Инструкция «Государственная система обеспечения единства измерений Система измерений количества и параметров газа по объекту «Газопровод высокого давления от ГРС-2 г. Елабуга (Центральная) до ПАО «НКНХ», ОАО «ТАИФ-НК»» (МП 1084-13-2020)
ФЕДЕРАЛЬНОЕ АГЕНТСТВО ПО ТЕХНИЧЕСКОМУ РЕГУЛИРОВАНИЮ И МЕТРОЛОГИИ
ФЕДЕРАЛЬНОЕ ГОСУДАРСТВЕННОЕ УНИТАРНОЕ ПРЕДПРИЯТИЕ ВСЕРОССИЙСКИЙ НАУЧНО-ИССЛЕДОВАТЕЛЬСКИЙ ИНСТИТУТ РАСХОДОМЕТРИИ (ФГУП «ВНИИР»)
ИНСТРУКЦИЯ
Государственная система обеспечения единства измерений
Система измерений количества и параметров газа по объекту «Газопровод высокого давления от ГРС-2 г. Елабуга (Центральная) до ПАО «НКНХ», ОАО «ТАИФ-НК»
Методика поверки
МП 1084-13-2020
Начальник отлей
А.И. Горчев
|-13
Тел.(843)272-11-24
г. Казань
2020 г.
РАЗРАБОТАНА ФГУП «ВНИИР»
УТВЕРЖДЕНА ФГУП «ВНИИР»
Настоящая инструкция распространяется на систему измерений количества и параметров природного газа на объекте «Газопровод высокого давления от ГРС-2 г. Елабуга (Центральная) до ПАО «НКНХ», ОАО «ТАИФ-НК» (далее - СИКГ), изготовленную ООО НПП «ГКС», г. Казань и устанавливает методику ее первичной и периодической поверок.
СИКГ предназначена для непрерывного автоматического измерения количества и параметров газа.
Для СИКГ установлена поэлементная поверка. Средства измерений (далее СИ), входящие в состав СИКГ, поверяются в соответствии с их методиками поверки, указанными в описаниях типа на СИ.
Погрешность определения объемного расхода и объема газа, приведенных к стандартным условиям, рассчитываются по метрологическим характеристикам применяемых средств измерений температуры, давления, молярных долей компонентов газа и объемного расхода при рабочих условиях.
Интервал между поверками СИКГ - 2 года.
1 Операции поверкиПри проведении поверки выполняют следующие операции: Таблица!
|
Наименование операции |
Номер пункта методики поверки |
Проведение операции при: | |
|
первичной поверке |
периодической поверке | ||
|
1 |
2 |
3 |
4 |
|
Внешний осмотр |
6.1 |
+ |
+ |
|
Проверка выполнения функциональных возможностей системы измерений |
6.2 |
+ |
+ |
|
Подтверждение соответствия программного обеспечения системы измерений |
6.3 |
+ |
+ |
|
Определение метрологических характеристик (далее - MX): |
6.4 |
+ |
+ |
|
Оформление результатов поверки |
7 |
+ |
+ |
-
2.1 При проведении поверки применяют следующие средства:
-
- рабочий эталон единицы силы постоянного электрического тока 1 разряда в диапазоне значений от 4 до 20 мА в соответствии с ГПС, утвержденной приказом Госстандарта от 1 октября 2018 г. № 2091;
-
- рабочий эталон единицы частоты 4 разряда в диапазоне значений от 0,1 до 10000 Гц в соответствии с ГПС, утвержденной приказом Госстандарта от 31 июля 2018 г. № 1621;
-
- термометр ртутный стеклянный лабораторный ТЛ-4, диапазон измерений от 0 до 55 °C, цена деления 0,1 °C;
-
- барометр-анероид БАММ-1, диапазон измерений от 80 до 106,7 кПа, цена деления шкалы 100 Па;
-
- гигрометр психрометрический ВИТ, диапазон измерений относительной влажности от 30% до 80%, цена деления термометров 0,5 °C;
-
- другие эталоны, средства поверки, приведенные в методиках поверки средств измерений, входящих в состав СИКГ.
-
2.2 Применяемые при поверке СИ должны быть аттестованы в качестве эталонов, поверены и иметь действующие свидетельства об аттестации, свидетельства о поверке или знаки поверки.
-
2.3 Допускается применение аналогичных средств поверки, обеспечивающих определение метрологических характеристик поверяемой системы измерений с требуемой точностью.
-
3.1 При проведении поверки соблюдают требования, определяемые:
-
- Правилами безопасности труда, действующими на объекте;
-
- Правилами безопасности при эксплуатации средств измерений;
-
- Федеральными нормами и правилами в области промышленной безопасности «Правила безопасности сетей газораспределения и газопотребления».
-
3.2 Управление оборудованием и СИ проводится лицами, прошедшими обучение и проверку знаний и допущенными к обслуживанию применяемого оборудования и СИ.
-
4.1 При проведении поверки соблюдают следующие условия:
природный газ
от 10 до 30
от 30 до 80 от 84 до 106,7
-
- измеряемая среда
-
- температура окружающего воздуха, °C
-
- относительная влажность окружающего воздуха, %
-
- атмосферное давление, кПа
-
4.2 Условия проведения поверки не должны выходить за рабочие условия эксплуатации комплекса измерительного и эталонных средств измерений.
-
5.1 Подготовку к поверке проводят в соответствии с руководством по эксплуатации системы измерений (далее - РЭ) и нормативными документами на поверку СИ, входящих в состав системы измерений.
-
5.2 Проверяют наличие действующих свидетельств о поверке или знаки поверки применяемых в составе СИКГ СИ.
-
5.3 Все используемые СИ должны быть приведены в рабочее положение, заземлены и включены в соответствии с руководством по их эксплуатации.
-
6.1 Внешний осмотр.
При проведении внешнего осмотра должно быть установлено соответствие поверяемой системы измерений следующим требованиям:
-
- длины прямых участков измерительных трубопроводов до и после преобразователей расхода газа ультразвуковых Daniel (далее - расходомер) должны соответствовать требованиям, установленным изготовителем расходомеров.
-
- комплектность системы должна соответствовать РЭ;
-
- на компонентах системы измерений не должно быть механических повреждений и дефектов покрытия, ухудшающих внешний вид препятствующих применению;
-
- надписи и обозначения на компонентах системы измерений должны быть четкими и соответствовать РЭ;
-
- наличие маркировки на приборах, в том числе маркировки по взрывозащите.
-
6.2 Проверка выполнения функциональных возможностей системы измерений.
-
6.2.1 При проверке выполнения функциональных возможностей системы измерений проверяют функционирование задействованных измерительных каналов расхода, температуры и давления. Проверку проводят путем подачи на входы контроллера измерительного FloBoss S600+ (далее - контроллер) сигналов, имитирующих сигналы от первичных преобразователей расхода, температуры и давления.
-
Допускается проводить проверку выполнения функциональных возможностей системы измерений непосредственно с применяемых СИ, если разрешающая способность контроллера достаточна для индикации изменений физической величины. При этом следует выбирать минимальный интервал осреднения.
Результаты проверки считаются положительными, если при увеличении/уменьшении значения входного сигнала соответствующим образом изменяются значения измеряемой величины на дисплее контроллера.
-
6.3 Подтверждение соответствия программного обеспечения системы измерений.
Программное обеспечение (ПО) системы измерений базируется на ПО, входящих в состав системы измерений серийно выпускаемых компонент, имеющих свидетельства (сертификаты) об утверждении типа средств измерений, дополнительного метрологически значимого ПО система измерений не имеет.
Проверку идентификационных данных операционной системы основного вычислительного компонента - контроллера измерительного FloBoss S600+ проводят в соответствии с руководством пользователя на контроллер. Результаты поверки считаются положительными, если идентификационные данные контроллера измерительного FloBoss S600+ соответствуют данным из Таблицы 2.
Таблица 2 - Идентификационные данные ПО
|
Идентификационные данные (признаки) |
Значение |
|
Идентификационное наименование ПО |
LinuxBinary.app |
|
Номер версии (идентификационный номер) ПО |
06.26b |
|
Цифровой идентификатор ПО (контрольная сумма) |
0x2287 |
|
алгоритм вычисления цифрового идентификатора ПО |
GOST CHECKSUM |
-
6.4 Определение метрологических характеристик.
-
6.4.1 Определение метрологических характеристик системы измерений заключается в расчете погрешности при измерении температуры, давления и объемного расхода газа в рабочих условиях, погрешности при определении объемного расхода и объема газа, приведенных к стандартным условиям.
-
6.4.2 Определение соответствия метрологических характеристик СИ, входящих в состав системы измерений, проводят в соответствии с нормативными документами на поверку, указанными в описаниях типа на СИ. Все СИ, входящие в состав системы измерений, должны быть иметь действующие свидетельства о поверке.
-
6.4.3 Относительную погрешность измерений объемного расхода и объема газа, приведенного к стандартным условиям, определяют для четырех комбинаций:
-
-
- минимальная температура, минимальное давление;
-
- минимальная температура, максимальное давление;
-
- максимальная температура, минимальное давление;
-
- максимальная температура, максимальное давление;
Расчет относительной погрешности измерений объемного расхода и объема газа, приведенного к стандартным условиям, производят для каждого ИТ вручную, либо при помощи программного обеспечения прошедшего метрологическую аттестацию. Относительную погрешность измерений объемного расхода газа, приведенного к стандартным условиям <5д , определяют по формуле:
+ + ^р^р + ^ивк >
(1)
где: - пределы допускаемой относительной погрешности при измерении объемного
расхода газа в рабочих условиях, %;
& - коэффициент влияния температуры на коэффициент сжимаемости газа
9 - коэффициент влияния давления на коэффициент сжимаемости газа;
8р - пределы допускаемой относительной погрешности измерения абсолютного давления, %;
8Т ~ пределы допускаемой относительной погрешности измерения температуры, %;
S - пределы допускаемой относительной погрешности определения коэффициента сжимаемости газа, %.
§ - пределы допускаемой относительной погрешности контроллера при
вычислении объемного расхода газа, приведенного к стандартным условиям, %.
-
6.4.3.1 Пределы допускаемой относительной погрешности при измерении объемного расхода газа в рабочих условиях определяются по формуле:

(2)

- пределы допускаемой относительной погрешности при измерении
объемного расхода газа в рабочих условиях, %;
- пределы допускаемой относительной погрешности контроллера при

преобразовании аналогового сигнала в цифровой код, %;
-
6.4.3.2 Определение относительной погрешности преобразования входных частотных сигналов по каналу измерения частоты 8
Проверяют передачу информации на участке линии связи: расходомер - контроллер.
Для этого контроллер переводят в режим обслуживания измерительного трубопровода, подают на вход контроллера с учетом линии связи частотный сигнал при помощи эталона: 50, 1000, 2000, 5000, 10000 Гц. Фиксируют значение частоты с дисплея контроллера.
По результатам измерений в каждой реперной точке вычисляют относительную погрешность по формуле

100%
(3)
где Fn - значение частота, измеренное контроллером, Гц; /^-значение частота, заданное эталоном, Гц.
Выбирают максимальное значение 8пр и подставляют в формулу (2).
-
6.4.3.3 Коэффициент влияния температуры на коэффициент сжимаемости газа определяют
по формуле:

--х —
ДГ К
(4)
где: Д/С - изменение значения коэффициента сжимаемости К при изменении
температуры на величину ДГ;
-
6.4.3.4 Коэффициент влияния давления на коэффициент сжимаемости газа определяют по формуле:

(5)
где: ДЛ" - изменение значения коэффициента сжимаемости К при изменении давления на величину ДР;
-
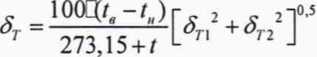
6.4.3.5 Относительная погрешность определения температуры определяют по формуле:
где Зтх

относительная погрешность датчика температуры, %;
3 - относительная погрешность контроллера измерительного;
t - температура газа, °C;
-
6.4.3.6 Определение относительной погрешности преобразования входных аналоговых сигналов по каналу измерения температуры 3Т2.
Контроллер переводят в режим обслуживания измерительного трубопровода. Отключают датчик температуры и с помощью калибратора тока подают на вход контроллера аналоговый сигнал, который соответствует значению температуры для текущей комбинации. Значение аналогового сигнала определяется по формуле:
)
(7)
где 1в, ///-соответственно верхнее и нижнее предельные значения выходного сигнала, мА;
Тв, Г//- соответственно верхний и нижний предел измерений, °C;
Г - значение задаваемой величины, °C.
Считывают значение тока с дисплея контроллера. Определяют относительную погрешность для каждого значение тока.

а 00%
(8)
где 1К - показание контроллера, мА;
/э - заданное при помощи калибратора значение тока, мА.
Значение £7 2П подставляют в формулу (6).
6.4.3.7 Относительная погрешность определения давления определяют по формуле:

0.5
(9)

пределы допускаемой относительной погрешности датчика давления, %;
- относительная погрешность контроллера измерительного, %;
6.4.3.8 Определение относительной погрешности преобразования входных аналоговых сигналов по каналу измерения абсолютного давления 31>2.
Контроллер переводят в режим обслуживания измерительного трубопровода. Отключают преобразователь давления и с помощью калибратора тока подают на вход контроллера аналоговый сигнал, который соответствует значению абсолютного давления для текущей комбинации. Значение аналогового сигнала определяется по формуле:
)
(Ю)
где 1в, 1н - соответственно верхнее и нижнее предельные значения выходного сигнала, мА;
Рв, Рн - соответственно верхний и нижний предел измерений, МПа;
Р - значение задаваемой величины, МПа.
Считывают значение тока с дисплея контроллера. Определяют относительную погрешность для каждого значение тока.

1,
(Н)
где А- - показание контроллера, мА;
1? - заданное при помощи калибратора значение тока, мА.
Значение 3Р2 подставляют в формулу (9).
6.4.3.9 Пределы допускаемой относительной погрешности определения коэффициента сжимаемости газа определяется по формуле:
6К =^2КМ+32КЮ ■ (12)
где 5К
м
-
- методическая погрешность определения коэффициента сжимаемости газа, определяемая по ГОСТ 30319.3-2015;
-
- относительная погрешность определения коэффициента сжимаемости, связанная с погрешностью измерения исходных данных;
Относительная погрешность определения коэффициента сжимаемости, связанная с погрешностью измерения исходных данных определяется по формуле:
5
(13)
где - относительная погрешность определения z-го компонента в газовой смеси, %;
<9х1 - коэффициенты влияния z-го компонента в газовой смеси на коэффициент
сжимаемости.
Коэффициенты влияния /-го компонента в газовой смеси на коэффициент сжимаемости определяются по формуле:
(14)
Дх, К
где: ДЛ? - изменение значения коэффициента сжимаемости К при изменении i-ro компонента на величину Ах;
6.4.3.10 Результаты поверки считаются положительными, если пределы относительной погрешности измерений объемного расхода и объема газа, приведенных к стандартным условиям, в каждой из четырех комбинаций не превышают ± 0,8 %.
7 Оформление результатов поверки-
7.1 Результаты поверки заносят в протокол произвольной формы.
-
7.2 Положительные результаты поверки оформляют свидетельством по Приказу Минпромторга России от 02.07.2015 № 1815 «Об утверждении Порядка проведения поверки средств измерений, требования к знаку поверки и содержанию свидетельства о поверке». Знак поверки наносится на свидетельство о поверке или паспорт (формуляр) СИКГ.
-
7.3 При отрицательных результатах поверки систему измерений не допускают к применению, выписывается извещение о непригодности к применению.
