГСИ. Комплекс измерительно-вычислительный ИМЦ-07. Методика поверки», утвержденная ООО «ИМС Индастриз» и ФГУП «ВНИИМ им. Д.И. Менделеева» 25 мая 2018 г. |
Примечание - При использовании документа, приведенного в таблице 3 необходимо проверять действие документа на официальном сайте Федерального информационного фонда по обеспечению единства измерений (в разделе утвержденные типы средств измерений).
-
7.4.2 Определение относительной погрешности измерений массы брутто нефти
При прямом методе динамических измерений относительную погрешность измерений массы брутто нефти (5мб, %) в соответствии с ГОСТ Р 8.595 - 2004 «ГСП. Масса нефти и нефтепродуктов. Общие требования к методикам выполнения измерений» принимают равной относительной погрешности измерений массы нефти СРМ.
Относительная погрешность измерений массы брутто нефти не должна превышать ±0,25 %.
-
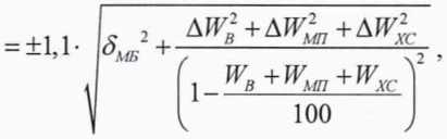
7.4.3 Определение относительной погрешности измерений массы нетто нефти Относительную погрешность измерений массы нетто нефти в соответствии с ГОСТ Р 8.595 (5мн, %) вычисляют по формуле:


(1)
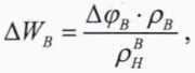
где AWb - абсолютная погрешность измерений массовой доли воды, %, при измерениях в лаборатории определяется по формуле (6), при измерениях объемной доли воды поточным влагомером вычисляется по формуле:

(2)
|
где к(рв -влагомером, %; |
абсолютная погрешность измерений объемной доли воды поточным |
рв - плотность воды при условиях измерений (рв, кг/м3;
рвн - плотность нефти при условиях измерений (рв, кг/м3;
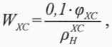
A - абсолютная погрешность измерений массовой доли механических примесей, %; J Wxc - абсолютная погрешность измерений массовой доли хлористых солей, %, вычис-
|
ляется по формуле: |
(3) Рн |
где &(рхс - абсолютная погрешность измерений массовой концентрации хлористых солей в нефти, мг/дм3, вычисляется по формуле (6);
Рн - плотность нефти при условиях измерений <pvc, кг/м3;
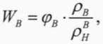
Wb - максимальное значение массовой доли воды в нефти, %; при измерениях объемной доли воды поточным влагомером массовая доля воды вычисляется в ИВК по формуле:

(4)
где (рв - объемная доля воды в нефти, измеренная поточным влагомером, %;
Wmtj - максимальное значение массовой доли механических примесей в нефти, %;
Wxc - максимальное значение массовой доли хлористых солей в нефти, %, вычисляется по формуле:

(5)
срхс - массовая концентрация хлористых солей в нефти, мг/дм3, определенная в лаборатории.
Абсолютные погрешности измерений массовой доли воды, массовой доли механических примесей, массовой концентрации хлористых солей в нефти по лабораторному методу определяют в соответствии с ГОСТ 33701-2015 «Определение и применение показателей точности методов испытаний нефтепродуктов».
Для доверительной вероятности Р = 0,95 и двух измерений соответствующего показателя качества нефти абсолютную погрешность его измерений Д, %, вычисляют по формуле:
7r2-0,5t2
(6)
где R и г - воспроизводимость и сходимость метода определения соответствующего показателя качества нефти.
Значения воспроизводимости и сходимости определяют:
-
- для массовой доли воды по ГОСТ 2477-14 «Нефть и нефтепродукты. Метод определения содержания воды»;
-
- для массовой доли механических примесей по ГОСТ 6370-83 «Нефть, нефтепродукты и присадки. Методы определения механических примесей»;
-
- для массовой концентрации хлористых солей по ГОСТ 21534-76 «Нефть. Методы определения содержания хлористых солей».
Воспроизводимость R метода определения массовой концентрации хлористых солей по ГОСТ 21534 принимают равной удвоенному значению сходимости г.
Относительная погрешность измерений массы нетто нефти (бмн, %) с применением СИКН не должна превышать ±0,35 %.
7 Оформление результатов поверки-
8.1 При положительных результатах поверки оформляют свидетельство о поверке СИКН в соответствии с документом «Порядок проведения поверки средств измерений, требования к знаку поверки и содержанию свидетельства о поверке», утвержденным Приказом Минпромторга России от 02.07.2015 № 1815.
На оборотной стороне свидетельства о поверке СИКН указывают диапазон измерений расхода и пределы допускаемой относительной погрешности измерений массы (брутто, нетто) нефти.
Особенности конструкции СИКН не позволяют нанести знак поверки непосредственно на СИКН. Знак поверки наносится на свидетельство о поверке СИКН.
-
8.2 При отрицательных результатах поверки СИКН к эксплуатации не допускают, выдают извещение о непригодности по форме Приложения 2 документа «Порядок проведения поверки средств измерений, требования к знаку поверки и содержанию свидетельства о поверке», утвержденного приказом Минпромторга России от 02.07.2015 № 1815.
Приложение А
Протокол поверки №______
Наименование средства измерений:____________________________________________________
Изготовитель:_____________________________________________________________________________
Заводской номер:________________________________________________________________________
Владелец:_________________________________________________________________________________
Наименование и адрес заказчика:_________________________________________________________
Методика поверки:____________________________________________________________________
Место проведения поверки:____________________________________________________________
Поверка выполнена с применением:___________________________________________________
Условия проведения поверки:
Температура окружающей среды:__________
Атмосферное давление:___________________
Относительная влажность:________________
РЕЗУЛЬТАТЫ ПОВЕРКИ
-
1. Внешний осмотр:________________________________
(соответствует/не соответствует)
-
2. Подтверждение соответствия программного обеспечения СИКН:________________________________
(соответствует/не соответствует)
-
3. Опробование:______________________________
(соответствует/не соответствует)
-
4. Определение метрологических характеристик
-
4.1 Определение относительной погрешности СИКН при измерениях массы брутто нефти
-
Относительную погрешность измерений массы брутто нефти 3 МБ , %, в соответствии с ГОСТ Р 8.595-2004 «ГСИ. Масса нефти и нефтепродуктов. Общие требования к методикам выполнения измерений» при прямом методе динамических измерений СИКН принимают равной относительной погрешности измерений массы нефти счетчиков-расходомеров массовых Micro Motion модели CMF400 с электронными преобразователями 2700 ±0,25 %.
Стр. _ из
Относительная погрешнос'п> СИКН при измерениях массы брутто нефти не превышает ±0,25 %.
-
4.2 Определение относительной погрешности СИКН при измерениях массы нетто нефти
Таблица 1 - Результаты измерений и вычислений
|
змЕ, % |
МП , % |
,% |
8М„, % | ||||
Относительная погрешность СИКН при измерениях массы нетто нефти не превышает ±0,35 %.
должность лица, проводившего поверку подпись Ф.И.О.
Дата поверки ____________________________________
12
