Методика поверки «Государственная система обеспечения единства измерений УСТАНОВКА ТРУБОПОРШНЕВАЯ ТПУ САПФИР М100-4,0» (MП 1049-1-2019)
ФЕДЕРАЛЬНОЕ АГЕНТСТВО ПО ТЕХНИЧЕСКОМУ РЕГУЛИРОВАНИЮ И МЕТРОЛОГИИ
Федеральное государственное унитарное предприятие «Всероссийский научно-исследовательский институт расходометрии»
Государственный научный метрологический центр
ФГУП «ВНИИР»
УТВЕРЖДАЮ

ФГУП «ВНИИР»
А.С. Тайбинский
2019 г.
ИНСТРУКЦИЯ
Государственная система обеспечения единства измерений
УСТАНОВКА ТРУБОПОРШНЕВАЯ ТПУ САПФИР Ml00-4,0
Методика поверки
МП 1049-1-2019
Корнеев тел. отдела: (843) 272-12-02
г. Казань 2019
Настоящая инструкция распространяется на установки трубопоршневые ТПУ Сапфир Ml00-4,0 (далее - ТПУ), предназначенные для измерений, хранения и передачи единиц объема жидкости в потоке и объемного расхода жидкости, устанавливает методику и последовательность их первичной и периодической поверок.
Интервал между поверками - 1 год.
1 ОПЕРАЦИИ ПОВЕРКИ-
1.1 При проведении поверки выполняют следующие операции:
-
- внешний осмотр (пункт 6.1);
-
- опробование (пункт 6.2);
-
- определение метрологических характеристик (пункт 6.3).
-
2.1 При определении метрологических характеристик по пункту 6.3.1 применяют вторичный эталон единиц объема жидкости в потоке и объемного расхода жидкости в соответствии с частью 2 Государственной поверочной схемы для средств измерений массы и объема жидкости в потоке, объема жидкости и вместимости при статических измерениях, массового и объемного расходов жидкости, утвержденной приказом Росстандарта от 7 февраля 2018 г. № 256, (далее - ВЭ) с доверительными границами суммарной погрешности ±0,04%.
-
2.2 При поверке средств измерений, входящих в состав ТПУ, должны быть применены средства поверки в соответствии с методиками поверки, указанными в разделах «Поверка» описаний типа, являющихся обязательным приложением к свидетельствам об утверждения типа, на данные средства измерений.
-
2.3 Допускается применение аналогичных средств поверки, обеспечивающих определение метрологических характеристик поверяемых СИ с требуемой точностью.
-
3.1 Перед началом проведения поверки по пункту 6.3.1 выполняют требования безопасности:
-
- действующие на предприятии, на котором производится поверка;
-
- изложенные в руководстве по эксплуатации ТПУ;
-
- изложенные в эксплуатационных документах на средства поверки.
При проведении поверки должны соблюдаться требования «Правил технической эксплуатации электроустановок потребителей» и «Правил техники безопасности при эксплуатации электроустановок потребителей».
К выполнению измерений при поверке допускаются лица, изучившие руководство по эксплуатации ТПУ и эксплуатационные документы на средства поверки, применяемые при поверке, а также прошедшие обучение и инструктаж по технике безопасности.
Перед началом поверки необходимо проверить исправность соединений трубопроводов, системы электропитания и заземления ТПУ.
-
3.2 К средствам поверки и используемому при поверке оборудованию обеспечивают свободный доступ. При необходимости предусматривают лестницы и площадки, соответствующие требованиям безопасности.
Освещенность должна обеспечивать отчетливую видимость применяемых средств поверки.
-
3.3 Перед началом поверки средств измерений, входящих в состав ТПУ, необходимо выполнить требования безопасности в соответствии с методиками поверки, указанными в разделах «Поверка» описаний типа, являющихся обязательным приложением к свидетельствам об утверждения типа, на данные средства измерений.
-
4.1 При проведении поверки соблюдают следующие условия:
-
- измеряемая среда вода по
СанПиН 2.1.4.1074-2001;
-
- температура измеряемой среды, °C (20 ± 5);
-
- температура окружающего воздуха, °C (20 ± 5);
-
- относительная влажность окружающего воздуха, % от 30 до 80;
-
- атмосферное давление, кПа от 84 до 107.
Отклонение поверочного расхода от установленного значения в процессе поверки не должно превышать ±2,5%.
Движение поршня ТПУ при проведении измерений должно быть равномерным.
Должны отсутствовать потоки воздуха в помещении (например, сквозняков).
Вблизи средств поверки или ТПУ должны отсутствовать какие-либо нагревательные элементы, способствующие одностороннему нагреванию средств поверки или ТПУ.
-
4.2 При поверке средств измерений, входящих в состав ТПУ, должны быть соблюдены условия поверки в соответствии с методиками поверки, указанные в разделах «Поверка» описаний типа, являющихся обязательным приложением к свидетельствам об утверждения типа на данные средства измерений.
-
5.1 При подготовке к поверке выполняют следующие работы:
-
- проверяют выполнение условий разделов 2-4 настоящей инструкции;
-
- подготовку к работе ТПУ и средств поверки согласно их эксплуатационных документов;
-
- проверку герметичности фланцевых соединений и узлов гидравлической системы рабочим давлением.
-
5.2 При подготовке к поверке средств измерений, входящих в состав ТПУ, должны быть выполнены работы в соответствии с методиками поверки, указанными в разделах «Поверка» описаний типа, являющихся обязательным приложением к свидетельствам об утверждения типа, на данные средства измерений.
-
5.3 Перед проведением поверки ТПУ, которая находилась в эксплуатации проверяют степень очистки ее внутренней поверхности. Чистоту' внутренней поверхности ТПУ после промывки считают удовлетворительной, если в пробе измеряемой среды, отобранной из ТПУ в стеклянный сосуд, отсутствуют масленые и иные следы измеряемой среды, применяемой при эксплуатации.
-
6.1 Внешний осмотр
При внешнем осмотре устанавливают соответствие ТПУ следующим требованиям:
-
- комплектность и маркировка должны соответствовать требованиям эксплуатационных документов;
-
- на ТПУ не должно быть внешних механических повреждений, влияющих на ее работоспособность.
Результаты проверки считаются положительными если комплектность и маркировка ТПУ соответствуют требованиям эксплуатационных документов, а на ТПУ отсутствуют внешние механические повреждений, влияющих на ее работоспособность.
-
6.2 Опробование
При опробовании определяют работоспособность ТПУ.
Производят подключение ТПУ к ВЭ в соответствии с требованиями их эксплуатационных документов. Устройство переключение потока ВЭ синхронизуется с сигналами детекторов ТПУ.
Производят запуск поршня ТПУ и проверяют работоспособность средств поверки, применяемых для поверки ТПУ, в соответствии с их эксплуатационными документами.
Опробование считается положительным, если шар движется равномерно и подтверждена работоспособность средств поверки, применяемых для поверки ТПУ.
-
6.3 Определение метрологических характеристик
-
6.3.1 Перед определением метрологических характеристик ТПУ удаляют воздух из ТПУ. Для этого производят несколько раз пуск поршня, проверяя после каждого пуска отсутствие воздуха. Считают, что воздух удален полностью, если из кранов вытекает струя измеряемой среды без воздушных пузырьков. Операции по проверке отсутствия воздуха в ТПУ проводят после каждого перерыва в работе с остановкой насоса.
-
Обеспечивают циркуляцию измеряемой среды в ТПУ для стабилизации температуры измеряемой среды.
Температуру и давление в каждой точке (на входе и выходе ТПУ) принимают равной среднему значению двух измерений, произведенных при переходе переключающего устройства в положение в «бак» и на «пролет». Разность температуры в конце и начале измерения в каждой точке не должна превышать 0,2 °C. При использовании термометров и манометров с визуальным отсчетом допускается фиксировать температуру и давление в процессе прохождения поршня.
Измерения производят не менее 7 раз на расходе Qi и не менее 3 раз на расходе Q2. Причем расход Qi в два раза превышает значение на точке расхода Q2. Значение Q2 может быть меньше наименьшего расхода ТПУ.
Среднее значение вместимости ТПУ в нормальных условиях, м3, определяют по формуле:
«5 = (1)
где Vj - вместимость ТПУ на j-ой точке расхода приведенная к плюс 20 °C, м3;
V(j - вместимость ТПУ при i-ом измерении в j-ой точке расхода приведенная к
плюс 20 °C, м3;
п - количество измерений на каждой точке расхода.
Vij — ^ВЭ ij ‘ Ktpmij ' ^Tij> (2)
где Ивэ - объем воды по показаниям ВЭ, м3;
KTij - коэффициент, характеризующий разновременность срабатывания детекторов ТПУ и переключающего устройства ВЭ;
Ktpmij ~ среднее значение коэффициента, учитывающего влияние разности температуры в ТПУ и ВЭ, влияние температуры и давления воды на вместимость ТПУ.

7*Tnyi j
T'lJ '

где Ттпу - время прохождения поршня ТПУ между детекторами, с;

- интервал времени между импульсами сигналов детекторов положения переключающего устройства при переключении его в положение в «бак» и на «пролет», с.
Ktpmij
= l-3-aT-(tyy-20)-^-5-Pyy,
(4)
-
- средняя температура в ТПУ за одно измерение, °C;
-
- коэффициент линейного расширения материала ТПУ, °C’1;
Ру - среднее давление в ТПУ в момент измерений, МПа;
Е - модуль упругости материала стенок ТПУ, МПа;
Д - внутренний диаметр калиброванного участка ТПУ, мм; S - толщина стенок ТПУ, мм.

ЕувхЦ + ^увыхЦ
где
£увых
значение температуры измеряемой среды на входе ТПУ, °C;
значение температуры измеряемой среды на выходе ТПУ, °C.
п _ ^yBxij+^yBbixij
~ 2 ’
-
(5)
-
(6)
где Рувх - значение давления измеряемой среды на входе ТПУ, МПа;
Рувых ~ значение давления измеряемой среды на выходе ТПУ, МПа.
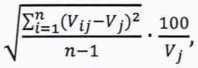
Среднеквадратическое отклонение случайной составляющей погрешности, %, определяется на расходе Qi по формуле:

(7)
Коэффициент, показывающий изменение объема ТПУ в зависимости от расхода в диапазоне исследуемых расходов, %, определяют по формуле:
^=^•100,%, (8)
V1
где 0v - коэффициент, показывающий изменение объема ТПУ в зависимости от расхода в диапазоне исследуемых расходов, являющейся составляющей систематической составляющей ТПУ, в диапазоне исследуемых расходов, %;
Т2 - вместимости ТПУ, определенные по формуле (1) при расходах Qi и Q? соответственно, м3.
Неисключенную систематическую погрешность, %, вычисляют по формуле:

где 0ВЭ - неисключенная систематическая погрешность ВЭ, %;
- систематическая составляющая погрешности при измерении температуры ТПУ (при отсутствии информации о значении данной величины применяется равной абсолютной погрешности средств измерений, применяемых для измерений температуры), °C;
Др - систематическая составляющая погрешности при измерении давления ТПУ (при отсутствии информации о значении данной величины применяется равной абсолютной погрешности средств измерений, применяемых для измерений давления), МПа;
Относительную погрешность ТПУ при определении вместимости, %, вычисляют по формулам:
< 6 = к • Ss
< k = , (10)
Sj+Sq
£o = f0,95 ’ $/
V Se л
где Sq - среднееквадратическое отклонение неисключенной систематической погрешности, %;
80 - доверительные границы случайной составляющей погрешности ТПУ, %;
^0.95 ~ коэффициент Стьюдента, который в зависимости от доверительной
вероятности Р=0,95 и количества измерений п находится в соответствии с ГОСТ 8.736-2011 «Государственная система обеспечения единства измерений. Измерения прямые многократные. Методы обработки результатов измерений. Основные положения»;
- суммарное среднееквадратическое отклонение оценки измеряемой величины, %.
Определение отклонения вместимости ТПУ от значения предыдущей поверки (при периодической поверке) определяется по формуле:
ди=^=-100, (11)
•'ОПП
где К)пп ~ значение вместимости ТПУ, полученная при предыдущей поверке, м3.
ТПУ считается прошедшей поверку: если среднеквадратическое отклонение при измерении вместимости калиброванного участка ТПУ, Sj, не превышает 0,015%; коэффициент, показывающий изменение объема ТПУ в зависимости от расхода в диапазоне исследуемых расходов, являющейся составляющей систематической составляющей ТПУ в диапазоне исследуемых расходов, 6V, не превышает 0,0175%; отклонение вместимости ТПУ от значения предыдущей поверки Av (при периодической поверке) не превышает ±0,03%; относительная погрешность при определении вместимости ТПУ, 6, не превышает ±0,05%.
-
6.3.2 Поверку средств измерений, входящих в состав ТПУ, проводят в соответствии с нормативными документами, указанными в разделах «Поверка» описаний типа, являющихся обязательным приложением к свидетельству об утверждения типа на данные средства измерений. Поверку средства измерений, входящего в состав ТПУ допускается не проводить, если данные средства измерений имеют действующие знаки поверки.
-
7.1 Результаты поверки оформляют протоколом поверки произвольной формы.
-
7.2 При положительных результатах поверки оформляют свидетельство о поверке ТПУ в соответствии с приказом Минпромторга России от 02 июля 2015 г. №1815 «Об утверждении Порядка проведения поверки средств измерений, требования к знаку поверки и содержанию свидетельства о поверке». Наносят знак поверки на свидетельство о поверке и свинцовые (пластмассовые) пломбы, установленные в соответствии с рисунками 2 и 3 описания типа на ТПУ.
-
7.3 В свидетельстве о поверке указывают:
-
- диапазон расхода ТПУ, м3/ч;
-
- вместимость калиброванного участка, V19 м3;
-
- среднеквадратическое отклонение случайной составляющей погрешности, Sj, %;
-
- доверительные границы случайной составляющей погрешности ТПУ, е0, %;
-
- неисключенню систематическую погрешность, 0Е, %;
-
- относительную погрешность, 6, %.
-
7.4 В свидетельстве о поверке или в протоколе поверке указывают перечень свидетельств о поверке средств измерений, входящих в состав ТПУ.
-
7.5 При отрицательных результатах поверки ТПУ к эксплуатации не допускают, выдают «Извещение о непригодности к применению» с указанием причин в соответствии с приказом Минпромторга России от 02 июля 2015 г. №1815 «Об утверждении Порядка проведения поверки средств измерений, требования к знаку поверки и содержанию свидетельства о поверке».
7
