Методика поверки «Государственная система обеспечения единства измерений Система измерительная массового расхода и массы фракции С6-С8 с емкости Н-FA-201 в цех No 2106 (на компрессию) ПАО «Нижнекамскнефтехим» (позиция H-FI-210)» (MП 1511/3-311229-2019)

Регистрационный номер записи в реестре аккредитованных лиц RA.RU.311229

по испытаниям «СТП»
В.В. Фефелов
2019 г.
Государственная система обеспечения единства измерений
Система измерительная массового расхода и массы фракции С6-С8 с емкости H-FA-201 в цех № 2106 (на компрессию) ПАО «Нижнекамскнефтехим» (позиция H-FI-210)
МЕТОДИКА ПОВЕРКИ
МП 1511/3-311229-2019
г. Казань
2019
Настоящая методика поверки распространяется на систему измерительную массового расхода и массы фракции С6-С8 с емкости H-FA-201 в цех № 2106 (на компрессию) ПАО «Нижнекамскнефтехим» (позиция H-FI-210) (далее - ИС), заводской № H-FI-210, и устанавливает методику первичной поверки до ввода в эксплуатацию и после ремонта, а также методику периодической поверки в процессе эксплуатации.
Результаты поверки средств измерений (далее - СИ), входящих в состав ИС, в течение их межповерочного интервала, установленного при их утверждении типа, удостоверяются действующим знаком поверки и (или) свидетельством о поверке, и (или) записью в паспорте (формуляре) СИ, заверяемой подписью работника аккредитованного юридического лица или индивидуального предпринимателя, проводившего поверку СИ (далее - поверитель), и знаком поверки.
Интервал между поверками ИС - 3 года.
1 ОПЕРАЦИИ ПОВЕРКИПри проведении поверки должны быть выполнены следующие операции:
-
- внешний осмотр (пункт 6.1);
-
- опробование (пункт 6.2);
-
- определение метрологических характеристик (пункт 6.3);
-
- оформление результатов поверки (раздел 7).
Примечание - При получении отрицательных результатов поверки по какому-либо пункту методики поверки поверку ИС прекращают.
2 СРЕДСТВА ПОВЕРКИ-
2.1 При проведении поверки ИС применяют следующие средства поверки:
-
- термогигрометр ИВА-6 модификации ИВА-6А-Д: диапазон измерений атмосферного давления от 700 до 1100 гПа, пределы допускаемой абсолютной погрешности измерения атмосферного давления ±2,5 гПа; диапазон измерений относительной влажности от 0 до 98 %, пределы допускаемой основной абсолютной погрешности измерения относительной влажности ±2 % в диапазоне от 0 до 90 %, ±3 % в диапазоне от 90 до 98 %; диапазон измерений температуры от минус 20 до плюс 60 °C, пределы допускаемой основной абсолютной погрешности измерения температуры ±0,3 °C;
-
- калибратор многофункциональный MC5-R-IS (далее - калибратор): диапазон воспроизведения силы постоянного тока от 0 до 25 мА, пределы допускаемой основной погрешности воспроизведения ±(0,02 % показания + 1 мкА); диапазон воспроизведения сопротивления от 1 до 4000 Ом, пределы допускаемой основной погрешности воспроизведения ±0,04 % показания или ±30 мОм (выбирается большее значение); диапазон воспроизведения частотных сигналов синусоидальной и прямоугольной формы от 0,0028 Гц до 50 кГц, пределы допускаемой основной относительной погрешности воспроизведения ±0,01 %; диапазон воспроизведения последовательности импульсов от 0 до 9999999 импульсов.
-
2.2 При поверке СИ, входящих в состав ИС, применяют СИ в соответствии с документами на поверку СИ, входящих в состав ИС.
-
2.3 Допускается применение аналогичных средств поверки, обеспечивающих определение метрологических характеристик поверяемой ИС с требуемой точностью.
-
2.4 Все применяемые эталоны должны быть аттестованы, СИ должны иметь действующий знак поверки и (или) свидетельство о поверке, и (или) запись в паспорте (формуляре) СИ, заверенную подписью поверителя и знаком поверки.
-
3.1 При проведении поверки должны соблюдаться следующие требования:
-
- правил технической эксплуатации электроустановок потребителей;
-
- правил безопасности при эксплуатации средств поверки и ИС, приведенных в их эксплуатационных документах;
-
- инструкций по охране труда, действующих на объекте.
-
3.2 К проведению поверки допускаются лица, изучившие настоящую методику поверки, руководства по эксплуатации ИС и средств поверки и прошедшие инструктаж по охране труда.
При проведении поверки должны соблюдаться следующие условия:
-
- температура окружающего воздуха, °C от плюс 15 до плюс 25
-
- относительная влажность, % от 30 до 80
-
- атмосферное давление, кПа от 84 до 106
-
5.1 Средства поверки и вторичную часть измерительных каналов (далее - ИК) ИС выдерживают при условиях, указанных в разделе 4, не менее двух часов.
-
5.2 Средства поверки и ИС подготавливают к работе в соответствии с их эксплуатационными документами.
-
6.1.1 Проверяют:
-
- состав СИ и комплектность ИС;
-
- наличие свидетельства о последней поверке ИС (при периодической поверке);
-
- отсутствие механических повреждений ИС, препятствующих ее применению;
-
- четкость надписей и обозначений;
-
- соответствие монтажа СИ, входящих в состав ИС, требованиям эксплуатационных документов.
-
6.1.2 Результаты проверки считают положительными, если:
-
- состав СИ и комплектность ИС соответствуют описанию типа ИС;
-
- представлено свидетельство о последней поверке ИС (при периодической поверке);
-
- отсутствуют механические повреждения ИС, препятствующие ее применению;
-
- надписи и обозначения четкие;
-
- монтаж СИ, входящих в состав ИС, соответствует требованиям эксплуатационных документов.
-
6.2 Опробование
-
6.2.1.1 Проверку идентификационных данных программного обеспечения (далее - ПО) ИС проводят в соответствии с эксплуатационной документацией на ИС.
-
6.2.1.2 Результаты проверки идентификационных данных ПО считают положительными, если идентификационные данные ПО ИС совпадают с указанными в описании типа.
-
6.2.2.1 Проверяют соответствие выходных сигналов первичных измерительных преобразователей ИС и текущих измеренных ИС значений температуры, давления, расхода данным, отраженным в описании типа ИС.
-
6.2.2.2 Результаты проверки работоспособности считают положительными, если выходные сигналы первичных измерительных преобразователей ИС и текущие измеренные ИС значения температуры, давления, расхода соответствуют данным, отраженным в описании типа ИС.
6.3 Определение метрологических характеристик
6.3.1 Проверка результатов поверки СИ, входящих в состав ИС-
6.3.1.1 Проверяют наличие действующего знака поверки и (или) свидетельства о поверке, и (или) записи в паспорте (формуляре) СИ, заверенной подписью поверителя и знаком поверки, у первичных измерительных преобразователей ИС (согласно описанию типа ИС).
-
6.3.1.2 Результаты поверки по 6.3.1 считают положительными, если у первичных измерительных преобразователей ИС (согласно описанию типа ИС) есть действующий знак поверки и (или) свидетельство о поверке, и (или) запись в паспорте (формуляре) СИ, заверенная подписью поверителя и знаком поверки.
-
6.3.2.1 Отключают первичный измерительный преобразователь ИК и к соответствующему каналу подключают калибратор, установленный в режим имитации сигналов силы постоянного тока от 4 до 20 мА.
-
6.3.2.2 С помощью калибратора устанавливают электрический сигнал силы постоянного тока. В качестве контрольных точек принимают точки 4; 8; 12; 16; 20 мА.
-
6.3.2.3 Считывают значения входного сигнала с монитора операторской станции и в каждой контрольной точке рассчитывают приведенную погрешность у,, %, по формуле
у, = |п“~ ”.100, (1)
где I»™ _ значение силы постоянного тока, измеренное ИС, мА;
1ЭТ - значение силы постоянного тока, заданное калибратором, мА.
-
6.3.2.4 Если показания ИС можно просмотреть только в единицах измеряемой величины, то при линейной функции преобразования значение тока 1^, мА, рассчитывают по формуле

(2)
где X - настроенный верхний предел измерений ИК, соответствующий значению силы постоянного тока 20 мА, в абсолютных единицах измерений;
X - настроенный нижний предел измерений ИК, соответствующий значению силы постоянного тока 4 мА, в абсолютных единицах измерений;
X - значение измеряемого параметра, соответствующее задаваемому аналоговому сигналу силы постоянного тока от 4 до 20 мА, в абсолютных единицах измерений. Считывают с монитора операторской станции.
-
6.3.2.5 Результаты поверки по 6.3.2 считают положительными, если рассчитанная по формуле (1) приведенная погрешность в каждой контрольной точке не выходит за пределы, указанные в описании типа.
-
6.3.3 Определение абсолютной погрешности измерений входного аналогового сигнала сопротивления
-
6.3.3.1 Отключают первичный измерительный преобразователь ИК и к соответствующему каналу подключают калибратор, установленный в режим имитации сигналов сопротивления.
-
6.3.3.2 С помощью калибратора устанавливают электрический сигнал, соответствующий значениям измеряемой температуры. В качестве контрольных точек принимают точки, соответствующие 0; 25; 50; 75; 100 % диапазона измерений температуры.
-
6.3.3.3 Считывают значения входного сигнала с монитора операторской станции и в каждой контрольной точке рассчитывают абсолютную погрешность At, °C, по формуле
= *изм “ *эт»
где t - значение температуры, измеренное ИС, °C;
t - значение температуры, заданное калибратором, °C.
-
6.3.3.4 Результаты поверки по 6.3.3 считают положительными, если рассчитанная по формуле (3) абсолютная погрешность в каждой контрольной точке не выходит за пределы, указанные в описании типа.
-
6.3.4.1 Отключают первичный измерительный преобразователь ИК и к соответствующему каналу подключают калибратор, установленный в режим имитации частотного сигнала.
-
6.3.4.2 С помощью калибратора устанавливают частотный сигнал. В качестве контрольных точек принимают точки 0; 25; 50; 75; 100 % диапазона измерений частоты.
-
6.3.4.3 Считывают значения входного сигнала с монитора операторской станции и в каждой контрольной точке рассчитывают относительную погрешность 5f, %, по формуле
Sf = f"“ ~f” -100, (4)
где f
значение частоты, измеренное ИС, Гц;
значение сопротивления, заданное калибратором, Гц.
IBM
f,-
6.3.4.4 Если показания ИС можно просмотреть только в единицах измеряемой величины, то значение частоты рассчитывают по формуле
f
изм
f -f
(5)
max min . fY _ V \ , Г
Y у '■Л&зм ” min / "*" ^min »
max ~ ■''■f min
где Xfmax - настроенный верхний предел измерений ИК, в абсолютных единицах измерений;
Xf - настроенный нижний предел измерений ИК, в абсолютных единицах измерений;
X - значение измеряемого параметра, соответствующее задаваемому аналоговому сигналу частоты, в абсолютных единицах измерений. Считывают с монитора операторской станции.
-
6.3.4.5 Результаты поверки по 6.3.4 считают положительными, если рассчитанная по формуле (4) относительная погрешность в каждой контрольной точке не выходит за пределы, указанные в описании типа.
-
6.3.5.1 Подключают выходной модуль калибратора, установленный в режим воспроизведения частотных электрических сигналов 1 Гц, к входному модулю второго калибратора, установленного в режим измерения импульсов.
-
6.3.5.2 При смене значения времени на дисплее ИС фиксируют:
-
- начальное значение времени с дисплея ИС тВнач, с;
-
- начальное значение количества импульсов п^, импульсы, с дисплея калибратора.
-
6.3.5.3 Через интервал времени не менее трех часов при смене значения времени на дисплее ИС фиксируют:
-
- конечное значение времени с дисплея ИС тВкон, с;
-
- конечное значение количества импульсов пкон, импульсы, с дисплея калибратора.
-
6.3.5.4 Относительную погрешность измерения времени 5т, %, рассчитывают по формуле
g _ (^Вкон ^Внач) (Пкон ^нач) . jqq
(Пкон ^нач)
-
6.3.5.5 Результаты поверки по 6.3.5 считают положительными, если рассчитанная по формуле (6) относительная погрешность не выходит за пределы, указанные в описании типа.
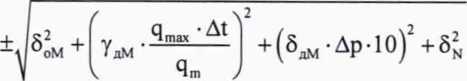
6.3.6.1 Пределы относительной погрешности измерений массового расхода (массы) фракции С6-С8 5м, %, рассчитывают по формуле

(7)
где § - пределы основной относительной погрешности измерений массомера, %;
-
- пределы дополнительной приведенной погрешности измерений массомера, вызванной изменением температуры продукта на 1 °C от температуры продукта при установке нуля массомера, %;
-
- максимальный массовый расход массомера, т/ч;
-
- измеренный массовый расход, т/ч;
At - изменение температуры продукта от температуры продукта при установке нуля массомера, °C;
§ м - пределы дополнительной относительной погрешности измерений массомера, вызванной изменением давления продукта на 0,1 МПа от давления среды при поверке массомера, %;
Др - изменение давления продукта от давления среды при поверке массомера, МПа;
- относительная погрешность при измерении импульсного/частотного
сигнала, %.
-
6.3.6.2 Результаты поверки по 6.3.6 считают положительными, если рассчитанные пределы относительной погрешности измерений массового расхода (массы) фракции С6-С8 не выходят за пределы, указанные в описании типа.
-
7.1 Результаты поверки оформляют протоколом произвольной формы.
-
7.2 В соответствии с установленным законодательством Российской Федерации об обеспечении единства измерений порядком при положительных результатах поверки ИС оформляют свидетельство о поверке ИС (знак поверки наносится на свидетельство о поверке ИС), при отрицательных результатах поверки ИС - извещение о непригодности к применению.
-
7.3 На оборотной стороне свидетельства о поверке ИС указывают фразу: «Результаты поверки ИС действительны в течение межповерочного интервала, если результаты поверки СИ, входящих в состав ИС, за исключением барьеров искрозащиты, в течение их межповерочного интервала, установленного при их утверждении типа, удостоверены действующим знаком поверки и (или) свидетельством о поверке, и (или) записью в паспорте (формуляре) СИ, заверяемой подписью поверителя и знаком поверки».
6 из 6
