Методика поверки «Компараторы массы ВК» (МП 2301-281-2015)
ФГУП

Методика поверки
МП №2301-281-2015
.u.d .fc'SMS-tGРуководитель лаборатории госэталонов в области измерений массы и силы ФГУП «В М им. Д.И. Менделеева» А. Ф. Остривной

г. Санкт-Петербург 2015 г.
СОДЕРЖАНИЕ
Настоящая методика поверки распространяется на компараторы массы ВК (далее -компараторы), изготовленные обществом с ограниченной ответственностью «ПетВес», г. Санкт-Петербург (ООО «ПетВес»), и устанавливает методы и средства их первичной поверки, после ремонта и периодической поверки в процессе эксплуатации.
Интервал между поверками - 1 год.
1 Операции и средства поверки1.1. При проведении поверки должны быть выполнены следующие операции и применены средства измерений с характеристиками, указанными в таблице 1.
Таблица 1
|
Наименование операции |
Номер пункта методики поверки |
Средства поверки и их технические характеристики |
Обязательность проведения операций при первичной и периодической поверке |
|
1. Внешний осмотр |
5.1 |
- |
да |
|
2. Опробование |
5.2 |
В соответствии с Руководством по эксплуатации |
да |
|
3. Проверка соответствия программного обеспечения |
5.3 |
— |
да |
|
3. Определение значения среднеквадратического отклонения (далее - СКО) показаний |
5.4 |
Эталонные гири 4-го разряда по ГОСТ 8.021-2015, номинальная масса гирь выбирается по таблице 2 |
да |
Для контроля параметров окружающего воздуха должны быть применены следующие средства:
- термометр по ГОСТ 112 с диапазоном измерений от 1 до 50 °C.___________________________
Примечание - Средства поверки, на которые дана ссылка в таблице 1, могут быть заменены аналогичными, обеспечивающими требуемую точность.
-
1.2 Значения СКО результата измерений разности масс, номинальные значения сличаемой массы, применяемых при поверке, приведены в таблице 2.
Таблица 2
|
Обозначение модификации компаратора |
Наибольшая допускаемая нагрузка, кг |
Номинальное значение сличаемой массы, кг |
Дискретность отсчета, г |
Допускаемое значение СКО, г, не более |
|
ВК-20/0Д5М |
20 |
20 |
0,05 |
0,05 |
|
ВК-20/0ДМ2 |
20 |
20 |
0,1 |
0,05 |
|
ВК-20/0ДМ |
20 |
20 |
0,1 |
0,11 |
|
ВК-100/0,2М |
102 |
100 |
0,2 |
0,26 |
|
ВК-100/0,5К ВК-100/0,5М |
102 |
100 |
0,5 |
0,55 |
Продолжение таблицы 2
|
Обозначение модификации компаратора |
Наибольшая допускаемая нагрузка, кг |
Номинальное значение сличаемой массы, кг |
Дискретность отсчета, г |
Допускаемое значение СКО, г, не более |
|
ВК-200/0,5М |
202 |
200 |
0,5 |
0,5 |
|
ВК-200/1К ВК-200/1М |
202 |
200 |
1 |
1,1 |
|
ВК-500/1М |
505 |
500 |
1 |
1,3 |
|
ВК-500/2К ВК-500/2М |
505 |
500 |
2 |
2,8 |
|
ВК-1000/2М |
1010 |
1000 |
2 |
2,7 |
|
ВК-1000/5К ВК-1000/5М |
1010 |
1000 |
5 |
5,6 |
|
ВК-2000/10К ВК-2000/10М |
2010 |
2000 |
10 |
И |
|
ВК-5000/20К ВК-5000/20М |
5020 |
5000 |
20 |
28 |
-
2.1 При проведении поверки должны соблюдаться требования правил техники безопасности согласно эксплуатационной документации на компараторы, а также на используемое поверочное и вспомогательное оборудование.
-
2.2 Обслуживающий персонал, допущенный к работе с компаратором, должен изучить Руководство по эксплуатации и знать правила работы с электрооборудованием напряжением до 1000 В.
-
3.1 При проведении поверки должны быть соблюдены следующие условия:
-
- температура окружающего воздуха от 18 °C до 27 °C;
-
- изменение температуры в помещении в течение 1 часа не должно превышать ±1,5 °C;
-
- отсутствие воздушных потоков и вибраций;
-
- отсутствие воздействия прямых солнечных лучей, осветительных приборов или нагревателей;
-
- отсутствие воздействия агрессивных химических паров;
-
- наличие виброустойчивого изолированного фундамента для установки компараторов.
-
4.1 При подготовке к проведению поверки должны быть выполнены следующие операции:
-
- время выдержки распакованных компараторов в помещении перед началом поверки должно быть не менее 24 часов;
-
- компараторы должны быть включены в сеть и выдержаны во включенном состоянии не менее 60 минут.
-
5 Проведение поверки
-
5.1.1 При внешнем осмотре должно быть установлено соответствие компараторов следующим требованиям:
-
- обеспечение сохранности лакокрасочных покрытий;
-
- наличие маркировки и комплектующих изделий согласно комплекту поставки.
При опробовании компараторы приводят в рабочее состояние. Опробование должно быть выполнено в соответствии с Руководством по эксплуатации компараторов.
5.3 Подтверждение соответствия программного обеспечения средств измеренийПеред определением метрологических характеристик, при поверке, необходимо проверить идентификационные данные ПО. Идентификационные данные (признаки) программного обеспечения приведены в таблице 3.
Таблица 3
|
Идентификационные данные (признаки) |
Значения | ||
|
Тип 1 |
Тип 2 |
Тип 3 | |
|
Идентификационное наименование программного обеспечения |
WI-19 |
WI-20 |
ZM-201 |
|
Номер версии (идентификационный номер) программного обеспечения* |
и. 138 |
Е5020 |
1.0.2.0 |
|
Цифровой идентификатор программного обеспечения |
- |
- |
- |
Идентификация программы для индикаторов тип 2 и тип 1: после включения компаратора на индикаторе отображается версия программного обеспечения, после этого проходит тест индикации и компаратор переходит в рабочий режим.
Идентификация программы для индикаторов тип 3: номер версии программного обеспечения может быть вызван при помощи специальных команд, описанных в Руководстве по эксплуатации на компаратор.
Номер версии программного обеспечения должен совпадать с номером, указанным в таблице 3.
Перед определением метрологических характеристик, при периодической поверке, необходимо проверить целостность пломбы и наличие оттиска поверительного. Место нанесения оттиска поверительного клейма указано на рисунке 1.
Рисунок 1 - Схема пломбирования компараторов от несанкционированного доступа
При положительных результатах подтверждения соответствия ПО на компараторах, согласно рисунку 1, устанавливают пломбы, обеспечивающие исключение несанкционированного доступа к ПО.
Результаты подтверждения соответствия программного обеспечения заносят в протокол (приложение А).
5.4 Определение СКО показаний-
5.4.1 СКО показаний определяют испытательной нагрузкой, номинальное значение массы и разряд которой указаны в таблице 2, в следующей последовательности:
-
5.4.1.1 установить нулевые показания;
-
5.4.1.2 поместить в центр грузоприемного устройства (далее - ГПУ) компаратора испытательную нагрузку;
-
5.4.1.2 установить нулевые показания;
-
5.4.1.3 зафиксировать показание А л;
-
5.4.1.4 снять испытательную нагрузку;
-
5.4.1.5 продолжать фиксировать показания, устанавливая и снимая испытательную нагрузку в центр ГПУ компаратора через равные промежутки времени, по схеме АВА (в качестве образцовой нагрузки А и поверяемой нагрузки В используется одна и та же нагрузка).
Количество циклов сличений АВА 1=6. Всего 13 нагружений.
Примечание: фиксировать показания, устанавливать и снимать испытательную нагрузку следует только после стабилизации показаний
-
5.4.2 Расчет СКО показаний:
-
5.4.2.1 вычислить значения первых разностей:
*11 = (В2-А1), Х21 = (В2-А3),... Х]б = (В12-А11), Х26 = (В12-А13), где i - номер цикла.
-
5.4.2.2 вычислить значения вторых разностей х,: где i - номер цикла.
-
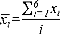
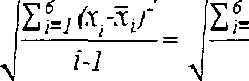
5.4.2.3 вычислить среднее арифметическое значение из 6 разностей xt по формуле:

-
5.4.2.4 вычислить СКО результатов единичных измерений разности масс:
S =


Полученные значения записывают в протокол (приложение А).
СКО показаний S' не должно превышать значений, указанных в таблице 2.
6. Оформление результатов поверки-
6.1 Положительные результаты поверки должны оформляться свидетельством о поверке в установленном порядке.
В свидетельстве о поверке указывают значение СКО измерений.
Знак поверки в виде оттиска поверительного клейма ставится на пломбу, защищающую от изменения установленных регулировок.
-
6.2 В случае отрицательных результатов компаратор к применению не допускается и выдается извещение о непригодности. Выданное ранее свидетельство должно быть аннулировано.
ПРИЛОЖЕНИЕ А (обязательное) Форма протокола поверки компаратора массы ВК Протокол №_________
определения среднеквадратического отклонения показаний компаратора Модификация ВК________________Дискретность______ Зав.№____________
Принадлежащее_____________________________________________________________
(наименование юридического (физического) лица, ИНН)
Значение массы нагрузки________________ Допускаемое значение СКО:________г
Условия проведения поверки: температура окружающего воздуха t, °C_________
относительная влажность воздуха h, %___________
изменение температуры в течение 1 часа, °C_______
1. Результаты внешнего осмотра компаратора массы ВК
(обеспечение сохранности лакокрасочных покрытий, наличие маркировки и комплектующих изделий согласно комплекту поставки)
2. Подтверждение соответствия программного обеспечения средств измерений:
2.1 проверка пломбировки компаратора ____________________________________
2.2 номер версии ПО:
3. Определение СКО
(соотв./не соответ.) (не проводится при первичной поверки) отметка о соответствии ОТ
|
№ цикла, /’ |
Показание компаратора, г |
Значения 1-х разностей показаний компаратора, г |
Значения 2-х разностей xf,+x2 у- ---- | |||
|
*ii |
*2/ |
2 | ||||
|
(Вг-А,) |
(Вг-Ад) | |||||
|
Ау | ||||||
|
1 |
в2 | |||||
|
Аз | ||||||
|
(В4-А3) |
(B4-As) | |||||
|
2 |
в4 | |||||
|
As | ||||||
|
(Вв-As) |
(В6-А7) | |||||
|
3 |
в6 | |||||
|
Аг | ||||||
|
(В8-А7) |
(Вд — Ад) | |||||
|
4 |
в8 | |||||
|
а9 | ||||||
|
(Вю - Ад) |
(Вю А^) | |||||
|
5 |
Bjo | |||||
|
Air | ||||||
|
(Bi2~An) |
(Вю - Аю) | |||||
|
6 |
В<2 | |||||
|
А,з | ||||||
|
6 Среднее арифметическое значение, г, х. = —— 6 | ||||||
|
СКО, г, .S ■ V——— |
X,)2 | |||||
S < допустимое значение СКО
____ Выдержано Поверитель: ______________
Не выдержано
(подпись)
(ФИО)
(поверительное клеймо)
8
