Методика поверки «Государственная система обеспечения единства измерений РЕГИСТРАТОРЫ СИГНАЛОВ ВОЛОКОННО-ОПТИЧЕСКИХ ДАТЧИКОВ SM/SI (NTM/NTI)» (MП 051.03-19)

УТВЕРЖДАЮ
Заместитель директора
ФГУП «ВНИИОФИ»
____И.С. Филимонов ______________2019 г.
Государственная система обеспечения единства измерений
РЕГИСТРАТОРЫ СИГНАЛОВ ВОЛОКОННО-ОПТИЧЕСКИХ ДАТЧИКОВ SM/SI (NTM/NTI)МЕТОДИКА ПОВЕРКИ
МП 051.ФЗ-19Главный метролог
ФГУП «ВНИИОФИ»
С.Н. Него да
2019 г.
Главный научный сотрудник
ФГУП «ВНИИОФИ»
Руководитель службы качества
ФГУП «ВНИИОФИ»
В.Н. Крутиков
2019 г.
Н.П. Муравская //_____2019 г.
Москва
2019 г.
1 ВведениеНастоящая методика распространяется на регистраторы сигналов волоконно-оптических датчиков SM/SI (NTM/NTI) (далее по тексту — РСВОД) и устанавливает методы и средства их первичной и периодической поверки. РСВОД предназначены для измерений длины волны оптического излучения, отражённого от волоконных Брэгговских решёток и интерферометров Фабри-Перо, в том числе используемых в качестве чувствительного элемента в составе первичных измерительных преобразователей различных физических величин.
Интервал между поверками - 4 года.
2 Операции поверки-
2.1 При проведении первичной и периодической поверок должны быть выполнены операции, указанные в таблице 1.
Таблица 1 - Операции, выполняемые при первичной и периодической поверке
|
№ п/п. |
Наименование операции |
Номер пункта настоящей методики |
Проведение операций при | |
|
Первичной поверке |
Периодической поверке | |||
|
1 |
Внешний осмотр |
8.1 |
Да |
Да |
|
2 |
Опробование |
8.2 |
Да |
Да |
|
3 |
Подтверждение соответствия программного обеспечения |
8.3 |
Да |
Нет |
|
4 |
Определение метрологических характеристик |
8.4 | ||
|
5 |
Определение диапазона и абсолютной погрешности измерений длины волны |
8.4.1 |
Да |
Да |
|
7 |
Определение динамического диапазона |
8.4.2 |
Нет | |
-
2.2 При получении отрицательных результатов при проведении хотя бы одной операции поверка прекращается.
-
2.3 Поверку РСВОД осуществляют аккредитованные в установленном порядке в области обеспечения единства измерений юридические лица и индивидуальные предприниматели.
-
2.4 Допускается проведение поверки в ограниченных динамическом диапазоне и диапазоне измерений длины волны по требованию заказчика.
-
3.1 При проведении первичной и периодической поверок применяются средства поверки, указанные в таблице 2.
Таблица 2 - Средства поверки, применяемые при первичной и периодической поверке
|
Номер пункта методики поверки |
Наименование и тип (условное обозначение) основного или вспомогательного средства поверки; обозначение нормативного документа, регламентирующего технические требования и (или) метрологические и основные технические характеристики средства поверки |
Основные технические и (или) метрологические характеристики |
|
Государственный рабочий эталон единиц средней мощности оптического излучения и ослабления оптического излучения в волоконно-оптических системах передачи в диапазоне от 10-10 до 1 Вт на длинах волн от 500 до 1700 нм - РЭСМ по ГПС, утвержденной Приказом Федерального агентства по техническому регулированию и метрологии от 05.12.2019 г. №2862 |
|
|
Государственный рабочий эталон единиц средней мощности оптического излучения и ослабления оптического излучения в волоконно-оптических системах передачи в диапазоне от 10-10 до 1 Вт на длинах волн от 500 до 1700 нм - РЭСМ по ГПС, утвержденной Приказом Федерального агентства по техническому регулированию и метрологии от 05.12.2019 г. №2862 |
1 Вт: ± 2,0 %;
|
|
8.4.1- 8.4.2 |
Вспомогательное оборудование
| |
-
3.2 Допускается применение других средств поверки, обеспечивающих определение необходимых метрологических характеристик поверяемого РСВОД с требуемой точностью.
-
3.3 Средства измерений (СИ), используемые при проведении поверки, должны быть поверены и аттестованы в установленном порядке.
К проведению поверки допускаются учёные-хранители ТЭТ 170-2011 или лица, допущенные к работе на ГЭТ 170-2011, изучившие настоящую методику и руководства по эксплуатации (РЭ) поверяемого РСВОД и средств поверки, а также правила содержания и применения ГЭТ 170-2011 и РЭСМ, имеющие квалификационную группу не ниже III в соответствии с правилами по охране труда при эксплуатации электроустановок указанных в приложении к приказу Министерства труда и социальной защиты РФ от 24.07.13 №
328Н и имеющие опыт работы с высокоточными средствами измерений в области волоконно-оптических систем передачи информации, прошедших обучение на право проведения поверки по требуемому виду измерений.
5 Требования безопасностиПри проведении поверки соблюдают требования, установленные Г ОСТ
Р 12.1.031-2010, ГОСТ 12.1.040-83, правилами по охране труда при эксплуатации электроустановок, указанными в приложении к приказу Министерства труда и социальной защиты РФ от 24.07.13 № 328Н, и Санитарными нормами и правилами устройства и эксплуатации лазеров СанПиН 5804-91. Оборудование, применяемое при поверке, должно соответствовать требованиям ГОСТ 12.2.003-91. Воздух рабочей зоны должен соответствовать ГОСТ 12.1.005-88 при температуре помещения, соответствующей условиям поверки для легких физических работ. Система электрического питания прибора должна быть защищена от колебаний и пиков сетевого напряжения, искровые генераторы не должны устанавливаться вблизи прибора. Помещение, в котором проводится поверка, должно соответствовать требованиям пожарной безопасности по ГОСТ 12.1.004-91 и иметь средства пожаротушения по
ГОСТ 12.4.009-83.
6 Условия поверки-
6.1 Все этапы поверки, за исключением особо оговоренных, проводят при следующих условиях:
температура окружающей среды, °C........................................от 15 до 25
относительная влажность воздуха, не более, %....................... 70
атмосферное давление, кПа.......................................................от 96 до 104
напряжение питающей сети, В..................................................от 198 до 242
частота питающей сети, Гц..........................................от 49 до 51
-
6.2 Помещение, где проводится поверка, должно быть чистым и сухим, свободным от пыли, паров кислот и щелочей. Допускаемый перепад температуры при проведении поверки - не более 2 °C.
-
6.3 В помещении не допускаются посторонние источники электромагнитного излучения, мощные электрические и магнитные поля.
Очищают специальным тампоном, смоченным изопропиловым спиртом ГОСТ 9805-84, оптические разъемы поверяемого РСВОД и средств поверки. Протирают специальной салфеткой, смоченной изопропиловым спиртом ГОСТ 9805-84, торцы волоконно-оптических кабелей, аттенюаторов и ответвителей, используемых при проведении поверки. Включают питание всех приборов, используемых при поверке в соответствии с их Руководствами по эксплуатации (РЭ). Проводят прогрев всех включенных приборов в течение 2 часов.
-
8 Проведение поверки
-
8.1.1 Комплектность поверяемого РСВОД должна соответствовать разделу «Комплектность» его Руководства по эксплуатации (РЭ).
-
8.1.2 При внешнем осмотре должно быть установлено:
-
- наличие маркировки, подтверждающей тип и идентифицирующей РСВОД;
-
- отсутствие на наружных поверхностях РСВОД повреждений, влияющих на его работоспособность;
-
- отсутствие ослаблений элементов конструкции, сохранность пломб, чистота разъемов;
-
- целостность волоконно-оптических кабелей и разъемов РСВОД.
-
8.1.3 В случае обнаружения механических повреждений или нарушения целостности волоконно-оптических кабелей и разъемов необходимо связаться с производителем СИ с помощью контактной информации, указанной в РЭ, указать характер повреждений и определить работоспособность РСВОД. Если СИ не работоспособно - дальнейшие операции поверки не проводят.
-
8.1.4 РСВОД считается прошедшим операцию поверки, если корпус, внешние элементы, органы управления и индикации не повреждены, отсутствуют механические повреждения и ослабления элементов конструкции.
-
8.2.1. Подготавливают РСВОД к работе согласно его РЭ.
-
8.2.1. Подключают к выходному разъёму первого канала РСВОД брэгговскую решётку. Включают РСВОД, запускают на ПК программу “ENLIGHT" двойным нажатием на соответствующий ярлык, находящийся на рабочем столе ПК. Во вкладке «Acquisition» основного окна программы запускают сбор данных (режим измерений) согласно РЭ РСВОД. В результате измерений в графическом окне программы должен появиться спектр подключённой брэгговской решётки со значением центральной длины волны отражения.
-
8.2.3 РСВОД считается прошедшим операцию поверки, если индикатор питания горит непрерывно зелёным светом, ПО РСВОД запускается, в результате тестового измерения определяется длины волны брэгговской решётки.
-
8.3.1 Проверяют соответствие заявленных идентификационных данных программного обеспечения (ПО) сведениям, приведенным в описании типа на РСВОД.
Для этого включают РСВОД, запускают на ПК «ENLIGHT», выбирают в главном меню вкладку «Help».
-
8.3.2 РСВОД считается прошедшим операцию поверки, если идентификационные данные программного обеспечения соответствуют значениям, приведенным в таблице 3.
Таблица 3 - Идентификационные данные ПО
|
Идентификационные данные (признаки) |
Значение |
|
Идентификационное наименование ПО |
ENLIGHT |
|
Номер версии (идентификационный номер) ПО |
1.14 и выше |
|
Цифровой идентификатор ПО |
- |
-
8.4 Определение метрологических характеристик
-
8.4.1 Определение диапазона и абсолютной погрешности измерений длины
-
Для определения диапазона и абсолютной погрешности измерений длины волны с помощью РСВОД используют эталонную аппаратуру для воспроизведения единицы длины волны из состава ТЭТ 170-2011, эталонное средство измерений (СИ) средней мощности оптического излучения из состава РЭСМ, волоконно-оптический фильтр Фабри-Перо и вспомогательные волоконно-оптические компоненты. Сначала определяют значения длин волн резонансных пиков пропускания фильтра Фабри-Перо, который используется в качестве компаратора, с помощью эталонной аппаратуры ГЭТ 170-2011 и РЭСМ, а затем значения длин волн тех же пиков определяют с помощью РСВОД.
-
8.4.1.1 Собирают установку согласно схеме, приведенной на рисунке 1. Подключают выходной волоконно-оптический разъем перестраиваемого лазера OSICS Т100 с помощью двух волоконно-оптических ответвителя к входному волоконно-оптическому разъему эталонного измерителя длины волны (ИДВ) из состава ГЭТ 170-2011, к первому каналу измерителя мощности из состава РЭСМ и к одному из волоконно-оптических патч-кордов фильтра Фабри-Перо. Второй волоконно-оптический патч-корд фильтра Фабри-Перо подключают ко второму каналу измерителя мощности из

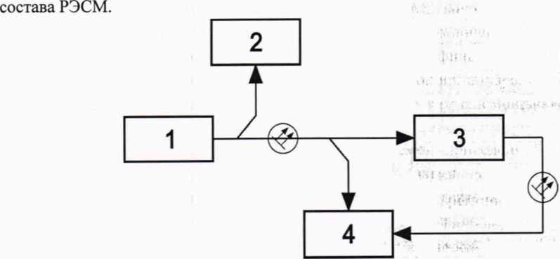
1 - перестраиваемый лазер OSICS Т100; 2 - измеритель длины волны из состава ГЭТ 170-2011; 3 - фильтр Фабри-Перо; 4 - СИ средней мощности из состава РЭСМ Рисунок 1 - схема установки для измерений длин волн пиков пропускания фильтра Фабри-Перо с помощью эталонной аппаратуры.
-
8.4.1.2 Выбирают пик пропускания фильтра Фабри-Перо с ближайшей длиной волны к нижнему краю диапазона РСВОД, Amin, нм. В окрестности выбранного пика производят сканирование по длине волны с помощью перестраиваемого лазера. Диапазон сканирования устанавливают в зависимости от ширины пика поглощения таким образом, чтобы на полученной зависимости уровня средней мощности от длины волны отражался весь пик целиком. Для получения максимальной точности определения длины волны пика поглощения используют минимальный шаг перестройки длины волны, обеспечиваемый перестраиваемым лазером. Фиксируют актуальные значения длины волны и уровня средней мощности лазера Ал, нм, и Рл, мВт, с помощью ИДВ и первого канала СИ средней мощности из состава РЭСМ соответственно, а также уровень средней мощности оптического излучения на выходе фильтра Фабри-Перо Рк, мВт, с помощью второго канала СИ средней мощности из состава РЭСМ-ВС при каждом приращении длины волны во время сканирования. Полученные результаты измерений загружают в программу математической обработки данных, где строят массивы полученных данных Ал, Рл, Рк. Производят деление Рк, мВт, на Рл, мВт, получая значения Pk_n, чтобы избавиться от влияния на результат измерений нестабильности уровня средней мощности перестраиваемого лазера и систематической погрешности СИ средней мощности из состава РЭСМ во время сканирования. Полученную нормированную зависимость Pk_n от Ал аппроксимируют функцией Гаусса в диапазоне полуширины пика поглощения согласно РЭ программы математической обработки данных. Определяют значение из массива Ал, нм, которому соответствует минимум аппроксимирующей кривой Pk_n_a. Фиксируют длину волны пика пропускания An_i, нм, где i - номер измерения.
-
8.4.1.3 Повторяют операции по 8.4.1.2 каждый раз измеряя длину волны пика пропускания Anj, нм, п-1 раз, где п - общее количество измерений (п > 3).
-
8.4.1.4 Собирают установку согласно схеме, приведенной на рисунке 2. Подключают выходной волоконно-оптический разъем РСВОД к фильтру Фабри-Перо с помощью циркулятора.
Циркулятор ____________________

1 - поверяемый РСВОД; 2 - фильтр Фабри-Перо
Рисунок 2 - схема установки для измерений длин волн пиков пропускания фильтра Фабри-Перо с помощью РСВОД.
-
8.4.1.5 Проводят измерения длины волны пика пропускания Арсво/и, нм, где i -номер измерения, согласно РЭ РСВОД п раз, где п - общее количество измерений (п > 3). Пик пропускания выбирают аналогично 8.4.1.2
-
8.4.1.6 Вычисляют средние значения длины волны пика пропускания, измеренной с помощью эталонного ИДВ из состава ГЭТ 170-2011 Ап_ср, нм, и с помощью поверяемого РСВОД Арсвод_ср, нм, по формулам:
Пп.
Хп_ср-^ п
1
РСВОД _ср
РСВОД i
(2)
где п - количество измерений длины волны.
-
8.4.1.7 Вычисляют среднее квадратическое отклонение (СКО) среднего арифметического результатов измерений длины волны пика пропускания эталонным ИДВ из состава ГЭТ 170-2011 Sn, нм, и поверяемым РСВОД Зрсвод, нм, по формулам:

5 -I-
° РСВОД ~ J
п^п_^‘^1^РСВОД_1 ^РС.ВОД_ср) •
(4)
-
8.4.1.8 Вычисляют неисключенную систематическую погрешность (НСП) измерений длины волны 0, нм, поверяемым РСВОД по формуле:
® ~ ^П_ср ~ РСВОД _ср • (5)
-
8.4.1.9 Вычисляют значение абсолютной погрешности измерений длины волны А, нм, поверяемым РСВОД по формуле:
А - 2 • M3ffl + ® I S 2 I 5
(6)
_ 2 V л + дп + °РСВОД >
где АЭт - абсолютная погрешность измерений длины волны с помощью эталонного ИДВ из состава ГЭТ 170-2011, указанная в паспорте эталона, нм.
-
8.4.1.10 Повторяют операции по 8.4.1.2 - 8.4.1.9 настоящей методики поверки для длин волн пиков пропускания фильтра Фабри-Перо Xmid и Zmax, нм, лежащих в середине и у верхней границы диапазона измерений длины волны РСВОД.
-
8.4.1.11 РСВОД считается прошедшим операцию поверки, если значения диапазона измерений длины волны и абсолютной погрешности измерений длины волны РСВОД соответствуют значениям, указанным в таблицах 4-6 метрологических характеристик РСВОД.
Таблица 4 - Метрологические характеристики РСВОД модификации Si 155.
|
Наименова-ние характеристики |
Значение | |||||
|
Sil55-EV-сс-1500-1600-0010- аа |
SH55-EV-сс-1460-1620-0010- аа |
SH55-HS-сс-1500-1580-5000- аа |
SH55-ST-сс-1520-1580-ssss- аа |
Sil55-ST-cc-1500-1600-ssss-aa |
Sil55-ST-cc-1460-1620-ssss-aa | |
|
Диапазон измерений длины волны, нм |
от 1500 до 1600 |
от 1460 до 1620 |
от 1500до 1580 |
от 1520 до 1580 |
от 1500 до 1600 |
от 1460 до 1620 |
|
Пределы допускаемой абсолютной погрешнос- |
± 0,002 *> ± 0,003 2) |
±0,002 |)3> ±0,006 2>” ±0,010 |
± 0,005 |
± 0,003 |
± 0,003 3) ±0,010 | |
|
ти измерений длины волны, нм | |||||
|
Динамический диапазон^, дБ: |
25 |
17 |
20 | ||
| |||||
Таблица 5 - Метрологические характеристики РСВОД модификации Si255
|
Наименование характеристики |
Значение | ||||
|
Si255-EV-cc-1500-1600-0010-аа |
Si255-EV-cc-1460-1620-0010-аа |
Si255-HS-cc-1500-1580-5000-аа |
Si255-ST-cc-1500-1600-ssss-aa |
Si255-ST-cc-1460-1620-ssss-aa | |
|
Диапазон измерений длины волны, нм |
от 1500 до 1600 |
от 1460 до 1620 |
от 1500до 1580 |
от 1500 до 1600 |
от 1460 до 1620 |
|
Пределы допускаемой абсолютной погрешности измерений длины волны, нм |
± 0,002 ± 0,003 2) |
± 0,002 |)3) ±0,0062)3) ±0,010 |
± 0,005 |
± 0,003 |
± 0,003 3) ±0,010 |
|
Динамический диапазон 4), дБ |
25 |
17 |
20 | ||
11 Значение в динамическом диапазоне не более 10 дБ;
-
2) Значение в динамическом диапазоне свыше 10 дБ;
-
3) В диапазоне от 1463 до 1617 нм;
-
4) Динамический диапазон - это максимальное ослабление уровня сигнала на оптическом пути от РСВОД до ВБР/ИФП и обратно вследствие потерь в оптических кабелях, сварных соединениях и разъемах.
Таблица 6 - Метрологические характеристики РСВОД модификаций Sml25 и Sm225
|
Наименование характеристики |
Значение | |
|
Sml25-500 |
Sm225-800 | |
|
Диапазон измерений длины волны, нм |
от 1510 до 1590 | |
|
Пределы допускаемой абсолютной погрешности измерений длины волны, нм |
± 0,005 | |
|
Динамический диапазон, дБ |
30 |
20 |
-
8.4.2.1 Собирают установку согласно схеме, приведенной на рисунке 3 аналогично
-
8.4.1.1 - 8.4.1.4 настоящей методики поверки с включением в схему аттенюатора из состава РЭСМ со значением вносимого ослабления А0Сл, дБ, равного половине значения динамического диапазона поверяемого РСВОД А, дБ.

1 - поверяемый РСВОД; 2 - аттенюатор из состава РЭСМ;
3 - фильтр Фабри-Перо
Рисунок 3 - схема установки для определения динамического диапазона РСВОД.
-
8.4.2.2 Повторяют пункты 8.4.1.4 - 8.4.1.9 настоящей методики поверки для пика пропускания фильтра Фабри-Перо, значение длины волны которого лежит в середине диапазона измерений длины волны поверяемого РСВОД. Если полученные значения абсолютной погрешности измерений длины волны А, нм, в режиме ослабленного по уровню средней мощности излучения, не превышают значений, указанных в таблицах 4-6 метрологических характеристик РСВОД, то за динамический диапазон принимается значение, указанное в таблицах 4-6. В противном случае динамический диапазон не подтверждается.
-
8.4.2.3 РСВОД считается прошедшим операцию поверки, если динамический диапазон соответствует значениям, указанным в таблицах 4-6 метрологических характеристик РСВОД.
-
9.1 Результаты измерений при поверке заносят в протокол (форма протокола приведена в приложении А настоящей методики поверки).
-
9.2 При положительных результатах поверки, РСВОД признается годным. На него выдаётся свидетельство о поверке установленной формы с указанием полученных в пунктах 8.4.1 - 8.4.2 фактических значений метрологических характеристик РСВОД и наносят знак поверки (место нанесения указано в описании типа) согласно Приказу Министерства промышленности и торговли Российской Федерации №1815 от 02.07.2015 «Об утверждении Порядка проведения поверки средств измерений, требования к знаку поверки и содержанию свидетельства о поверке», и систему допускают к эксплуатации.
-
9.3 РСВОД, прошедший поверку с отрицательным результатом, признается непригодным, не допускается к применению и на него выдается извещение о непригодности с указанием причин в соответствии с требованиями Приказа Министерства промышленности и торговли Российской Федерации №1815 от 02.07.2015.
Начальник сектора ФГУП «ВНИИОФИ»
Младший научный сотрудник ФГУП «ВНИИОФИ»
А.К. Митюрев
А.О. Погонышев
ПРИЛОЖЕНИЕ А к методике поверки МП 051.ФЗ-19 «ГСИ. Регистраторы сигналов волоконно-оптических датчиков SM/SI (NTM/NTI). Методика поверки»
ПРОТОКОЛ первичной / периодической поверки от «_______»____________20___года
Средство измерений: «Регистраторы сигналов волоконно-оптических датчиков SM/SI (NTM/NTI)» Наименование СИ, тип
Зав. №________№/№________________
Заводские номера блоков
Принадлежащее___________________________
Наименование юридического лица, И11Т1
Поверено в соответствии с методикой поверки МП 051.ФЗ-19 «ГСП. Регистраторы сигналов волоконно-оптических датчиков SM/SI (NTM/NTI). Методика поверки», утверждённой ФГУП «ВНИИОФИ» 01 ноября 2019 г.
Наименование документа на поверку, кем утвержден (согласован), дата
С применением эталонов_________________________________________________
(наименование, заводской номер, разряд, класс точности или погрешность)
При следующих значениях влияющих факторов:
(приводят перечень и значения влияющих факторов, нормированных в методике поверки)
температура окружающей среды, °C........................................от 15 до 25
относительная влажность воздуха, не более, %.......................70
атмосферное давление, кПа.......................................................от 96 до 104
напряжение питающей сети, В..................................................от 198 до 242
частота питающей сети, Гц..........................................от 49 до 51
Внешний осмотр:__________________________________________________________
Опробование:_____________________________________________________________
Подтверждение соответствия программного обеспечения:_______________________
Получены результаты поверки метрологических характеристик:
|
Наименование характеристики |
Результат |
Требования МП |
|
Диапазон измерений длины волны, нм |
J | |
|
Пределы допускаемой абсолютной погрешности измерений длины волны, нм |
vj | |
|
Динамический диапазон, дБ |
Рекомендации^__________________________ ________
Средство измерений признать пригодным (или непригодным) для применения
И сп о л и ител и:____
подписи, ФИО, должность
