Методика поверки «УСТАНОВКИ ПОВЕРОЧНЫЕ «Краб-УМ»» (ΜΠ 1120-13-2020)
ВСЕРОССИЙСКИЙ НАУЧНО-ИССЛЕДОВАТЕЛЬСКИЙ ИНСТИТУТ РАСХОДОМЕТРИИ -ФИЛИАЛ ФЕДЕРАЛЬНОГО ГОСУДАРСТВЕННОГО УНИТАРНОГО ПРЕДПРИЯТИЯ «ВСЕРОССИЙСКИЙ НАУЧНО-ИССЛЕДОВАТЕЛЬСКИЙ ИНСТИТУТ МЕТРОЛОГИИ им. Д.И. МЕНДЕЛЕЕВА»
ВНИИР - филиал ФГУП «ВНИИМ им. Д.И. Менделеева»
развитию

Государственная система обеспечения единства измерений
УСТАНОВКИ ПОВЕРОЧНЫЕ «Краб-УМ»
Методика поверки
МП 1120-13-2020

Тел. отдела: 8(843) 272-01-12
Казань
2020
РАЗРАБОТАНА |
ВНИИР - филиал ФГУП «ВНИИМ им. Д.И. Менделеева» ООО «ГЛОБУС» |
УТВЕРЖДЕНА |
ВНИИР - филиал ФГУП «ВНИИМ им. Д.И. Менделеева» |
Настоящая методика поверки распространяется на Установки поверочные «Краб-УМ», (далее - установки) производства фирмы ООО «ГЛОБУС» и устанавливает содержание и методику их поверки.
Интервал между поверками - 1 год.
1 ОПЕРАЦИИ ПОВЕРКИ1.1 При проведении поверки должны быть выполнены операции, указанные в Таблице 1.
Таблица 1 - Операции при проведении поверки
Наименование операции |
Номер пункта методики поверки |
Проведение операции при | |
первичной поверке |
периодической поверке | ||
Внешний осмотр |
6.1 |
+ |
+ |
Опробование |
6.3 |
+ |
+ |
Определение относительной погрешности установки при воспроизведении объёма и объёмного расхода газа |
6.4 |
+ |
+ |
1.2 При отрицательных результатах одной из операций дальнейшая поверка установок прекращается
2 СРЕДСТВА ПОВЕРКИПри проведении поверки должны быть применены следующие средства поверки
-
- государственный первичный эталон единиц объёмного и массового расходов газа ТЭТ 118-2017 в соответствии с Приказом Госстандарта № 2825 от 29.12.2018 г., диапазон воспроизведения единиц объёмного расхода газа от 0,003 до 16000 м3/ч, СКО от 0,01 до 0,03, ИСП от 0,05 до 0,12, расширенная неопределённость при коэффициенте охвата к=2 от 0,06 до 0,11%;
-
- измеритель влажности и температуры ИВТМ-7, диапазон измерений относительной влажности от 0 % до 99 %, диапазон измерений температуры от минус 20 °C до плюс 60 °C, диапазон измерений давления от 630 мм рт. ст. до 790 мм рт. ст. (регистрационный номер 71394-18).
-
- допускается применение аналогичных средств поверки (кроме ГЭТ 118-2017), обеспечивающих определение метрологических характеристик поверяемых СИ с требуемой точностью.
-
3.1 При подготовке и проведении поверки необходимо соблюдать требования безопасности, установленные в нормативно-методической документации на применяемые средства поверки и поверяемые средства измерений.
-
3.2 К поверке допускаются лица, ознакомленные с руководством по эксплуатации.
-
3.3 К работе со средствами измерений и поверочной установкой допускаются лица, прошедшие инструктаж по технике безопасности и допущенные к работе на электроустановках напряжением до 1000 В.
4.1 При проведении поверки должны быть условия: |
соблюдены следующие |
|
20±5; от 30 до 80; от 84 до 106,7. |
4.2 При определении метрологических характеристик по п. 6.3 допускается проводить поверку при следующих условиях:
|
минус 5 до плюс 25; от 30 до 80; от 84 до 106,7. |
-
5.1 Проверить наличие действующих свидетельств о поверке на средства поверки и испытательное оборудование.
-
5.2 Проверить наличие технической и эксплуатационной документация фирмы-изготовителя в объеме достаточном для проведения поверки и калибровочного протокола завода изготовителя.
При отсутствии каких-либо из документов, требуется их запросить у официального представителя фирмы-изготовителя.
-
5.3 Проверить работоспособность средств поверки.
-
5.4 Проверить соответствие условий проведения условиям поверки.
-
5.5 Средства измерений и вспомогательное оборудование готовится к работе в соответствии с эксплуатационной документацией на них.
-
6.1 Внешний осмотр
-
6.1.1 Проверку внешнего вида, комплектности маркировки и упаковки на соответствие технической документации проводят внешним осмотром.
-
Перед проведением внешнего осмотра установок должно быть установлено наличие следующей документации:
-
- свидетельства о поверке всех средств измерений, входящих в состав установки;
-
- паспорт;
-
- руководство по эксплуатации;
-
- методика поверки.
При проведении внешнего осмотра установок устанавливают:
-
- соответствие нанесенной на установку маркировки требованиям технической документации и устойчивость маркировки к воздействию моющих средств;
-
- отсутствии механических повреждений и ржавчины на элементах конструкции;
-
- отсутствии видимых разрушений и сколов на лакокрасочных и гальванических покрытиях деталей и агрегатов установок;
-
- отсутствии механических повреждений кабелей и соединительных трубопроводов.
Результаты поверки считаются удовлетворительными, если внешний вид, комплектность и маркировка соответствуют требованиям технической документации.
-
6.2 Опробование
-
6.2.1 Подтверждение соответствия программного обеспечения
-
Операция «Подтверждение соответствия программного обеспечения» включает:
-
- определение идентификационного наименования программного обеспечения;
-
- определение номера версии (идентификационного номера) программного обеспечения;
Включить установку. После подачи питания и подключения к сети поверочной установки «КРАБ-УМ», в адресной строке браузера необходимо ввести следующий текст: 192.168.4.1/version. В открывшемся окне браузера будет отображаться следующая информация:
-
- идентификационное наименование программного обеспечения;
-
- номер версии (идентификационный номер) программного обеспечения;
Результат подтверждения соответствия программного обеспечения считается положительным, если полученные идентификационные данные программного обеспечения установки соответствуют идентификационным данным, указанным в разделе «Программное обеспечение» описания типа установок
-
6.3 Проверка функционирования
Проверить общее функционирование и работоспособность установки в соответствии с руководством по эксплуатации (раздел «Подготовка к использованию и опробование»).
Установку считают пригодной к эксплуатации, если на показывающем устройстве установки отображаются данные о расходе, давлении и температуре.
-
6.4 Определение относительной погрешности установки при воспроизведении объёма и объёмного расхода газа
Перед определением относительной погрешности необходимо проверить герметичность установки и мест соединений с эталоном в соответствии с эксплуатационной документацией на эталон. Установка и места соединений с эталоном считаются герметичными, если за время проверки давление изменилось не более чем на 30 Па за 5 мин.
Относительную погрешность при воспроизведении объема и объемного расхода газа в рабочих условиях определяют методом сравнения объема, прошедшего через эталон и установку на расходах, м7ч: 0,016; 0,025; 0,05; 0,1; 0,4;0,6; 0,8; 1,0; 2,0; 4,0; 6,0; 8,0; 10; 12; 16; 25.
Отклонение расходов, задаваемых эталонной установкой от вышеприведенных значений, не должны превышать:
-
- ДЛЯ Q max “ ±3 %;
-
- для Q min-±10%;
-
- для остальных расходов - ±5 %.
Примечание - При определении относительной погрешности на каждом из расходов необходимо выполнить одновременно два условия: значение контрольного объема воздуха должно быть не менее 0,01 м3, а значение времени накопления объема должно быть не менее 100 с.
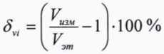
Относительную погрешность при измерении объёма рассчитывают по фор
муле:


где
-
- VH3m - измеренное значение объёма (снятое с показывающего устройства установки), м3;
-
- Уэт - эталонный объём, м3.
Результаты поверки считают положительными, если относительная погрешность установок при воспроизведении объёма в рабочих условиях, соответственно и объёмного расхода в рабочих условиях, в каждой точке расхода не превышает ±0,5 %.
7 ОФОРМЛЕНИЕ РЕЗУЛЬТАТОВ ПОВЕРКИ-
7.1 Результаты поверки заносят в протокол произвольной формы.
-
7.2 Положительные результаты поверки оформляют свидетельством в соответствии с «Порядком проведения поверки средств измерений, требования к знаку поверки и содержанию свидетельства о поверке», утверждённым Приказом Минпромторга России № 1815 от 02 июля 2015 года. Знак поверки в виде оттиска клейма наносится на свидетельство о поверке, а также на корпус установки
-
7.3 При отрицательных результатах поверки установку не допускают к применению и выписывается извещение о непригодности к применению.