Методика поверки «Государственная система обеспечения единства измерений СИСТЕМА КОММЕРЧЕСКОГО УЧЕТА И КОНТРОЛЯ РЕЗЕРВУАРНЫХ ЗАПАСОВ ПАРКА ТОВАРНЫХ НЕФТЕПРОДУКТОВ ENTIS- Т.910-01» (MП 1123-7-2019)
ФЕДЕРАЛЬНОЕ АГЕНТСТВО ПО ТЕХНИЧЕСКОМУ РЕГУЛИРОВАНИЮ И МЕТРОЛОГИИ
Федеральное государственное унитарное предприятие «Всероссийский научно-исследовательский институт расходометрии»
Государственный научный метрологический центр
ФГУП «ВНИИР»
УТВЕРЖДАЮ
Тайбинский
2019 г.
развитию
Государственная система обеспечения единства измерений
СИСТЕМА КОММЕРЧЕСКОГО УЧЕТА И КОНТРОЛЯ РЕЗЕРВУАРНЫХ ЗАПАСОВ ПАРКА ТОВАРНЫХ НЕФТЕПРОДУКТОВ ENTIS- Т.910-01 Методика поверки МП 1123-7-2019Начальник отдела НИО-7

А.В. Кондаков : (843) 272-54-55
Казань 2019 г.
Настоящая методика поверки распространяется на Систему коммерческого учета и контроля резервуарных запасов парка товарных нефтепродуктов Entis- т.910-01 (далее -система), предназначенную для измерений уровня, температуры, плотности и массы нефти и нефтепродуктов (далее - продукт).
Настоящий документ устанавливает методику первичной и периодической поверки.
Интервал между поверками - 1 год.
1 ОПЕРАЦИИ ПОВЕРКИ-
1.1 При проведении поверки системы должны быть выполнены операции, указанные в таблице 1.
Таблица 1
|
Наименование операции |
Номер пункта документа |
Проведение операции при | |
|
первичной поверке |
периодической поверке | ||
|
1 |
2 |
3 |
4 |
|
Внешний осмотр |
6.1 |
Да |
Да |
|
Опробование |
6.2 |
Да |
Да |
|
Определение пределов основной допускаемой абсолютной погрешности измерений уровня |
6.3 |
Да |
Да |
-
2.1 При проведении поверки системы должны применяться следующие основные и вспомогательные средства поверки.
-
2.1.1 Рабочий эталон единицы температуры 3 разряда в диапазоне значений от 0 до плюс 95 °C по ГОСТ 8.558-2009 с пределом допускаемой абсолютной погрешности не более ±0,2 °C (Термометр цифровой малогабаритный ТЦМ 9410).
-
2.1.2 Рулетка измерительная металлическая с грузом 2 класса точности.
-
2.1.3 Плотномер ПЛ0Т-ЗБ-1Рс пределами допускаемой абсолютной погрешности измерения плотности ±0,5 кг/м1.
-
2.1.4 Термометр метеорологический стеклянный по ГОСТ 112-78.
-
2.1.5 Психрометр аспирационный по [1].
-
2.1.6 Барометр-анероид БАММ-1.
-
-
2.2 Допускается применение других основных и вспомогательных средств поверки с аналогичными или лучшими метрологическими характеристиками. Типы применяемых средств поверки должны быть утверждены в соответствии [2], внесены в Госреестр средств измерений (СИ), поверены в соответствии с [3] и иметь действующие свидетельства о поверке.
оборудование, а также прошедших инструктаж по безопасности труда в соответствии с ГОСТ 12.0.004-90.
-
3.3 Соблюдать требования правил техники безопасности, указанные в технической документации на поверяемую систему, применяемое эталонное и вспомогательное оборудование.
-
4.1 Предоставляемая на поверку система комплектуется следующими документами:
-
- настоящей методикой поверки, утвержденной в установленном порядке;
-
- эксплуатационной и технической документацией на систему;
-
- свидетельством о предшествующей поверки системы при наличии.
-
4.2 При поверке соблюдают следующие условия:
-
- температура окружающего воздуха от плюс 5 до плюс 35 °C;
-
- относительная влажность воздуха, не более 80%;
-
- атмосферное давление от 84,0 до 106,7 кПа.
-
4.3 Допускается проведение поверки отдельных измерительных каналов при указании их в заявке на проведение поверки.
-
4.4 В свидетельстве о поверке и/или в приложении к нему приводится перечень автономных измерительных блоков, входящих в состав системы. В случае если некоторые из резервуаров, на которых установлена система выведены из эксплуатации, поверка проводится без них и они не указываются в перечне.
Перед проведением поверки должны быть выполнены следующие подготовительные работы:
-перед проведением поверки системы производится юстировка уровнемеров по процедуре, описанной в их технической документации;
-
- выдерживают средства поверки в течение 30 минут при температуре окружающей среды;
-проверяют наличие, комплектность и состояние эксплуатационных документов, свидетельств о поверке всех средств измерений, входящих в состав системы;
-
- проверяют наличие действующих градуировочных таблиц на резервуары, на которых установлены системы;
-
- через программное обеспечение системы оператор или иное лицо, имеющее доступ, открывает градуировочные таблицы, занесенные в программное обеспечение системы;
-
- проверяется соответствие бумажного варианта градуировочных таблиц и электронного варианта, занесенного в программное обеспечение системы;
-
- на момент поверки в резервуарах уровень продукта должен быть больше 3,5 метров;
-проверяют соблюдение условий п 4.2.
Подключение и монтаж поверочного и вспомогательного оборудования выполняются в соответствии с требованиями эксплуатационной документации на соответствующее оборудование и руководством по эксплуатации.
-
6 ПРОВЕДЕНИЕ ПОВЕРКИ
При внешнем осмотре должно быть установлено:
-
- комплектность измерительных каналов системы;
-
- соответствие системы требованиям технической документации в части маркировки, упаковки, транспортирования и хранения;
-
- отсутствие повреждений и дефектов, ухудшающих внешний вид системы и всех средств измерений, входящих в состав системы, и препятствующих проведению поверки;
-
- наличие заводских номеров всех средств измерений, входящих в состав системы.
-
6.2.1 Операция «Подтверждение соответствия программного обеспечения» включает:
-
- определение идентификационного наименования программного обеспечения;
-
- определение номера версии (идентификационного номера) программного обеспечения;
-
- определение цифрового идентификатора (контрольной суммы исполняемого кода) программного обеспечения.
-
6.2.2 Результат подтверждения соответствия программного обеспечения считается положительным, если полученные идентификационные данные ПО СИ (идентификационное наименование, номер версии (идентификационный номер) и цифровой идентификатор) соответствуют идентификационным данным, указанным в разделе «Программное обеспечение» описания типа средства измерений.
-
6.3.1 При опробовании производится проверка работоспособности всех измерительных каналов и системы в целом.
-
6.3.2 Результаты опробования считаются положительными, если система отображает данные, получаемые от всех средств измерений, входящих в состав системы.
-
6.4.1 Определение абсолютной погрешности канала измерения уровня системы производят при помощи рулетки измерительной металлической с грузом 2-го класса точности в трех контрольных точках рабочего диапазона системы одним из двух способов- при измерении уровня от дна, в случае если уровень продукта менее 0,5Нб,или при измерении газового пространства, в случае если уровень продукта менее 0,5Нб, где Нб - базовая высота резервуара.
-
6.4.2 При измерении уровня от дна для каждого резервуара, на котором установлена система производится измерение уровня продукта в следующей последовательности:
а) опускают рулетку с грузом по направляющему пазу измерительного люка резервуара медленно до точки касания днища грузом рулетки, не допуская отклонения её от вертикального положения, не задевая за внутреннее оборудование и сохраняя спокойное состояние поверхности продукта, не допуская образования волн;
б) поднимают рулетку вверх строго вертикально, не допуская смещения в сторону, чтобы избежать искажения линии смачивания на шкале рулетки;
в) отсчитывают показание шкалы ленты рулетки Н с точностью до 1 мм;
г) измерения уровня продукта проводят не менее двух раз. Если расхождение между результатами двух измерений составляет не более 2 мм, то за результат измерений уровня продукта принимают среднее значение. Если полученное расхождение составляет более 2 мм, то измерения повторяют ещё дважды и за результат измерений уровня продукта принимают среднее арифметическое по трем наиболее близким значениям результатов её измерений.
Примечание - при необходимости для определения уровня продукта на ленту рулетки в месте предполагаемого уровня продукта тонким слоем наносится бензочувствительная паста.
-
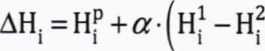
6.4.3 Значение абсолютной погрешности канала измерения уровня системы АН., мм, вычисляют по формуле
AH.=HP-i-aHP(t-20)-H^ (1)
где Hf- показание канала измерения уровня системы, мм;
HJ5- показание уровня, измеренное по п.6.4.3, мм;
СХ, -коэффициент линейного расширения материала измерительной ленты (для углеродистой стали ОС = 1, 2 х10 5, для нержавеющей стали ОС = 2,0 х 10 5;
t - температура продукта в резервуаре, °C.
За основную абсолютную погрешность измерений канала измерения уровня поверяемой системы принимают наибольшее значение, определенное по формуле (1).
-
6.4.4 При измерении высоты газового пространства для каждого резервуара, на котором установлена система производится измерение уровня продукта в следующей последовательности:
а) по результатам измерения уровня системой и учитывая значение базовой высоты резервуара вычисляется примерное значение высоты газового пространства;
б) опускают рулетку с грузом по направляющему пазу измерительного люка резервуара медленно таким образом, чтобы лот рулетки находился в продукте, не допуская отклонения ленты рулетки от вертикального положения, не задевая за внутреннее оборудование и сохраняя спокойное состояние поверхности продукта, не допуская образования волн;
в) отсчитывают показание шкалы ленты рулетки Н1 с точность до 1 мм;
г) поднимают рулетку вверх строго вертикально, не допуская смещения в сторону, чтобы избежать искажения линии смачивания на шкале рулетки;
д) отсчитывают показание шкалы ленты рулетки Н2 с точностью до 1 мм;
е) значение уровня вычисляется по формуле
(2)
где Нб - текущая базовая высота резервуара.
ж) измерения уровня продукта проводят не менее двух раз. Если расхождение между результатами двух измерений составляет не более 2 мм, то за результат измерений уровня продукта принимают среднее значение. Если полученное расхождение составляет более 2 мм, то измерения повторяют ещё дважды и за результат измерений уровня продукта принимают среднее арифметическое по трем наиболее близким значениям результатов её измерений.
Примечание - при необходимости для определения уровня продукта на ленту рулетки в месте предполагаемого уровня продукта тонким слоем наносится бензочувствительная паста.
-
6.4.5 Значение абсолютной погрешности канала измерения уровня системы АН 4, мм, вычисляют по формуле



(3)
где Н^- показание канала измерения уровня системы, мм;
Н?- показание уровня, измеренное по п.6.4.5, мм;
СХ, -коэффициент линейного расширения материала измерительной ленты (для углеродистой стали (X = 1, 2 х10 ‘5, для нержавеющей стали (X = 2,0 х 10 5;
t - температура воздуха, °C.
За основную абсолютную погрешность измерений канала измерения уровня поверяемой системы принимают наибольшее значение, определенное по формуле (3).
-
6.4.6 Систему считают выдержавшим поверку, если полученные значения погрешности измерения уровня не превышают ±3 мм.
-
6.4.7 Определение абсолютной погрешности канала измерения температуры системы производят при помощи термометра цифрового малогабаритного ТЦМ 9410 путем сличения показаний термометра цифрового малогабаритного с термопреобразователем, входящим в состав системы.
-
6.4.8 При помощи закрытого пробоотборника из каждого резервуара, на котором установлена система, поочередно отбирается три пробы, с уровней, соответствующих уровню установки термопреобразователей системы.
-
6.4.9 В случае, если резервуар оборудован автоматическим пробоотборником, измеряется температура в объединенной пробе.
-
6.4.10 Термометр цифровой малогабаритный ТЦМ 9410 выдерживается в пробе не менее 3 минут.
Примечание-в случае использования датчика ТТЦ 14-180-3 или аналогичного температура продукта измеряется непосредственно в резервуаре на уровнях, соответствующих уровню установки термопреобразователей системы.
-
6.4.11 Значение абсолютной погрешности измерения температуры системы ДТ , мм, вычисляют по формуле:

(4)
где 7е -значение температуры продукта, измеренное системой для данного термопреобразователя, °C;
Тэ - показание термометра цифрового малогабаритного, °C.
Примечание-в случае, если резервуар оборудован автоматическим пробоотборником, 7е - среднее значение температуры продукта в резервуаре, измеренное системой.
-
6.4.12 За основную абсолютную погрешность измерений канала измерения температуры поверяемой системы принимают наибольшее значение, определенное по формуле (4).
-
6.4.13 Систему считают выдержавшим поверку, если полученные значения погрешности измерения температуры не превышают ±0,5 °C.
-
6.4.14 Определение абсолютной погрешности канала измерения плотности системы производят при помощи Плотномера ПЛОТ-ЗБ-1Р.
-
6.4.15 Для каждого резервуара, на котором установлена система, при помощи плотномера Плот ЗБ измеряется значение плотности продукта на трех уровнях:
верхнего - на 250 мм ниже поверхности нефти или нефтепродукта;
среднего - с середины высоты столба нефти или нефтепродукта;
нижнего: для нефти - нижний срез приемораздаточного патрубка (хлопушки) по внутреннему диаметру, для нефтепродукта - на 250 мм выше днища резервуара.
Для резервуара, у которого приемораздаточный патрубок находится в приемке, за нижний уровень отбора пробы нефти принимают уровень на расстоянии 250 мм от днища резервуара.
-
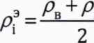
6.4.16 Среднее значение плотности продукта в резервуаре вычисляется по формуле

(5)
где р - значение плотности, измеренное на верхнем уровне.

р - значение плотности, измеренное на нижнем уровне.
-
6.4.17 При высоте уровня нефти или нефтепродукта в резервуаре не выше 2000 мм (или остаток после опорожнения) измерения проводят на верхнем и нижнем уровнях.
-
6.4.18 Среднее значение плотности продукта в резервуаре вычисляется по формуле
ниж
(6)
-
6.4.19 При высоте уровня нефтепродукта менее 1000 мм (остаток после опорожнения) среднее значение плотности измеряется в одной точке на нижнем уровне.
-
6.4.20 Значение абсолютной погрешности измерения плотности системы Др., мм, вычисляют по формуле:

(7)
где рс} -значение плотности продукта, измеренное системой, кг/м3;
/7Э - среднее значение плотности продукта, вычисленное по п.6.4.15-6.4.18, кг/м3.
-
6.4.21 Систему считают выдержавшим поверку, если полученные значения абсолютной погрешности измерения плотности не превышают ±3 кг/м \
-
6.4.22 Определение погрешности канала измерения массы системы.
При положительных результатах определения погрешности каналов измерения уровня, плотности и температуры системы, относительная погрешность определения принятой (отпущенной) и хранимой массы продукта не превышает значений, предусмотренных в методиках: «ГСП. МАССА НЕФТИ. Методика измерений косвенным методом статических измерений в вертикальных резервуарах в резервуарных парках ООО «PH - Туапсинский НПЗ» и «ГСИ. МАССА НЕФТЕПРОДУКТОВ. Методика измерений косвенным методом статических измерений в вертикальных резервуарах в резервуарных парках ООО «PH - Туапсинский НПЗ».
-
6.4.23 Результаты измерений уровня, температуры и плотности заносят в протокол поверки, форма которого приведена в приложении А.
-
7.1 При положительных результатах поверки системы выдают свидетельство о поверке в соответствии с порядком, установленным в правилах [3].
-
7.2 Отрицательные результаты поверки системы оформляются согласно правилам [3].
ПРИЛОЖЕНИЕ А
(рекомендуемое)
Форма протокола поверки системы
ПРОТОКОЛ ПОВЕРКИ №_______ Стр. из
Наименование средства измерений:
Тип, модель, изготовитель:
Заводской номер:
Перечень средств измерений, входящих в состав системы:
Владелец:
Наименование заказчика:
Методика поверки:
Место проведения поверки:
Поверка выполнена с применением:
Условия проведения поверки:Температура окружающей воздуха: ___°C
Атмосферное давление: ____кПа
Относительная влажность воздуха: _____%
Внешний осмотр:_____________
Результаты опробования:______________
Определение идентификационных данных ПО:_____________
должность лица, проводившего поверку
подпись
Ф.И.0
Таблица А.1
|
Зав. № уровнемера, входящего в состав системы |
Показание измерительной рулетки, мм |
Показание канала измерения уровня системы, мм |
Абсолютная погрешность канала измерения уровня системы, мм |
Дата поверки______________
Таблица А.2
|
Зав. № измерителя температуры, входящего в состав системы |
Показание канала измерения температуры системы, °C |
Показания эталонного средства измерений, °C |
Абсолютная погрешность канала измерения температуры системы, °C |

Таблица А.З
|
Зав. № датчика плотности, входящего в состав системы |
Показание канала измерения плотности системы, кг/м3 |
Показания эталонного средства измерений, кг/м3 |
Среднее значение плотности, измеренное эталонным средством измерений, кг/м3 |
Относительная погрешность канала измерения плотности системы, кг/м3 |
должность лица, проводившего поверку
подпись
Ф.И.О
Дата поверки______________
БИБЛИОГРАФИЯ
[1] ТУ 25.1607.054-85
[2] Приказ Министерства промышленности и торговли РФ №1081 от 30.11.2009
[3] Приказ Министерства промышленности и торговли РФ №1815 от 02.06.2015
Психрометр аспирационныйМВ-4-М, МВ-4-2М, М-34, М-
34-М.
Об утверждении Порядка проведения испытаний стандартных образцов или средств измерений в целях утверждения типа, Порядка утверждения типа стандартных образцов или типа стандартных образцов или типа средств измерений, установления и изменения срока действия указанных свидетельств и интервала между поверками средств измерений, требований к знакам утверждения типа стандартных образцов или типа средств измерений и порядка их нанесения.
Об утверждении Порядка проведения поверки средств измерений, требования к знаку поверки и содержанию свидетельства о поверке.
ФГУП«ВНИИР»
Страница 11 из 11
ТРЕБОВАНИЯ К КВАЛИФИКАЦИИ ПОВЕРИТЕЛЕЙ И БЕЗОПАСНОСТИ
-
3.1 Поверку системы проводит лицо, аттестованное в качестве поверителя в установленном порядке.
-
3.2 К поверке системы допускают лиц, изучивших настоящий документ,
эксплуатационную документацию на систему, эталон уровня и вспомогательное ФГУП «ВНИИР» Страница 2 из 11
