Методика поверки «РАСХОДОМЕРЫ-СЧЕТЧИКИ МАССОВЫЕ OPTIMASS 1400, OPTIMASS 2400, OPTIMASS 6400» (РТ-МП-6369-449-2019)

ФЕДЕРАЛЬНОЕ АГЕНТСТВО ПО ТЕХНИЧЕСКОМУ РЕГУЛИРОВАНИЮ И МЕТРОЛОГИИ
ФЕДЕРАЛЬНОЕ БЮДЖЕТНОЕ УЧРЕЖДЕНИЕ «ГОСУДАРСТВЕННЫЙ РЕГИОНАЛЬНЫЙ ЦЕНТР СТАНДАРТИЗАЦИИ, МЕТРОЛОГИИ И ИСПЫТАНИЙ В Г. МОСКВЕ И МОСКОВСКОЙ ОБЛАСТИ» (ФБУ «РОСТЕСТ МОСКВА»)
УТВЕРЖДАЮ
Заместитель генерального директора

Государственная система обеспечения единства измерений
РАСХОДОМЕРЫ-СЧЕТЧИКИ МАССОВЫЕ
OPTIMASS 1400, OPTIMASS 2400, OPTIMASS 6400
Методика поверки
РТ-МП-6369-449-2019 г. Москва
2019 г.
1. Общие положения
-
1.1 Настоящий документ распространяется на расходомеры-счётчики массовые OPTIMASS 1400, OPTIMASS 2400, OPTIMASS 6400 (далее - расходомеры), изготавливаемые фирмой ООО «КРОНЕ-Автоматика», Россия и устанавливает методику их первичной и периодических поверок.
-
1.2 Интервал между поверками - 5 лет.
2. Операции поверки
-
2.1 При проведении поверки расходомеров выполняют операции, указанные в таблице 1.
аблица 1- Операции поверки
Наименование операции |
Номер пункта методики поверки |
Проведение операции при: | |
первичной поверке |
периодической поверке | ||
Внешний осмотр |
7.1 |
да |
да |
Проверка герметичности |
7.2 |
да |
да |
Опробование |
7.3 |
да |
да |
Определение метрологических характеристик |
7.4 |
да |
да |
Оформление результатов поверки |
8 |
да |
да |
-
2.2 В случае отрицательных результатов поверки необходимо провести настройку нулевой точки расходомера. При необходимости провести настройку поверяемого канала расходомера, а также в соответствии с эксплуатационной документацией или Приложением В, провести коррекцию показаний массового расходомера по показаниям эталона. Если и после этого результаты поверки будут отрицательными, то поверку прекращают, а расходомер бракуют.
3. Средства поверки
3.1 При проведении поверки применяют средства поверки, указанные в таблице 2. Таблица 2- Средства поверки
Номер пункта методики поверки |
Наименование и тип основных средств поверки |
7.2, 7.3, 7.4 |
Преобразователь давления эталонный ПДЭ-010И. Регистрационный номер в Федеральном информационном фонде 33587-12. Диапазон измерений от 0 до 6,0 МПа, ПГ = ±1,0 % от ИВ |
7.2, 7.3, 7.4 |
Секундомер электронный Интеграл С-01. Регистрационный номер в Федеральном информационном фонде 44154-16. Диапазон измерений от 0 до 9:59:59,99 с,ПГ = ±0,1 с |
7.3, 7.4 |
Установка трубопоршневая 1 и 2 разряда (ТПУ) или эталонная передвижная установка (ЭПУ) в соответствии с ГПС (часть 2), утвержденной приказом № 256 от 07.02.2018, предназначенная для поверки систем измерений количества и показателей качества нефти (далее СИКН); ПГ = ±(0,05 - 0,15) %. |
7.3, 7.4 |
Установка поверочная ВПУ-Энерго-2000-ВУ-ОР. Регистрационный номер в Федеральном информационном фонде 57049-14. Диапазон воспроизведения массы от 0,001 до 10 т, U(M) = 0,039 %, U(G) = 0,045 % |
7.3, 7.4 |
Установка поверочная СПИ-04. Рабочий эталон единицы массового расхода жидкости 1-го разряда изготовленный в соответствии с ГПС (часть 1), утвержденной приказом № 256 от 07.02.2018. Диапазон воспроизведения массового расхода от 0,001 до 0,6 т/ч, U(G) = 0,068 % |
Продолжение таблицы 2
7.3, 7.4 |
Рабочий эталон единиц объема 1-го разряда изготовленный в соответствии с ГПС, утвержденной приказом № 256 от 07.02.2018. ПГ= ±0,02 % |
7.3, 7.4 |
Установка поверочная средств измерений объема и массы УПМ. Регистрационный номер в Федеральном информационном фонде 45711-10. ПГобъема = ±0,05 %, ПГмасСы = ±0,04 % |
7.3,7.4 |
Рабочий эталон единицы плотности в соответствии с ГПС, утвержденной приказом Госстандарта № 2603 от 01.11.2019. Диапазон измерений от 650 до 2000 кг/м3 |
7.3, 7.4 |
Плотномер портативный ПЛОТ-ЗБ Регистрационный номер в Федеральном информационном фонде 20270-12 |
7.3, 7.4 |
Термометр цифровой малогабаритный ТЦМ 9410. Регистрационный номер в Федеральном информационном фонде 32156-06. Диапазон измерений от -50 °C до +200 °C, ПГ = ±0,1 °C |
7.3, 7.4 |
Частотомер электронно-счетный 43-88. Регистрационный номер в Федеральном информационном фонде 41190-09. Диапазон измерения частоты от 0,01 Гц до 1,00 МГц, 5f = ±|6o|+l/fx-tC4 |
-
3.2 Допускается применение аналогичных средств поверки, обеспечивающих определение метрологических характеристик поверяемых средств измерений с требуемой точностью.
-
3.3 Применяемые при поверке средства измерений могут входить в состав систем измерений количества и показателей качества нефти (СИКН, СИКНП или АСН).
4. Требования безопасности
-
4.1 При проведении поверки соблюдают требования безопасности, определяемые:
-
- правилами безопасности труда, действующими на объекте;
-
- правилами безопасности при эксплуатации средств поверки, приведёнными в эксплуатационной документации на эти средства;
-
- «Правилами технической эксплуатации электроустановок» (ПТЭ);
-
- «Правилами техники безопасности при эксплуатации электроустановок потребителей» (ПТБ);
-
- «Правилами устройства электроустановок»;
-
- «Правилами защиты от статического электричества в химических, нефтехимических и нефтеперерабатывающих предприятиях».
-
4.2 На ТПУ и трубопроводах, заполненных продуктом, применяют только средства измерений взрывозащищенного исполнения, соответствующие взрывоопасной зоне и условиям окружающей среды.
-
4.3 На средства измерений должны быть нанесены чёткие надписи и условные знаки, выполненные для обеспечения их безопасной эксплуатации.
-
4.4 Доступ к средствам измерений и оборудованию должен быть свободный. При необходимости предусматривают лестницы и площадки или переходы с ограничениями, соответствующие требованиям безопасности.
-
4.5 Использование элементов обвязки, не прошедших гидравлическое испытание, запрещено.
-
4.6 Давление рабочей жидкости не должно превышать значений, указанных в эксплуатационной документации на применяемое оборудование и СИ.
-
4.7 При появлении течи продукта, загазованности и других ситуаций, нарушающих нормальный ход поверочных работ, поверку прекращают.
5. Условия проведения поверки
-
5.1 При проведении поверки должны быть соблюдены следующие условия:
-
- температура окружающего воздуха: +(20 ±10) °C;
-
- температура поверочной среды: +(20 ± 5) °C;
-
- дрейф температуры поверочной среды, не более: 2 °С/ч;
-
- относительная влажность окружающего воздуха: от 30 до 80 %;
-
- атмосферное давление: от 84 до 106 кПа;
-
- поверочная среда: водопроводная вода по СанПиН 2.1.4.1074-2001.
-
5.2 При проведении поверки без демонтажа на месте эксплуатации на жидкостях, отличных от воды, соблюдают следующие условия:
-
- температура окружающего воздуха: от -25 до +50 °C;
-
- температура поверочной среды: от -30 до +130 °C;
-
- температура поверочной среды для модификации 6400: от -200 до +400 °C;
-
- дрейф температуры поверочной среды, не более: 2 °С/ч;
-
- содержание механических примесей, не более: 0,5 %;
-
- содержание свободного газа: отсутствует;
-
- объёмная доля воды в рабочей жидкости, не более: 10 %;
-
- относительная влажность окружающего воздуха: до 99 %;
-
- атмосферное давление: от 84 до 106 кПа;
-
- солнечная радиация: не допускается;
-
- ветер: не более 8 м/с;
-
- осадки: допускаются, за исключением ливневых.
6. Подготовка к поверке
-
6.1 Подготавливают к работе средства измерений, применяемые при поверке расходомера, в соответствии с их эксплуатационной документацией.
-
6.2 Подготавливают расходомер к работе в соответствии с указаниями, изложенными в эксплуатационной документации.
-
6.3 Заполняют систему поверочной установки (или технологическую систему) с установленным в ней расходомером поверочной жидкостью и удаляют из нее нерастворенный газ (воздух)
-
6.4 Подключают расходомер к источнику питания, поверочной установке и(или) другим средствам поверки (Приложение А), в соответствии с их эксплуатационной документацией.
-
6.5 Настраивают расходомер для измерения расхода соответствующей среды.
-
6.6 Перед началом поверки необходимо:
-
- в трубопроводе (или измерительном канале поверочной установки с предустановленным в него расходомером) установить и выдержать в течение 30 минут расход поверочной среды, равный примерно (0,3 - 0,9)'Gmax (где Стах - наибольшее значение массового расхода для данного типа расходомера, т/ч);
-
- при необходимости провести градуировку «нулевой точки» в соответствии с эксплуатационной документацией.
7. Проведение поверки
-
7.1 Внешний осмотр
При внешнем осмотре расходомера проверяется:
-
- комплектность должна соответствовать данным, указанным в эксплуатационной документации на расходомер;
-
- маркировка расходомера должна соответствовать данным, указанным в эксплуатационной документации. Целостность шильдиков на расходомере не должна быть нарушена;
-
- заводской номер должен соответствовать записи в эксплуатационной документации;
-
- контакты разъемов должны быть чистые и не иметь следов коррозии;
-
- корпуса первичного преобразователя и преобразователя расхода не должны иметь механических повреждений, влияющих на работоспособность;
-
- окно для считывания показаний жидкокристаллического индикатора (если он есть) должно быть чистое и не иметь дефектов, препятствующих правильному считыванию;
-
- проточная часть расходомера не должна иметь на внутренней поверхности грязи и отложений;
Результат проверки считается положительным, если по внешнему виду и маркировке расходомер соответствует данным эксплуатационной документации.
-
7.2 Опробование
Допускается совместить данный пункт с п. 7.3 настоящей методики поверки.
-
7.2.1 Опробование расходомера в лабораторных условиях проводят путем увеличения/уменыпения расхода жидкости в пределах рабочего диапазона измерений.
Расходомер считается поверенным по данному пункту, если выполняются условия:
-
- в рабочем режиме расходомер регистрирует измеряемый расход (объем или массу);
-
- в рабочем режиме расходомер должен генерировать выходной сигнал (токовый или частотноимпульсный), пропорциональный текущему расходу;
-
- при неизменной скорости потока индицируемое значение текущего расхода должно быть неизменно, а индицируемое значение суммарной массы (или объема) должно увеличиваться с течением времени.
-
7.2.2 Опробование на месте эксплуатации проводят на расходе, соответствующем условиям эксплуатации расходомера.
Расходомер считается поверенным по данному пункту, если выполняются условия, указанные в п.п. 7.2.1.
-
7.2.3 Проверка идентификационных данных программного обеспечения
Проверяют соответствие идентификационных данных программного обеспечения (ПО). Для этого, согласно эксплуатационной документациии, необходимо войти в меню D2.3.4 расходомера и считать номер версии.
Необходимо переписать идентификационные данные ПО в протокол поверки.
Таблица 3 - Идентификационные данные
Идентификационные данные (признаки) |
Значение для MFC 010 |
Значение для MFC 400 |
Идентификационное название ПО |
ER 3.3.1 |
ER l.O.xx ER 2.0.xx |
Номер версии (идентификационный номер) ПО |
не ниже 3.01 |
не ниже 5.0.1 |
Цифровой идентификатор ПО |
не отображается |
не отображается |
Результаты поверки считают положительными, если идентификационные данные соответствуют данным, указанным в таблице 3.
-
7.3 Определение Метрологических характеристик
Определение относительной погрешности допускается проводить одним из следующих способов:
-
7.3.1 Определение относительной погрешности измерений массового расхода (массы) в лабораторных условиях
Определение относительной погрешности измерений массового расхода (массы) проводят при помощи жидкостной (водяной) поверочной установки. Схема подключения контрольно-измерительной аппаратуры при поверке приведена в руководстве по эксплуатации и в Приложении А настоящей методики.
Определение относительной погрешности проводят на значениях расхода, соответствующих значениям: (0,05 - 0,15)-б!1пах, (0,3 -0,45)-Gmax, (0,5 - 0,9)-Gmax.
Время проведения каждого измерения должно бьггь не менее 30 секунд или 10000 импульсов.
Расходомеры с первичными преобразователями, у которых DN >100 мм или с первичными преобразователями OPTIMASS-7000, допускается поверять на расходах 0,3Gmax , 0,1 -Стах И 0,05 Стах.
Величины расходов (0,3 - 0,9)Gmax устанавливают с допуском ±5 %, а расходы (0,05 -0,15)-Gmax - с допуском ±10 %.
На каждом расходе проводят не менее трех измерений. Результаты измерений (в виде среднего арифметического) заносят в протокол произвольной формы (Приложение Б).
Если в точке поверки погрешность расходомера превысила допускаемую, то измерение повторяют. При необходимости корректируют «коэффициент коррекции расхода» расходомера (Приложение В). Если корректировка расходомера не привела к положительному результату, то его бракуют.
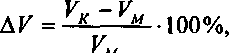
Относительную погрешность измерений массового расхода <5g„ % или массы дмь %, при /-ом измерении определяют по формулам:
(1) (2)
где Gj - расход по расходомеру, кг/ч;
G3m - расход по поверочной установке, кг/ч;
М - масса по расходомеру, кг;
Мэт - масса по поверочной установке, кг.
За результат принимают среднее арифметическое из полученных значений в каждой точке поверки.
В случае, если поверочная установка оснащена мерами вместимости, то определение относительной погрешности расходомеров при измерении массы осуществляется сравнением значений массы, измеренной расходомером, и массы, пересчитанной исходя из измеренных значений объема и плотности на поверочной установке. Массу М, кг, по поверочной установке вычисляют по формуле
М= V-р,
(3)
где V — объем жидкости, измеренный установкой, м3;
р - плотность жидкости, измеренная установкой, кг/м3.
Значение относительной погрешности измерений массы Змь %, при z-ом измерении определяется по формуле (2).
а) в случае, если при поверке используется аналоговый выход расходомера, то измеренный расход G(, кг/ч, вычисляется по формуле

min,
(4)
где It - ток, измеренный контроллером поверочной установки за время проведения z-ro измерения, мА;
Лит - минимальное значение установленного диапазона токового выхода, мА;
/пах - максимальное значение установленного диапазона токового выхода, мА;
Gmax - значение расхода установленное для максимального значения токового выхода кг/ч;
Gmin - значение расхода установленное для минимального значения токового выхода кг/ч.
б) в случае, если при поверке используется частотный выход расходомера, то измеренный расход G/, кг/ч, или масса Mt, кг, вычисляются по формуле (5) или по формуле (6)
соответственно:
G. = —-3600 ' К
(5)
(6)
1000 ЛГ
где
Ft - частота на выходе расходомера за время проведения z-ro измерения, Гц;
К - весовой коэффициент, установленный в расходомере, имп/кг;
Nt - количество импульсов, накопленное поверочной установкой за время проведения i-
го измерения, имп.
Минимальное число импульсов, накопленных за время проведения одного измерения, должно быть не менее 10000.
в) в случае если расходомер не имеет частотных и аналоговых выходов, прибор может быть подключен к поверочной установке при помощи конвертеров Profibus DP/PA, Foundation Fieldbus или Modbus.
Результаты поверки считают положительными, если значение относительной погрешности измерений массового расхода (массы) не превышает значений, указанных в описании типа средства измерений.
-
7.3.2 Определение абсолютной погрешности измерений температуры
Определение абсолютной погрешности измерений температуры допускается не проводить только в том случае, когда расходомер работает в режиме измерений массы жидкости (при поверке без демонтажа на месте эксплуатации).
Определение абсолютной погрешности измерений температуры допускается проводить одним из следующих способов:
-
1) сравниваются показания температуры, измеренной расходомером, установленным в измерительном канале поверочной установки с показаниями поверочной установки или эталонного термометра. Проводят не менее трёх измерений.
-
2) измерительный канал расходомера закрывают с одной стороны заглушкой и поворачивают так, чтобы измерительный канал находился в вертикальном положении. Затем заполняют измерительный канал жидкостью и погружают в неё термометр. Проводят не менее трёх измерений.
Абсолютную погрешность измерений температуры At, °C, рассчитывают по формуле
At ~ ti — t3m , (7)
где ti - температура, измеренная расходомером, °C;
t3m - температура, измеренная термометром, °C.
Результаты поверки считают положительными, если значение абсолютной погрешности измерений температуры соответствует требованиям, указанным в описании типа средства измерений.
-
7.3.3 Определение абсолютной погрешности измерений плотности
-
7.3.3.1 Определение допускаемой абсолютной погрешности измерений плотности для расходомеров с пределами абсолютной погрешности измерений плотности Ар > ±1,0 кг/м3 допускается проводить следующими способами:
-
-
1) сравниваются показания плотности, измеренной расходомером, установленным в измерительном канале установки поверочной с табличными значениями плотности для воды в соответствии с ГСССД 2-77 «Таблицы стандартных справочных данных. Вода. Плотность при атмосферном давлении и температурах от 0 до 100 градусов Цельсия», либо с показаниями портативного плотномера, измерительный датчик которого помещён в бак установки поверочной (в максимальной близости от сливной трубы).
-
2) Сравнивают значения плотности жидкости измеренной расходомером со значением плотности этой жидкости измеренной эталонным плотномером или преобразователем плотности и расхода. Проводят не менее трёх измерений.
-
3) измерительный канал расходомера закрывают с одной стороны заглушкой и
поворачивают так, чтобы измерительный канал находился в вертикальном положении. Затем заполняют измерительный канал расходомера жидкостью (водой или продуктом). Фиксируют значения температуры и плотности по индикатору расходомера. После этого жидкость
выливают во вспомогательную ёмкость и погружают в неё датчик портативного плотномера или ареометр. Фиксируют показания. Затем пересчитывают измеренную ареометром
плотность с поправкой на температуру. Для показаний плотномера пересчёт не требуется. Проводят не менее трёх измерений.
Абсолютную погрешность измерений плотности Др, кг/м3, рассчитывают по формуле

(8)
где рэт - плотность, измеренная плотномером (ареометром), кг/м3;
Ризы - плотность, измеренная расходомером, кг/м3.
Результат поверки считается положительным, если значения допускаемой абсолютной погрешности измерений плотности Др, кг/м3, не превышает значений, указанных в описании типа средства измерений.
-
7.3.3.2 Определение допускаемой абсолютной погрешности измерений плотности для расходомеров с пределами абсолютной погрешности измерений плотности Др < ±1,0 кг/м3, настроенных на месте эксплуатации, допускается проводить без демонтажа расходомера из измерительной линии следующими способами:
1) В поддиапазоне измерений плотности от 650 до 1100 кг/м3 (в соответствии с требованиями МИ 2816-2012) сравнивая показания плотности, измеренной расходомером, с результатом измерений плотности рабочим эталоном 1-го разряда по ГОСТ 8.024-2002.
(8).
Абсолютную погрешность измерений плотности Др, кг/м3, рассчитывают по формуле 2) В поддиапазоне измерений плотности свыше 1100 кг/м3 сравнивая показания плотности, измеренной расходомером, с результатом измерений плотности отобранной пробы измеряемой среды аремометром по ГОСТ 18481-81 (рабочим эталоном 1-го разряда по ГОСТ 8.024-2002).
(8).
Абсолютную погрешность измерений плотности Др, кг/м3, рассчитывают по формуле
-
3) В поддиапазоне измерений плотности от 650 до 1100 кг/м3 - по МИ 2816-2012.
Результат поверки считается положительным, если значения допускаемой абсолютной погрешности измерений плотности Др, кг/м3, не превышает значений, указанных в описании типа средства измерений.
-
7.3.4 Определение относительной погрешности измерений массового расхода (массы) с помощью ТПУ или ЭПУ.
При поверке расходомера в составе измерительных систем на месте эксплуатации поверка может быть проведена по специально разработанным для этих систем методикам поверки. В этих случаях выполняются только те действия, которые предусмотрены в данных методиках.
-
7.3.4.1 При определении относительной погрешности измерений массового расхода (массы) с помощью ТПУ проводят следующие операции:
-
7.3.4.1.1 Определение относительной погрешности проводят на значениях расхода, соответствующих значениям: (0,05 -0,15) Gmax, (0,3 - 0,45) Gmax, (0,5 - 0,9) Gmax.
-
Расходомеры с первичными преобразователями, у которых DN>100 мм или с первичными преобразователями OPTIMASS-7000, допускается поверять на расходах 0,3'Gmax , ОД Gmax И 0,05-Gmax.
Примечание - Количество точек может увеличиться или уменьшится, в зависимости от крутизны характеристики расходомера.
В каждой точке проводят не менее трех измерений для рабочего расходомера и не менее пяти для контрольного.
Значения расхода устанавливают с допуском ±10 % от устанавливаемого значения. Последовательность задания расхода выбирают от больших значений к меньшим.
В процессе измерения (движение поршня от одного детектора до другого) фиксируют температуру и давление в поточном преобразователе плотности (ПП), расходомере, на входе и выходе ТПУ, а также плотность продукта. Температуру, давление и плотность продукта принимают равными среднему значению двух измерений: в начале и в конце прохождения поршня. При использовании термометров и манометров с визуальным отсчетом допускается фиксировать температуру и давление один раз за период прохождения поршня. Изменение температуры жидкости в ПП и ТПУ за время одного измерения не должно превышать 0,2 °C.
Результаты измерений заносят в протокол произвольной формы (пример - в Приложении Б).
При применении двунаправленной ТПУ вышеописанные операции проводят и при движении поршня в обратном направлении. При этом пуск поршня в каждом направлении допускается считать за одно измерение, если в свидетельстве о поверке ТПУ указаны метрологические характеристики для каждого направления движения поршня.
-
7.3.4.1.2 Обработка результатов измерений проводят в соответствии с Приложением Д (Часть I).
-
7.3.4.2 При определении относительной погрешности измерений массового расхода (массы) с помощью ЭПУ
Определение относительной погрешности измерений проводят на значениях расхода, соответствующих значениям: (0,05 - 0,15)-Gmax, (0,3 -0,45)-Gmax, (0,5 - 0,9)-Gmax.
Расходомеры с первичными преобразователями, у которых DN >100 мм или с первичными преобразователями OPTIMASS-7000, допускается поверять на расходах 0,3 Gmax , 0,1 ‘ Gmax и 0,05 ■ Gmax .
Примечание - Количество точек может увеличиться или уменьшится, в зависимости от крутизны характеристики расходомера.
Погрешность расходомера определяют путем сличения показаний массы прошедшей через расходомер с массой, взвешенной с помощью поверочной установки.
Количество измерений массы должно проводиться не менее 3 раз.
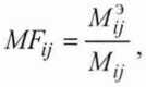
Относительную погрешность расходомера в процентах для каждого измерения рассчитывают формуле
, М*"-М*рм
s"= м™ •100%- (’)Массовый расход жидкости, при котором производилось определение относительной погрешности измерений массы Gm, т/ч, определяется по формуле
G,=^-3600
(Ю)
7]
где М, - масса, по показаниям весов установки, т;
Tj - время налива жидкости на весы по показаниям секундомера, с.
В случае, если требуется определение СКО и коэффициентов коррекции в поддиапазонах расхода поверяемого расходомера то необходимо воспользоваться Приложением Д (Часть II).
Результаты поверки считают положительными, если значение относительной погрешности измерений массового расхода (массы) не превышает значений, указанных в описании типа средства измерений свидетельства об утверждении типа.
-
7.3.5 Определение относительной погрешности измерений массы с использованием установки поверочной массомерной (УПМ).
Поверку расходомера с использованием УПМ осуществляют на расходе, соответствующем условиям эксплуатации расходомера, в составе измерительной системы. Поверку осуществляют с использованием весовой системы из состава УПМ.
Определяют массу налитой/слитой дозы жидкости. Массу дозы жидкости Мдн, вычисляют по формуле
^дн=(м2~мх)-п, (11)
где М - показания весов после операций слива/налива, кг;
Mi - показания весов до начала операций слива/налива, кг;
П - коэффициент, учитывающий необходимую поправку при взвешивании воздуха, вычисляемый по формуле
/у — . Р" Рр
(12)
Рм \Рдн ~~ Рв j
где рдН - плотность жидкости по показаниям расходомера, кг/м3;
рм - плотность материала гирь для поверки весов, кг/м3 (берут из свидетельства о поверке используемых гирь, при отсутствии информации принимается 8000 кг/м3);
рв - плотность воздуха, кг/м3 (из таблицы В.1 Приложения В, ГОСТ 8.400-2013).
Примечание: |
Значение коэффициента П вычисляют до пяти знаков после запятой и округляют до четырех знаков после запятой. |
Значение относительной погрешности измерений массы дм, %, вычисляют формуле г"=:^тг^-100%. аз)
Мдн
где М* - значение массы налитой дозы жидкости по показаниям расходомера, кг;
м дн — значение массы налитой дозы жидкости, вычисленное по результатам взвешивания на весах, кг.
Примечание: |
Значение дм вычисляют до трех знаков после запятой и округляют до двух знаков после запятой. |
Определение относительной погрешности измерений массы повторяют не менее двух раз. Результаты измерений заносят в протокол произвольной формы.
Результаты поверки считают положительными, если значение относительной погрешности измерений массового расхода (массы) не превышает значений, указанных в описании типа средства измерений.
-
7.3.6 Определение относительной погрешности измерений объемного расхода (объема) Определение относительной погрешности измерений объемного расхода (объема) проводят:
-
- на установке поверочной расходомерной в лабораторных условиях;
-
— с применением в качестве эталонов ТПУ, ЭПУ или УПМ без демонтажа на месте эксплуатации.
-
7.3.6.1 Определение относительной погрешности измерений объемного расхода (объема) на установке поверочной расходомерной
При проведении поверки на установке поверочной расходомерной или с использованием
ТПУ поверку проводят на значениях расхода, соответствующих значениям: (0,05 - 0,15)-GnuK, (0,3 — 0,45)'Gmax, (0,5 — 0,9)Gmax.
Расходомеры с первичными преобразователями, у которых DN >100 мм или с первичными преобразователями OPTIMASS-7000, допускается поверять на расходах 0,3 Стах , 0,1’ Gmax И 0,05 ’ Стах •
Требуемое значение расхода устанавливают с допуском ±10 %. Для каждого значения расхода проводят не менее трех измерений.
Определение относительной погрешности измерений объемного расхода (объема) на установке поверочной расходомерной проводится аналогично требованиям п.п. 7.3.1 настоящей методики поверки.
В формулы (1) - (6) подставляются значения объема V, м3 или объемного расхода Q,

Расходомер считают прошедшим поверку, если значение относительной погрешности измерений объемного расхода (объема) не превышает значений, указанных в описании типа средства измерений.
-
7.3.6.2 Определение относительной погрешности измерений объемного расхода (объема) с использованием ТПУ или ЭПУ без демонтажа на месте эксплуатации
При проведении поверки с использованием ТПУ или ЭПУ, определение погрешности проводят на расходе, соответствующем условиям эксплуатации расходомера в составе измерительной системы.
Определение относительной погрешности измерений объемного расхода и объема с использованием ТПУ или ЭПУ проводится аналогично требованиям п.п. 7.3.4., 7.3.5. и 7.3.6. настоящей методики поверки (в формулы подставляются значения объема V, м3 или объемного расхода Q, м3/ч).
Допускается совмещать определение относительной погрешности измерений объемного расхода (объема) с операциями по определению относительной погрешности массового расхода (массы).
Расходомер считают прошедшим поверку, если значение относительной погрешности измерений объемного расхода (объема) не превышает значений, указанных в описании типа средства измерений.
-
7.3.6.3 Определение относительной погрешности объема с использованием УПМ
Поверку расходомера с использованием УПМ осуществляют на номинальном расходе измерительной системы, в состав которой входит расходомер. Поверку осуществляют с использованием мерника из состава УПМ.
Наполняют мерник заданной дозой жидкости. Затем фиксируют значения объема по показаниям расходомера и по мернику. Так же фиксируют температуру в мернике.
Определение относительной погрешности измерений объема жидкости проводят один
раз.
Относительную погрешность вычисляют по формуле
где

м
(14)
Fk-объем по ,м3;
Ум — объем по мернику, м .
Объем по мернику рассчитывается по формуле


(15)
где
У20 - действительный объем мерника при температуре +20 °C, м3.
п - коэффициент, учитывающий изменение вместимости мерника от изменения его температуры, значения которого приведены в таблице Г.1, Приложения Г из ГОСТ 8.400-2013.
Если относительная погрешность измерений объема превысила допустимую погрешность для данного расходомера, то измерение повторяют.
Результат каждого измерения заносят в протокол произвольной формы.
Расходомер считают прошедшим поверку, если значение относительной погрешности измерений объема не превышает значений, указанных в описании типа средства измерений.
8. Оформление результатов поверки
-
8.1 Результаты поверки заносят в протокол произвольной формы (пример приведен в Приложении Б).
-
8.2 При положительных результатах поверки выдается свидетельство о поверке в соответствии с действующими правовыми нормативными документами и (или) делается отметка в паспорте прибора. Знак поверки наносится на свидетельство о поверке и (или) в паспорт.
При поверке на ТПУ или ЭПУ, на обратной стороне свидетельства о поверке указывают:
-
- в каком качестве поверен расходомер (рабочий / контрольный);
-
- значение рассчитанной относительной погрешности;
-
- рабочий диапазон, в котором поверен расходомер;
-
- значение коэффициента коррекции расходомера в рабочем диапазоне.
Коэффициент коррекции заносят в измерительно-вычислительный комплекс (ИВК) СИКН.
-
8.3 Если коэффициент градуировки (коррекции) изменялся при поверке, то его указывают на обратной стороне свидетельства о поверке и (или) в паспорте.
-
8.4 При отрицательных результатах поверки выдают извещение о непригодности средства измерений с указанием причин.
Разаработано:

Н.В. Салунин

Ведущий инженер по метрологии лаборатории №449 ФБУ «Ростест-Москва»
Начальник лаборатории № 449
ФБУ «Ростест-Москва»
ПРИЛОЖЕНИЕ А
(обязательное)
СХЕМА ПОДКЛЮЧЕНИЯ РАСХОДОМЕРА ПРИ ПОВЕРКЕ
Активный импульсный выход
D а |
L | ||||||
и,„, *||- |
D- л |
|и0 |
X R У |
ООО X | |||
1 |
Ri |
Uhom = 24 В (пост.тока); I < 20 мА; RHai мин =и0/1макс.
Пассивный импульсный выход

R = 1.2 кОм/0,5 Вт, требуется только при использовании электронного сумматора (электронный сумматор с внутренним сопротивлением R, более 5 кОм).
Активный токовый выход

1 | ||
1~~ |
1 |
-'1* 1 |
-И |
|ро |
mA |
•4- |
1 |
uext < +32 В; I < 22 мА; Uo < +1,8 В (при I = 22 мА)
ПРИЛОЖЕНИЕ Б
(справочное)
Пример протокола поверки при помощи установки поверочной расходомерной
ПРОТОКОЛ ПОВЕРКИ
№_______________ от «___»___________ 20___г.
Вид поверки: |
Первичная / Периодическая |
Место проведения поверки: | |
Наименование, тип (модификация) средства измерений, регистрационный номер в Госреестре СИ РФ: | |
Основные метрологические характеристики СИ: |
DN, ММ, бдоп, % |
Заводской номер: | |
Методика поверки: |
РТ-МП-6369-449-2019 |
Применяемые эталоны: |
Условия проведения поверки:
Температура окружающего воздуха, °C | |
Относительная влажность воздуха, % | |
Атмосферное давление, кПа | |
Поверочная среда |
Результаты поверки:
Внешний осмотр: Соответствует / Не соответствует
Опробование: Соответствует / Не соответствует
Идентификационные данные:
Номер версии (идентификационный номер) ПО ____________________
Таблица Б.1.1 - Определение метрологических характеристик:
Расход |
Значение расхода (массы, объема) прибора |
Значение расхода (массы, объема) эталона |
Погрешность |
т/ч |
т/ч |
т/ч |
% |
Таблица Б.1.2 - Определение абсолютной погрешности измерений температуры At, °C
Измерение |
Значение температуры измеренное расходомером tj |
Значение температуры измеренное термометром t3 |
Абсолютная погрешность, At |
Значение допускаемой абсолютной погрешности. At |
°C |
°C |
°C |
°C | |
1 | ||||
2 | ||||
3 |
Заключение: Средство измерений пригодно / непригодно к применению
Поверитель:_________________/__________________________I
(роспись) (расшифровка росписи)
Дата:____________________
Пример протокола поверки расходомера по каналу измерений массы при помощи ТПУ и ПП
ПРОТОКОЛ ПОВЕРКИ
№__от «___»__________ 20___г.
расходомера по каналу измерений массы при помощи ТПУ и ПП
Вид поверки: |
Первичная/Периодическая |
Место проведения поверки: | |
Наименование, тип (модификация) средства измерений, регистрационный номер в Госрсестре СИ РФ: | |
Основные метрологические характеристики СИ: |
DN. мм; 5Д0П, %; MF, т/имп |
Заводской номер: | |
Методика поверки: | |
Применяемые эталоны: |
Условия проведения поверки:
Температура окружающего воздуха, °C | |
Относительная влажность воздуха, % | |
Атмосферное давление, кПа | |
Поверочная среда |
Результаты поверки:
Внешний осмотр: Соответствует / Не соответствует
Опробование: Соответствует / Не соответствует
Идентификационные данные: Номер версии (идентификационный номер) Г1О
I аблица Б.2.1 - Исходные данные
Объем калиброван ного участка ТПУ в н.у., Г, м3 |
Внутренний диаметр калиброванн ого участка ТПУ, D, мм |
Толщина стенки калиброван ного участка ТПУ, 5, мм |
Модуль упругости материала стенок ТПУ, Е, МПа |
Коэффициент линейного расширения ТПУ а, 1/°С |
Предел допускаемой абсолютной погрешности температуры, ^ТПУ , °C |
11редел допускаемой абсолютной погрешности температуры, ^пп, °C |
Предел допускаемой абсолютной погрешности плотности, Лрпп, кг/м’ |
Коэффициент сжимаемости у/у, 1/МПа |
Стабильность нуля, ZS, т/ч |
Доверительная граница суммарной составляющей погрешности ТПУ, 0X0, % |
Доверительная граница относительной погрешности вместимости ТПУ, ®vo, % |
Таблица Б.2.2 - Результаты измерений и вычислений
№ изм. |
Границы расхода С/у, т/ч |
Время проведения измерений, , с |
Температур а продукта в ПП °C |
Температур а продукта в ТПУ, hnyjf, °C |
Давление продукта в ТПУ, Prnyjn МПа |
Давление продукта в ПП, Р/7/7/7» МПа |
Количество импульсов расходомер ов Л/,,, имп |
Объем калибровочног о участка ТГ1У в условиях поверки Vj„ м 5 |
Значение плотности продукта при температуре и давлении в 11П р,/3 кг/м' |
Масса продукта, измеренная расходомером т |
Масса продукта, вычисленная по измерениям ТПУ и ПП Moji, т |
Продолжение Таблицы Б.2.3 - Результаты измерений и вычислений
Коэффициент, учитывающий разность температур продукта в ТПУ и ПП, |
Коэффициент, учитывающий разность давления продукта в ТПУ и ПП, Kpacij |
Коэффициент, учитывающий влияние температуры продукта на рабочий объем ТПУ, Ktij |
Коэффициент, учитывающий влияние давления продукта на рабочий объем ТПУ, Kpij |
Коэффициент объемного расширения продукта, /9", !/°С |
Коэффициент коррекции расходомера MF,,, т/имп |
Таблица Б.2.4 - Результаты поверки в точках рабочего диапазона измерений
№ точ. |
Расход ву-ой точке т/ч |
Коэффициент коррекции рабочего расходомера MFt, т/имп |
Количество измерений в /-ой точке расхода, |
Среднеквадратичное отклонение результата определения коэффициента коррекции ву-ой точке расхода, 5'(A/F)i, % |
Квантиль распределения Стьюдснта, to.95 |
Заключение: Средство измерений пригодно/непригодно к применению
Ф.И.О. и подпись лица, проводившего поверку
Дата проведения поверки
Пример протокола поверки расходомера по каналу измерений массы при помощи ЭГ1У
ПРОТОКОЛ
№___________от «___»___________ 20___г.
Вид поверки: |
Первичная / Периодическая |
Место проведения поверки: | |
Наименование, тип (модификация) средства измерений, регистрационный номер в Госреестре СИ РФ: | |
Основные метрологические характеристики СИ: |
DN, мм; 5Доп, %; MF, т/имп |
Заводской номер: | |
Методика поверки: | |
Применяемые эталоны: |
Условия проведения поверки:
Температура окружающего воздуха, °C | |
Относительная влажность воздуха, % | |
Атмосферное давление, кПа | |
Поверочная среда |
Результаты поверки:
Внешний осмотр: Соответствует / Не соответствует
Опробование: Соответствует / Не соответствует
Идентификационные данные: Номер версии (идентификационный номер) ПО ______________
Таблица Б.3.1 - Результаты измерений
FU3M |
Qih т/ч |
Т'измч С |
M-,ih Т |
МрЦ, т |
Ж/ |
Таблица Б.3.2 - Результаты поверки
№ точки расхода |
Q, т/ч |
MFj |
Sj, % |
1 | |||
2 | |||
3 |
Продолжение таблицы Б.3.2
Диапазон, т/ч |
К, г/с/мкс |
^ЭПУ, % |
69 % 'и |
% |
(?/>, % |
% |
3 а к л ю ч с 11 и е: Средство измерений пригодно/непригодно к применению
Ф.И.О. и подпись лица, проводившего поверку _________________
Дата проведения поверки ________________
Коэффициент коррекции расхода.
Коррекцию коэффициента расхода проводят при расходе продукта, соответствующем условиям эксплуатации расходомера.
Проводится не менее 2-х измерений. Показания расходомера сравниваются с показаниями эталона. Выбирается значение с максимальным отклонением от установленного расхода, без учета знака. В случае, если значение превышает допустимую погрешность расходомера, то вносят изменения в коэффициент коррекции расхода в подменю С 1.1.4 «Flow correction».
Коэффициент коррекции расходомера в рабочем диапазоне измерений массового расхода MF, %, вычисляют по формуле:

(В.1)
где A/FycT - коэффициент коррекции, установленный в расходомер на момент проведения поверки, %,;
MF, - поправка к показаниям массового расхода, которая вносится со знаком, противоположным знаку полученной в ходе измерений относительной погрешности 8,.
Например, если массовый расходомер завышает показания массового расхода с погрешностью +0.1 %. а существующая поправка в подменю С 1.1.4 равна +0.05 %, то значение поправочного коэффициента С1.1.4 будет определено как:
MF= (+0.05) -0,1 =-0.05 ,
(В.2)
Значение -0,05 % должно быть внесено в подменю С 1.1.4 «Flow correction» (Коррекция расхода).
ПРИЛОЖЕНИЕ Г
(обязательное)
Значения коэффициентов расширения и модуля упругости материалов ТГ1У. Квантили распределения Стьюдента.
Коэффициенты объёмного расширения и сжимаемости нефтепродуктов
Таблица Г.1. - Значения коэффициента линейного а, квадратичного ак] расширения и модуля упругости Е материала ТПУ
Материал |
а, 1/°С |
ак1, 1/°С |
Е, МПа |
Сталь углеродистая |
1,12-Ю’5 |
2,23-10'5 |
2,07-105 |
Сталь легированная |
1,10-КГ5 |
2,20-10’5 |
2,00-105 |
Сталь нержавеющая 304 |
1,73-10'5 |
3,46-10'5 |
1,93-105 |
Сталь нержавеющая 316 |
1,59-10'5 |
3,18-10'5 |
1,93-105 |
Сталь нержавеющая 17-4 |
1,08-10'5 |
2,16-10'5 |
1,97-105 |
Инвар |
1,44-10’6 | ||
Примечание - Если в паспорте ТПУ приведены значения а и Е, то используют паспортные значения. |
Таблица Г.2. - Квантиль распределения Стьюдента для tp^s
П-1 |
10 |
И |
12 |
13 |
14 |
15 |
16 |
17 |
18 |
19 |
20 |
0 .95 |
2,23 |
2,20 |
2,18 |
2,16 |
2,15 |
2,13 |
2,12 |
2,11 |
2.10 |
2,09 |
2,08 |
П-1 |
21 |
22 |
23 |
24 |
25 |
26 |
27 |
28 |
29 |
30 |
00 |
‘ 0,95 |
2.08 |
2,07 |
2,07 |
2,06 |
2,06 |
2,06 |
2,05 |
2,05 |
2.05 |
2,04 |
1,96 |
Таблица Г.З. - Квантиль распределения Стьюдента для (рдд
п-1 |
10 |
11 |
12 |
13 |
14 |
15 |
* 0.99 |
3,17 |
3,11 |
3,06 |
3,01 |
2,98 |
2,95 |
Таблица Г.4. - 3 |
начения коэффициента объёмного расширения нефтепродукта | ||||
д кг/ЧГ |
д 1/°с |
р, кг/м3 |
Д 1/°С |
д кг/м3 |
Д 1/°С |
700...719 |
0,001255 |
800...819 |
0,000937 |
900...919 |
0,000688 |
720...739 |
0,001183 |
820...839 |
0,000882 |
920...939 |
0,000645 |
740...759 |
0,001118 |
840...859 |
0,000831 |
940...959 |
0,000604 |
760...779 |
0,001054 |
860...879 |
0,000782 |
960...979 |
0,000564 |
780...799 |
0,000995 |
880...899 |
0,000734 |
980...1000 |
0,000526 |
Таблица Г.5. - Значения коэффициента сжимаемости нефтепродукта
Наименование нефтепродукта |
Коэффициент сжимаемости F, 1/МПа |
Бензин |
1,0-10'3 |
Керосин |
0,7-10’3 |
Дизельное топливо |
0.65-10’3 |
ПРИЛОЖЕНИЕ Д
(обязательное)
Часть I. Обработка результатов измерений при определении относительной погрешности измерений массового расхода (массы) комплектом ТПУ и поточного плотномера
Массу рабочей жидкости, определенную с помощью средств поверки за время /-го измерения в j-ой точке рабочего диапазона измерений массового расхода Mnyji, т, вычисляют по формулам
PJi ’ PnUji |
CTI ■ CPI 1 nyji nyji | Q -3 СТЬПпр’СРЬпПр |
(Д.1) | |
Xtji = |
1 + 3 • at |
• (/riyji - 20), |
(Д.2) |
P... • D | |||
= |
1 + (1,25- |
-ft)- 1 E S ’ |
(Д.З) |
t |
t НхПУр |
+ ВыхПУр |
(Д.4) |
1 ПУр |
2 | ||
Р г ПУр |
P 1 ВхПУ/i |
+ p 1 ВыхПУр 2 ’ |
(Д-5) |
где Ео - вместимость калиброванного участка поверочной установки (Г1У) при стандартных условиях (/ = 20 °C и Р = 0 МПа), м3;
/Ctii - коэффициент, учитывающий влияние температуры на вместимость ПУ, для /-го измерения в /-ой точке рабочего диапазона измерений массового расхода;
Xpji - коэффициент, учитывающий влияние давления на вместимость ПУ, для /-го измерения в /-ой точке рабочего диапазона измерений массового расхода;
Pnnji - плотность рабочей жидкости за время /-го измерения в /-ой точке рабочего диапазона измерений массового расхода (по поточному плотномеру), кг/м3;
C7Zny.ji- коэффициент, учитывающий влияние температуры на объем рабочей жидкости, определенный для температуры рабочей жидкости в ПУ для /-го измерения в у-ой точке рабочего диапазона измерений массового расхода (вычисляют по Приложению Е);
CPZnyji - коэффициент, учитывающий влияние давления на объем рабочей жидкости, определенный для давления рабочей жидкости в ПУ для/-го измерения в /-ой точке рабочего диапазона измерений массового расхода (вычисляют по Приложению Е);
CTLniiji- коэффициент, учитывающий влияние температуры на объем рабочей жидкости, определенный для температуры рабочей жидкости в ПГ1 для/-го измерения в/-ой точке рабочего диапазона измерений массового расхода (вычисляют по Приложению Е);
CPLnuji - коэффициент, учитывающий влияние давления на объем рабочей жидкости, определенный для давления рабочей жидкости в ПП для /-го измерения в /-ой точке рабочего диапазона измерений массового расхода (вычисляют по Приложению Е);
at - коэффициент линейного расширения материала стенок калиброванного участка ПУ (из технической документации на ПУ или определяют Приложению Г), 1/°С;
/пун - среднее значение температуры рабочей жидкости в Г1У за время /-го измерения в /-ой точке рабочего диапазона измерений массового расхода, °C;
texnyji, fewxnyji - температура рабочей жидкости на входе и выходе ПУ за время /-го измерения в /-ой точке рабочего диапазона измерений массового расхода, °C;
Aiyji - среднее значение избыточного давления рабочей жидкости в ПУ за время /-го измерения в /-ой точке рабочего диапазона измерений массового расхода, МПа;
/’вхпуп, /’выхпур - давление рабочей жидкости на входе и выходе ПУ за время /-го измерения в /-ой точке рабочего диапазона измерений массового расхода, МПа;
// - коэффициент Пуассона (для материала стенок большинства ТПУ (стали) принят равным 0,3);
D - внутренний диаметр калиброванного участка ПУ (из технической документации на
ТПУ), мм;
S - толщина стенок калиброванного участка ПУ (из технической документации на ТПУ), мм;
Е - модуль упругости материала стенок калиброванного участка ПУ (из технической документации на ПУ или определяют по Приложению Г), МПа.
Вычисление массы рабочей жидкости допускается проводить согласно алгоритму, реализованному в измерительно-вычислительном комплексе (ИВК), в том числе вычислителем расхода или измерительном контроллере, прошедшем испытания для целей утверждения типа.
Массовый расход рабочей жидкости через расходомер за время z-го измерения в j-ой точке рабочего диапазона измерений массового расхода Gji. т/ч, вычисляют по формуле

(Д.6)
где Л/цу|| - масса рабочей жидкости, определенная с помощью средств поверки за время /-го измерения в j-ой точке рабочего диапазона измерений массового расхода, т;
- время /-го измерения в j-ой точке рабочего диапазона измерений массового расхода,
с.
Массовый расход рабочей жидкости через расходомер в /-ой точке рабочего диапазона измерений массового расхода Gj, т/ч, вычисляют по формуле

и

п
(Д.7)
где Gjj - массовый расход рабочей жидкости через расходомер за время /-го измерения в /'-ой точке рабочего диапазона измерений массового расхода, т/ч;
/7j - количество измерений в /-ой точке рабочего диапазона измерений массового расхода.
Нижний и верхний предел рабочего диапазона измерений массового расхода Gmjn, Gmax, т/ч, вычисляют по формулам где Gj - массовый расход рабочей жидкости через расходомер в /-ой точке рабочего диапазона измерений массового расхода, т/ч.
(Д.8)

Массу рабочей жидкости, определенную с помощью расходомер за время /-го измерения в j-ой точке рабочего диапазона измерений массового расхода Л/у, т, вычисляют по формуле

(Д.9)
где Ур - количество импульсов от расходомера за время /-го измерения в j-ой точке рабочего диапазона измерений массового расхода, имп;
Кпм~ коэффициент преобразования расходомера, имп/т.
1 радуировочный коэффициент расходомера в рабочем диапазоне измерений массового расхода ЛУ/, г/с/мкс вычисляют по формуле где Км\ - среднее значение градуировочного коэффициента расходомера в /-ой точке рабочего диапазона измерений массового расхода, г/с/мкс;




(Д.Ю)
(Д.Н)
т - количество точек рабочего диапазона измерений массового расхода;
K.v/i, - значение градуировочного коэффициента расходомера для /-го измерения в /-ой точке рабочего диапазона измерений массового расхода, г/с/мкс;
Hj - количество измерений в /-ой точке рабочего диапазона измерений массового расхода;
Мцу}\ - масса рабочей жидкости, определенная с помощью средств поверки за время /-го измерения в /-ой точке рабочего диапазона измерений массового расхода, т;
Л/jj - масса рабочей жидкости, определенная с помощью поверяемого расходомера за время /-го измерения ву-ой точке рабочего диапазона измерений массового расхода, т;
AGv/yCT- градуировочный коэффициент, установленный в поверяемом расходомере на момент проведения поверки, г/с/мкс.
Коэффициент коррекции расходомера в рабочем диапазоне измерений массового расхода MF, вычисляют по формуле
(Д-13)
(Д-14)
MF = —---
т
Z MF,.MFI ----

(Д.15)
где - среднее значение коэффициента коррекции расходомера в у-ой точке рабочего
диапазона измерений массового расхода;
т - количество точек рабочего диапазона измерений массового расхода;
MF]{ — значение коэффициента коррекции расходомера для /-го измерения в у-ой точке рабочего диапазона измерений массового расхода;
/7, - количество измерений в у-ой точке рабочего диапазона измерений массового расхода;
Мцу\\ - масса рабочей жидкости, определенная с помощью средств поверки за время /’-го измерения в /-ой точке рабочего диапазона измерений массового расхода, т;
Л/jj - масса рабочей жидкости, определенная с помощью расходомера за время /-го измерения в /-ой точке рабочего диапазона измерений массового расхода, т;
MFycr - коэффициент коррекции, установленный в расходомер на момент проведения поверки.
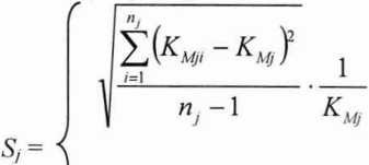
СКО результатов измерений в у-ой расхода Sj, %, вычисляют по формуле
точке рабочего диапазона измерений массового

1QQ при определении Км
<=1_______________
"у"1
(Д.16)
1 100 при определении MF
MFj
Проверяют выполнение условия
Sj < 0,05 %,
(Д.17)
При выполнении данного условия продолжают обработку результатов измерений
При невыполнении условия (Д.17) выявляют наличие промахов в полученных результатах вычислений, согласно Приложению Ж. Выявленный промах исключают и проводят дополнительное измерение. При отсутствии промахов выясняют и устраняют обуславливающие невыполнение условия (Д.17) и повторно проводят измерения
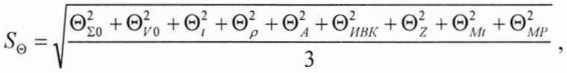
Границу неисключенной систематической погрешности расходомера диапазоне измерений расхода, 0, %, вычисляют по формулам
О = 1,1J0L + 0,2o + 0,2+ +©k +0J +OL, ,
причины.
рабочем
(Д.18)
(Д.19)
где
Д11ах = max(/?ji);
е _
Р ПП min
•100
>
(Д.20)
где
Г
max
Mj м
при определении Ку
(Д-21)
0Z =
max
MF
• 100
при определении MF
0 для расходомера с коррекцией стабильности нуля
(Д.22)
пип
для расходомера без коррекции стабильности нуля ©ивк = <$ивк, |
&1ддо @ном -100
mm
(Д.23)
(Д-24)
\t = max[(/niax - /п), (/п - /min)],
0 для расходомера с коррекцией по давлению
Ю ’ <5рдоп • АГ* для расходомера без коррекции по давлению
(Д.25)
(Д.26)
ЛР = max[(Pmax - Рп), (Л1 - Pmin)], (Д.27)
где 0io~ граница суммарной неисключенной систематической погрешности ПУ (из свидетельства о поверке ПУ; для ПУ с двумя парами детекторов берут наибольшее значение), %;
0vo_ граница неисключенной систематической погрешности определения среднего значения вместимости ПУ (из свидетельства о поверке ПУ; для ПУ с двумя парами детекторов берут наибольшее значение), %;
0i — граница неисключенной систематической погрешности. обусловленной погрешностью преобразователей температуры при измерениях температуры рабочей жидкости в ПУ и ПГ1, %;
0Р — граница неисключенной систематической погрешности, обусловленной
погрешностью ПП, %;
©а — граница неисключенной систематической погрешности, обусловленной
аппроксимацией градуировочной характеристики расходомера в рабочем диапазоне измерений массового расхода, %;
€>ивк- граница неисключенной систематической погрешности, обусловленной погрешностью ИВК. %;
^ивк - предел допустимой относительной погрешности преобразования входных электрических сигналов в значение коэффициента преобразования расходомера ИВК (из свидетельства о поверке ИВК), %;
©z - граница неисключенной систематической погрешности, обусловленной нестабильностью нуля расходомера, %;
©Mt - граница неисключенной систематической погрешности, обусловленной влиянием отклонения температуры рабочей жидкости в условиях эксплуатации расходомера от температуры рабочей жидкости при поверке, %;
©мр — граница неисключенной систематической погрешности, обусловленной влиянием отклонения давления рабочей жидкости в условиях эксплуатации расходомера от давления рабочей жидкости при поверке, %;
Дшах - максимальное значение коэффициента объемного расширения рабочей жидкости за время поверки, 1/°С;
Р\\ - коэффициент объемного расширения рабочей жидкости для /-го измерения в /-ой точке рабочего диапазона измерений массового расхода (определяют по МИ 2632-2001 «ГСИ. Плотность нефти и нефтепродуктов и коэффициенты объемного расширения и сжимаемости. Методы и программа расчета.», ГНМЦ ГУП «ВНИИМ им. Д.И.Менделеева», 2001 г.; Р 50.2.076-2010 «ГСИ. Плотность нефти и нефтепродуктов. Методы расчета. Программа и таблицы приведения.», ФГУП ВНИИР, 2010 г. или Приложению Е), 1 /°C;
Д/цу- предел допускаемой абсолютной погрешности преобразователей температуры, установленных в ПУ (из свидетельства о поверке преобразователя температуры), °C;
А/пп — предел допускаемой абсолютной погрешности преобразователя температуры, установленного около ПП (из свидетельства о поверке преобразователя температуры), °C;
Дрпп- предел допускаемой абсолютной погрешности ПП (из свидетельства о поверке преобразователя плотности), кг/м3;
pnrimin - минимальное значение плотности рабочей жидкости за время поверки, кг/м3;
Рппн~ плотность рабочей жидкости за время /-го измерения в у-ой точке рабочего диапазона измерений массового расхода, кг/м3;
ZS - стабильность нуля расходомера (из технической документации на расходомер), т/ч;
Gmin - нижний предел рабочего диапазона измерений массового расхода поверяемого расходомера, т/ч;
йлоп - значение дополнительной погрешности, обусловленной отклонением температуры рабочей жидкости при эксплуатации расходомера от температуры рабочей жидкости при поверке (из описания типа или технической документации на расходомер), %/°С;
GHOM — номинальное значение массового расхода в расходомер (из технической документации на расходомер), т/ч;
Д/ - максимальное отклонение температуры рабочей жидкости при эксплуатации расходомера от температуры рабочей жидкости при поверке, °C;
/п - среднее значение температуры рабочей жидкости при поверке (допускается использовать среднее значение температуры рабочей жидкости в ТПУ). °C;
/min, /max- нижний и верхний предел рабочего диапазона температур рабочей жидкости при эксплуатации расходомера, °C;
^Рдоп- значение дополнительной погрешности, обусловленной отклонением давления рабочей жидкости при эксплуатации расходомера от давления рабочей жидкости при поверке (из описания типа или технической документации на расходомер), %/0,1 МПа:
ДР - максимальное отклонение давления рабочей жидкости при эксплуатации расходомера от давления рабочей жидкости при поверке, МПа;
Рmin, Ршах — нижний и верхний предел рабочего диапазона давлений рабочей жидкости при эксплуатации расходомера, МПа;
Рц - среднее значение давления рабочей жидкости при поверке (допускается использовать среднее значение давления рабочей жидкости в ТПУ), МПа.
СКО среднего значения результатов измерения в /-ой точке рабочего диапазона измерений массового расхода Soj, %< вычисляют по формуле
5'”'=Х’ (Д-28)
где S, - СКО результатов измерений в j-ой точке рабочего диапазона измерений массового расхода, %;
/7j - количество измерений в J-ой точке рабочего диапазона измерений массового расхода.
Границу случайной погрешности расходомера в рабочем диапазоне измерений массового расхода (при доверительной вероятности Р = 0,95) е, %, вычисляют по формулам
е = max(£j), (Д.29)
где q - граница случайной погрешности в /-ой точке рабочего диапазона. %;
£j = *0,95j • ‘S'oj, (Д-30)
/o,95j - квантиль распределения Стьюдента для количества измерений щ в /-ой точке рабочего диапазона измерений массового расхода (определяют по таблице Г.2, Приложения Г).
СКО среднего значения результатов измерения, в рабочем диапазоне измерений массового расхода So, принимают равным значению СКО среднего значения результатов измерения в точке рабочего диапазона измерений массового расхода с максимальным значением границы случайной погрешности £].
Границу относительной погрешности расходомера в рабочем диапазоне измерений массового расхода д', %, определяют по формулам
г 0
£ если V” < 0’8
о
0
3 = < К ■ Sv если 0,8 < V- < 8
° о
0_
0 если е >8 о
С
(Д.31)
(Д.32)
(Д.ЗЗ)

(Д.34)
£ + 0 ^0 + *5©

где е - граница случайной погрешности расходомера в рабочем диапазоне измерений массового расхода, %;
0 - граница неисключенной систематической погрешности расходомера в рабочем диапазоне измерений массового расхода, %;
К - коэффициент, зависящий от соотношения случайной и неисключенной систематической погрешностей;
Sv - суммарное СКО результата измерений, %;
S© - СКО суммы неисключенных систематических погрешностей. %;
So - СКО среднего значения результатов измерений в рабочем диапазоне измерений массового расхода, %.
Результаты поверки считают положительными и расходомер допускается к применению в качестве:
-
- рабочего при выполнении условия 3 < 0,25 %;
-
- контрольного при выполнении условия 3 < 0,2 %.
Значение СКО среднего значения результатов измерений в рабочем диапазоне измерений массового расхода^, %, не должно превышать значения, приведенного в (Д.17).
При невыполнении этих условий поверку прекращают до выяснения и устранения причин, проводят корректировку «нулевой точки» и коэффициента коррекции расходомера.
Часть II. Обработка результатов измерений при определении относительной погрешности измерений массового расхода (массы) при помощи ЭПУ
Коэффициент преобразования поверяемого расходомера (£пм, имп/т), соответствующий максимальному массовому расходу, вычисляют по формуле
/max-3600
Стах ’
max
(Д.35)
где /тах - максимальная частота выходного сигнала поверяемого расходомера, соответствующая максимальному массовому расходу поверяемого расходомера, Гц, (/max = 10000 Гц);
С?тах - максимальный массовый расход поверяемого расходомера, т/ч.
Коэффициент коррекции поверяемого расходомера (MFjj) при /-ом измерении в у'-ой точке рабочего диапазона измерений массового расхода вычисляют по формуле

(Д.36)
Среднее значение коэффициента коррекции поверяемого расходомера (MF/) ву-ой точке рабочего диапазона измерений массового расхода вычисляют по формуле

(Д.37)
где
п - количество измерений в у-ой точке рабочего диапазона измерений массового расхода (т? > 5).
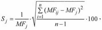
СКО результатов измерений (S), %) ву-ой точке рабочего диапазона измерений массового расхода вычисляют по формуле

(Д.38)
Проверяют выполнение следующего условия
S, < 0,05 % (Д.39)
При невыполнении условия (Д.39) выявляют наличие грубых промахов в полученных результатах измерений. При отсутствии грубых промахов проверяют правильность монтажа и подключения поверяемого расходомера и производят повторную установку нуля. Если же условие (Д.39) снова не выполняется, то поверяемый расходомер подлежит профилактическому осмотру.
Грубые промахи в полученных результатах измерений выявляют в соответствии с Приложением Ж.
Коэффициент коррекции поверяемого расходомера (MF) в рабочем диапазоне измерений массового расхода вычисляют по формуле
(Д.40)
где т - количество точек рабочего диапазона измерений массового расхода.
Градуировочный коэффициент поверяемого расходомера (по результатам поверки), К'м г/с/мкс, вычисляют по формуле
/СМ = А-М-Ж (Д.41)
где Км - градуировочный коэффициент поверяемого расходомера, установленный до проведения поверки, г/с/мкс.
Границы случайной составляющей погрешности поверяемого расходомера (е,, %) в /-ой точке рабочего диапазона измерений массового расхода вычисляют по формуле
Sj
SJ -'0.95'~i= , (Д-42)
л/w
где /о,95 - квантиль распределения Стьюдента при доверительной вероятности Р = 0,95 (Приложение Г).
Границы систематической составляющей погрешности поверяемого расходомера (0/5 %), обусловленной усреднением в диапазоне измерений коэффициента коррекции, в j-ой точке рабочего диапазона измерений массового расхода вычисляют по формуле
MF:-MF
0,- =----J---100
(Д-43)
J MF
Границы дополнительной погрешности (0,, %). обусловленной изменением температуры рабочей жидкости при последующей эксплуатации поверяемого расходомера в составе СИКН,
вычисляют по формуле |
п , (Д-44) wuiwmin |
где h - дополнительная погрешность по температуре, %/°С, (из описания типа на поверяемый расходомер);
6’ном - номинальный массовый расход поверяемого расходомера, т/ч, (из технической документации на поверяемый расходомер);
О’изм.ппп - минимальное значение измеряемого массового расхода поверяемым расходомером, т/ч;
Л, - максимально возможное изменение температуры рабочей жидкости при последующей эксплуатации поверяемого расходомера в составе СИКН, °C.
Максимально возможное изменение температуры (А,, °C) рабочей жидкости при последующей эксплуатации поверяемого расходомера в составе СИКН определяют по формуле Д/ ~ рР.тах “Д||, (Д-45)
где /ртах - максимальное значение температуры рабочей жидкости при последующей эксплуатации поверяемого расходомера в составе СИКН, °C;
/п - среднее значение температуры поверочной (рабочей) жидкости при проведении поверки СРМ. °C.
При отсутствии коррекции по давлению границы дополнительной погрешности (0Р, %), обусловленной изменением давления рабочей жидкости при последующей эксплуатации поверяемого расходомера в составе СИКН, определяют по формуле
0д=ЮоАр, (Д.46)
где с - дополнительная погрешность по давлению, %, 0,1 МПа, (из описания типа на поверяемый расходомер);
Ар — максимально возможное изменение давления рабочей жидкости при последующей эксплуатации поверяемого расходомера в составе СИКН, МПа.
Максимально возможное изменение давления (А/?, МПа) рабочей жидкости при последующей эксплуатации поверяемого расходомера в составе СИКН определяют по формуле =|7>тах _/п|, (Д.47)
где Л’тах - максимальное значение давления рабочей жидкости при последующей эксплуатации поверяемого расходомера в составе СИКН, МПа:
Рп - среднее значение давления поверочной (рабочей) жидкости при проведении поверки расходомера, МПа.
Относительную погрешность поверяемого расходомера в рабочем диапазоне измерений массового расхода (8М, %), вычисляют по формуле
5М = М • + +®Jmax + ®N + 8у max , (Д-48)
где 6Э - пределы допускаемой относительной погрешности эталонного расходомера, %;
©/max - границы систематической составляющей погрешности поверяемого расходомера, обусловленной усреднением в коэффициента коррекции и имеющей максимальное значение в рабочем диапазоне измерений массового расхода, %;
О\ - пределы допускаемой относительной погрешности преобразования входных сигналов в значение массы, %. (0у = ±0,001 %);
С/шах - границы случайной составляющей погрешности поверяемого расходомера, имеющей максимальное значение в рабочем диапазоне измерений массового расхода, %.
Относительную погрешность поверяемого расходомера в рабочем диапазоне измерений массового расхода (8М, %) при использовании коррекции по давлению вычисляют по формуле
§м “ М ’ + 0/ 4-0ymax + ®д/ 4- бутах , (Д.49)
Результаты поверки расходомера считают положительными и он допускается к эксплуатации в качестве «рабочего», если выполняется следующее условие
8М < 0,25 %, } (Д.50)
При отсутствии коррекции по давлению масса рабочей жидкости 'ч> т), измеренная расходомером, при /-ом измерении в у-ой точке рабочего диапазона измерений массового расхода с учетом изменения давления рабочей жидкости при последующей эксплуатации расходомера в составе СИКН определяют по формуле
Л/у = Му •(1 + 10-с-(Р^.-Рп))^ (Д.51)
где Р - давление рабочей жидкости при /-ом измерении в у-ой точке рабочего диапазона измерений массового расхода при эксплуатации расходомера в составе СИКН, МПа;
Рп - давление поверочной (рабочей) жидкости при проведении поверки расходомера с помощью эталонного расходомера, МПа.
По результатам поверки в преобразователь MFC вводят градуировочный коэффициент (/См), определенный по формуле (Д.41).
Определение коэффициентов CTL и CPL
Е.1 Определение коэффициента CTL
Значение коэффициента CTL, учитывающего влияние температуры на объем продукта для диапазона плотности продукта (при t = +15°CHP = 0 МПа) от 611 до 1164 кг/м3 определяют по формулам
(Е.1)
(Е.2)
CTL = ехр[-а|5 • At• (1 + 0,8 • • At)],
_ KQ +К} ■ /?15
U15 “ 2
At = t — 15,
(Е.З)
где pis - значение плотности продукта при t = +15 °C и Р = 0 МПа, кг/м3; t - значение температуры продукта, °C;
Ц]5 - значение коэффициента объемного расширения продукта при t = +15 °C и Р = 0 МПа, 1/°С;
Ко, К| - коэффициенты выбираются из таблицы Е.1.
Таблица Е.1 - Значения коэффициентов Кр и К| в зависимости от типа продукта
Тип продукта |
£15, КГ/М3 |
Ко |
К! |
Нефть |
611...1164 |
613.97226 |
0.00000 |
Бензины |
611...779 |
346,42278 |
0.43884 |
Реактивные топлива |
779...839 |
594,54180 |
0,00000 |
Нефтяные топлива |
839...1164 |
186,96960 |
0,48618 |
Примечание - Для нефтепродуктов коэффициенты званию типа продукта, а в зависимости от значения р\$. |
<о, К] выбираются не по на- |
Е.2 Определение коэффициента CPL
Значение коэффициента CPL, учитывающего влияние давления на объем продукта для диапазона плотности продукта (при t = +15°CHP = 0 МПа) от 611 до 1164 кг/м3 определяют по формулам
(Е.4)
(Е.5)
1 -6-РЮ ’
-1.62080+ 0.00021592-/ +
0.87096-106 4.2092-103 •z'l
2 2
Р12 Р12 7
где / - значение температуры продукта, °C;
Р - значение избыточного давления продукта, МПа;
10 - коэффициент перевода единиц измерения давления МПа в бар.
Е.З Определение коэффициента р Значение коэффициента объемного расширения рабочей жидкости, р, 1/°С:
£ = als + l,6-a152-(Z-15), (Е.6)
где ct]5 - значение коэффициента объемного расширения рабочей жидкости при +15 °C, 1/°С;
t - значение температуры рабочей жидкости, при которой определяется коэффициент объемного расширения рабочей жидкости, °C.
Е.4 Определение плотности продукта при стандартных условиях
Значение плотности продукта при t = +15°CHP = 0 МПа, р 15, кг/м? определяют по формуле
Рпп

(Е.7)
где рпп - значение плотности продукта в поточном плотномере (ПП), кг/м3;
С77,пп - коэффициент, учитывающий влияние температуры на объем продукта, определенный для /пп и p\s;
CPLnn - коэффициент, учитывающий влияние давления на объем продукта, определенный для /Пп , Ain и рц.
Для определения р\5 необходимо определить значения СТЛпп и CPZnn, а для определения CTLm и С’РЛцп, в свою очередь, необходимо определить значение плотности при стандартных условиях p\s- Поэтому значение pis определяют методом последовательного приближения:
-
1) Определяют значения С77,пп(1) и CPZnn(i), принимая значение р\$ равным значению рцп-
-
2) Определяют значения pi5(1), кг/м3:
Р пп
(Е.8)
-
3) Определяют значения С77,пп(2) и С’Р1пп(2), принимая значение р\$ равным значению pi5(i).
-
4) Определяют значение pi5(2), кг/м3:
(Е.9)
-
5) Аналогично пунктам (3) и (4), определяют значения С77,пп(0> СР£пп(0 и Pi5(i) для /-го цикла вычислений и проверяют выполнение условия:
(Е.10)
где pi5(i), />i5(i-i) - значения pis, определенные, соответственно, за последний и предпоследний цикл вычислений, кг/м3.
Процесс вычислений продолжают до выполнения данного условия. За значение pis принимают последнее значение pi5(i).
ПРИЛОЖЕНИЕ Ж
(обязательное)
Методика анализа результатов измерений на наличие промахов
Проверка результатов измерений на один промах по критерию Граббса при определении метрологических характеристик расходомера СКО результатов измерений в /-ой точке рабочего диапазона измерений массового расхода, Sk\ определяют по формуле
СКО результатов измерений в /-ой точке рабочего диапазона измерений массового расхода, 5^ определяют по формуле
/=1 |
при определении Км | |||
S*i = |
1 |
(Ж.1) | ||
/=1 |
при определении MF | |||
1 1 |
"у"1 |
где Kv/j - среднее значение градуировочного коэффициента расходомера в /-ой точке рабочего диапазона измерений массового расхода, г/с/мкс;
Kv/ji - значение градуировочного коэффициента расходомера для z-ro измерения ву-ой точке рабочего диапазона измерений массового расхода, г/с/мкс;
MF} - среднее значение коэффициента коррекции расходомера в /-ой точке рабочего диапазона измерений массового расхода;
A/Fp- значение коэффициента коррекции расходомера для /-го измерения в /-ой точке рабочего диапазона измерений массового расхода;
п}- количество измерений в /-ой точке рабочего диапазона измерений массового расхода.
Примечание - При S*J < О ,001 принимаем S*j = 0,
Наиболее выделяющееся соотношение U:
max
max
K-Mji K-Mj ^kj
MFtl - MFf
при определении Км
У
(Ж.2)
при определении MF
У
где Км\ - среднее значение градуировочного коэффициента расходомера в /-ой точке рабочего диапазона измерений массового расхода, г/с/мкс;
Kwji - значение градуировочного коэффициента расходомера для /-го измерения в /-ой точке рабочего диапазона измерений массового расхода, г/с/мкс;
MF\ - среднее значение коэффициента коррекции расходомера ву-ой точке рабочего диапазона измерений массового расхода;
A/Fjj - значение коэффициента коррекции расходомера для /-го измерения ву-ой
точке рабочего диапазона измерений массового расхода;
Skj ~ СКО результатов измерений в j-ой точке рабочего диапазона измерений массового расхода.
Если значение U больше или равно значению h, взятому из таблицы Ж.1, то результат измерения должен быть исключен как промах.
Таблица Ж.1 - Критические значения для к |
ритерия Граббса | |||||||||
п |
о 3 |
4 |
5 |
6 |
7 |
8 |
9 |
10 |
И |
12 |
h |
1,155 |
1,481 |
1,715 |
1,887 |
2,020 |
2,126 |
2,215 |
2,290 |
2,355 |
2,412 |
35