Методика поверки «ГСИ.Комплекс автоматизированный измерительно-вычислительный ТМСА 0.15-10.0 Б 090» (133-19-07 МП)
УТВЕРЖДАЮ
Первый заместитель генерального

Комплекс автоматизированный измерительно-вычислительный
ТМСА 0.15-10.0 Б 090
Методика поверки 133-19-07 МПр.п. Менделеево 2019 г.
СОДЕРЖАНИЕ
-
-
8.3 Определение метрологических характеристик
-
8.3.1 Определение относительной погрешности измерений амплитудного распределения
-
-
8.3.2 Определение относительной погрешности измерений относительных уровней
-
8.3.3 Определение относительной погрешности измерений коэффициента усиления антенн.... 15
-
8.3.6 Определение сектора углов восстанавливаемых диаграмм направленности
-
1.1 Настоящая методика поверки (далее - МП) устанавливает методы и средства первичной и периодической поверок комплекса автоматизированного измерительно-вычислительного ТМСА 0.15-10.0 Б 090 (далее - комплекс), изготовленного ООО «НПП «ТРИМ СШП Измерительные системы», г. Санкт-Петербург, заводской № 090.
-
1.2 Первичная поверка комплекса проводится при вводе его в эксплуатацию и после ремонта.
-
1.3 Периодическая поверка комплекса проводится в ходе его эксплуатации и хранения.
-
1.4 Комплекс предназначен для измерений радиотехнических характеристик антенн.
-
1.5 Периодическая поверка комплекса проводится не реже одного раза в 24 (двадцать четыре) месяца.
-
2.1 При проведении поверки комплекса должны быть выполнены операции, указанные в таблице 1.
Таблица 1 - Операции поверки
Наименование операции |
Пункт МП |
Проведение операций при | |
первичной поверке |
периодической поверке | ||
1 Внешний осмотр |
8.1 |
+ |
+ |
2 Опробование |
8.2 |
+ |
+ |
3 Определение метрологических характеристик |
8.3 |
+ |
+ |
3.1 Определение относительной погрешности измерений амплитудного распределения электромагнитного поля и абсолютной погрешности измерений фазового распределения электромагнитного поля |
8.3.1 |
+ |
+ |
3.2 Определение относительной погрешности измерений относительных уровней амплитудных диаграмм направленности и абсолютной погрешности измерений фазовых диаграмм направленности |
8.3.2 |
+ |
- |
3.3 Определение относительной погрешности измерений коэффициента усиления антенны методом замещения |
8.3.3 |
+ |
- |
3.4 Определение диапазона рабочих частот |
8.3.4 |
+ |
- |
3.5 Определение размеров рабочей области сканирования |
8.3.5 |
+ |
- |
3.6 Определение сектора углов восстанавливаемых диаграмм направленности |
8.3.6 |
+ |
- |
2.2 Не допускается проведение поверки отдельных измерительных каналов или отдельных автономных блоков или меньшего числа измеряемых величин или на меньшем числе поддиапазонов измерений.
3 СРЕДСТВА ПОВЕРКИ3.1 При проведении поверки комплекса должны быть применены средства измерений, указанные в таблице 2.
Таблица 2 - Средства измерений для поверки комплекса
Пункт МП |
Наименование и тип (условное обозначение) основного или вспомогательного средства поверки; обозначение нормативного документа, регламентирующего технические требования, и (или) метрологические и основные технические характеристики средства поверки |
8.3.1 -8.3.4, 8.3.6 |
Аттенюатор ступенчатый программируемый 84908М, диапазон частот от 0 до 50 ГГц, диапазон вводимых ослаблений от 0 до 65 дБ с шагом 5 дБ |
8.3.1 -8.3.4, 8.3.6 |
Набор мер коэффициентов передачи и отражения 85056А, диапазон частот от 45 МГц до 50 ГГц |
8.3.1 -8.3.4, 8.3.6 |
Комплект антенный измерительный АНК 1-40Б, диапазон частот от 0,9 до 40 ГГц, пределы допускаемой абсолютной погрешности измерений коэффициента усиления ±1,8 дБ для П6-123, ±1,2 дБ для Пб-140-х |
8.3.1 -8.3.6 |
Система лазерная координатно-измерительная Leica Absolute Tracker АТ401, диапазон измерений расстояний от 1,5 до 60000 мм, предел допускаемой основной абсолютной погрешности объемных измерений ±15 мкм + 6 мкм/м |
-
3.2 Допускается использовать аналогичные средства поверки, обеспечивающих определение метрологических характеристик поверяемого комплекса с требуемой точностью.
-
3.3 Средства поверки должны быть исправны, поверены и иметь свидетельства о поверке.
-
4.1 Поверка должна осуществляться лицами с высшим или средним техническим образованием, аттестованными в качестве поверителей в области радиотехнических измерений, и имеющими квалификационную группу электробезопасности не ниже третьей.
-
4.2 Перед проведением поверки поверитель должен предварительно ознакомиться с документом «Комплекс автоматизированный измерительно-вычислительный ТМСА 0.15-10.0 Б 090. Руководство по эксплуатации. ТМСА 010. 090. 00Б РЭ».
-
5.1 При проведении поверки должны быть соблюдены все требования безопасности в соответствии с ГОСТ 12.3.019-80 «ССБТ. Испытания и измерения электрические. Общие требования безопасности», а также требования безопасности, приведённые в эксплуатационной документации на составные элементы комплекса и средства поверки.
-
5.2 Размещение и подключение измерительных приборов разрешается производить только при выключенном питании.
-
6.1 При проведении поверки комплекса должны соблюдаться условия, приведенные в таблице 3.
Таблица 3 - Условия проведения поверки комплекса
Влияющая величина |
Нормальное значение |
Допускаемое отклонение от нормального значения |
Температура окружающего воздуха, °C |
20 |
±5 |
Относительная влажность окружающего воздуха. % |
от 30 до 80 |
- |
Атмосферное давление, кПа |
от 84 до 106,7 |
- |
Напряжение питающей сети переменного тока, В |
220 |
±22 |
Частота питающей сети, Гц |
50 |
±1 |
-
7.1 Проверить наличие эксплуатационной документации и срок действия свидетельств о поверке на средства поверки.
-
7.2 Подготовить средства поверки к проведению измерений в соответствии с руководствами по их эксплуатации.
-
8 ПРОВЕДЕНИЕ ПОВЕРКИ
-
8.1.1 При проведении внешнего осмотра комплекса проверить:
-
- комплектность и маркировку комплекса;
-
- наружную поверхность элементов комплекса, в том числе управляющих и питающих кабелей;
-
- состояние органов управления.
-
8.1.2 Проверку комплектности комплекса проводить сличением действительной комплектности с данными, приведенными в разделе «Комплекс автоматизированный измерительно-вычислительный ТМСА 0.15-10.0 Б 090. Паспорт. ТМСА 010. 090. 00Б ПС» (далее - ПС).
-
8.1.3 Проверку маркировки производить путем внешнего осмотра и сличением с данными, приведенными в ПС.
-
8.1.4 Результаты внешнего осмотра считать положительными, если:
-
- комплектность и маркировка комплекса соответствует ПС;
-
- наружная поверхность комплекса не имеет механических повреждений и других дефектов;
-
- управляющие и питающие кабели не имеют механических и электрических повреждений;
-
- органы управления закреплены прочно и без перекосов, действуют плавно и обеспечивают надежную фиксацию;
-
- все надписи на органах управления и индикации четкие и соответствуют их функциональному назначению.
В противном случае результаты внешнего осмотра считать отрицательными и последующие операции поверки не проводить.
8.2 Опробование-
8.2.1 Идентификация программного обеспечения (далее - ПО)
-
8.2.1.1 Включить персональные компьютеры (далее - ПК), для чего:
-
-
- на блоке источника бесперебойного питания нажать кнопку ВКЛ;
-
- нажать на системном блоке ПК кнопку включения;
-
- включить монитор.
После загрузки операционной системы WINDOWS 7 на экране монитора ПК наблюдать иконки программ FrequencyMeas, NFCalc, AmrView.
Установить далее на ПК программу, позволяющую определять версию и контрольную сумму файла по алгоритму MD5, например, программу «HashTab».
-
8.2.1.2 Выбрать файл FrequencyMeas.exe, нажать на правую кнопку мыши на файле и выбрать пункт «Свойства». Открыть вкладку «Хеш-суммы файлов». Наблюдать контрольную сумму файла FrequencyMeas.exe по алгоритму MD5. Нажать правой кнопкой мыши на файл и выбрать пункт «ABOUT FREQUENCY MEAS». Наблюдать значение версии файла FrequencyMeas.exe. Результаты наблюдения зафиксировать в рабочем журнале.
-
8.2.1.3 Повторить операции п. 8.2.1.2 для программ NFCalc.exe, AmrView.exe.
-
8.2.1.4 Сравнить полученные контрольные суммы и версии с их значениями, записанными в ПС. Результат сравнения зафиксировать в рабочем журнале.
-
8.2.1.5 Результаты идентификации ПО считать положительными, если полученные идентификационные данные ПО соответствуют значениям, приведенным в таблице 3.
Таблица 3 - Идентификационные данные ПО
Идентификационные данные (признаки) |
Значение | ||
Идентификационное наименование ПО |
FrequencyMeas.exe |
NFCalc.exe |
AmrView.exe |
Номер версии (идентификационный номер) ПО |
6.0.0.0 |
3.20.1 |
3.16.60612 |
Цифровой идентификатор ПО (контрольная сумма исполняемого кода) |
BA7FD80981098463 7А0044СЕ13402738 (алгоритм MD5) |
90F2307A43D11220 7504337B9CCA9F24 (алгоритм MD5) |
FAF113F3C83206EB 863D69624F5D3FC0 (алгоритм MD5) |
В противном случае результаты проверки соответствия ПО считать отрицательными и последующие операции поверки не проводить.
8.2.2 Проверка работоспособности
-
8.2.2.1 Подготовить комплекс к работе в соответствии с РЭ.
-
8.2.2.2 Проверить работоспособность аппаратуры комплекса путем проверки отсутствия сообщений об ошибках и неисправностях при загрузке программного продукта для измерений в ближней зоне «FrequencyMeas».
-
8.2.2.3 Проверить работоспособность всех приводов сканера:
-
- при перемещении по оси Ох;
-
- при перемещении по оси Оу;
-
- при перемещении по оси Oz;
-
- при перемещении зонда в плоскости элевации;
-
- при вращении зонда по поляризации.
-
8.2.2.4 Соединить при помощи перемычки соединитель кабеля «вход антенны-зонда» и соединитель кабеля «выход испытываемой антенны». В соответствии с эксплуатационной документацией подготовить к работе векторный анализатор электрических цепей (далее - анализатор) из состава комплекса, перевести его в режим измерений модуля комплексного коэффициента передачи. Установить следующие настройки анализатора:
-
- полоса анализа от 0,15 до 10,0 ГГц;
-
- ширина полосы пропускания 1 МГц;
-
- уровень мощности выходного колебания 0 дБ (мВт).
На экране анализатора наблюдать результат измерений частотной зависимости модуля коэффициента передачи. При этом должны отсутствовать резкие изменения полученной характеристики, свидетельствующие о неудовлетворительном состоянии радиочастотного тракта комплекса.
-
8.2.2.5 Результаты поверки считать положительными, если сканер обеспечивает перемещение антенны-зонда по осям Ох, Оу, Oz, перемещение в плоскости элевации и вращение в плоскости поляризации, на экране анализатора наблюдается результат измерений частотной зависимости модуля коэффициента передачи без резких изменений, а также отсутствует программная или аппаратная сигнализация о неисправностях комплекса.
В противном случае результаты поверки считать отрицательными и последующие операции поверки не проводить, комплекс бракуется и подлежит ремонту.
8.3 Определение метрологических характеристик 8.3.1 Определение относительной погрешности измерений амплитудного распределения электромагнитного поля и абсолютной погрешности измерений фазового распределения электромагнитного поля-
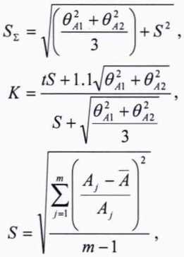
8.3.1.1 Относительную погрешность измерений амплитудного распределения электромагнитного поля 3А, дБ, определить по формуле (1):
<?, =201g(l + XSi;), (1)
где

(2)
-
(3)
-
(4)
0А] - погрешность измерений модуля комплексного коэффициента передачи анализатором из состава комплекса;
0А2- погрешность измерений, обусловленная неидеальной поляризационной развязкой антенн-зондов из состава комплекса;
S - среднее квадратическое отклонение результатов измерений амплитудного распределения;
А - результат измерений амплитудного распределения;
А - среднее арифметическое значение результатов измерений амплитудного распределения;
t - коэффициент Стьюдента для заданного числа реализаций измерений амплитудного распределения.
m - количество измерений.
Абсолютную погрешность измерений фазового распределения электромагнитного поля Дф, градус, определить по формуле (5):
Дф= — KtSzt, (5)
7Г
где

(6)
(7)

(8)
Оф] - погрешность измерений фазы комплексного коэффициента передачи векторным анализатором цепей из состава комплекса, рад;
0Ф2 - погрешность измерений фазы, обусловленная неточностью позиционирования антенны-зонда в плоскости сканирования, рад;
0ФЗ- погрешность измерений фазы, обусловленная случайными перегибами радиочастотного тракта комплекса, рад;
S<p - среднее квадратическое отклонение результатов измерений фазового распределения, рад;
(р - результат измерений фазового распределения, рад;
(р - среднее арифметическое значение результатов измерений фазового распределения, рад.
Относительную погрешность измерений амплитудного распределения электромагнитного поля и абсолютную погрешности измерений фазового распределения электромагнитного поля определить при относительных уровнях амплитудного распределения от минус 10 до минус 40 дБ с интервалом 10 дБ. Динамический диапазон измерений амплитудного распределения при этом должен составлять не менее 50 дБ. Под динамическим диапазоном измерений амплитудного распределения следует понимать отношение максимального уровня амплитудного распределения к среднему уровню измеряемых радиошумов.
Относительную погрешность измерений амплитудного распределения электромагнитного поля 5а и абсолютную погрешность измерений фазового распределения электромагнитного поля Дф определить:
-
- на частоте 10 ГГц по формулам (1) и (5) соответственно;
-
- на частотах 5,0 и 10,0 ГГц по формулам (9) и (10) соответственно:
^=20^(1 + 1.17^,+^); W
Дф=— 1.17^,+^г+^з- (Ю)
7Г
Частные составляющие погрешностей измерений (слагаемые в выражениях (2), (3), (6), (7)) определить по нижеследующим методикам.
-
8.3.1.2 Погрешность измерений модуля комплексного коэффициента передачи векторным анализатором цепей из состава комплекса определить при помощи аттенюатора 84908М.
В измерительный тракт комплекса внести аттенюатор таким образом, чтобы он соединял разъемы радиочастотных кабелей для подключения испытываемой антенны и антенны-зонда. Ослабление аттенюатора установить равным 0 дБ.
Провести полную двухпортовую калибровку анализатора из состава комплекса в комплекте со штатными радиочастотными кабелями и аттенюатором в диапазоне частот от 0,15 до 10,0 ГГц в соответствии с технической документацией на него.
Установить следующие настройки анализатора:
-
- полоса анализа от 0,15 до 10,0 ГГц;
-
- ширина полосы пропускания 500 Гц;
-
- режим измерений модуля комплексного коэффициента передачи S21;
-
- количество точек 3601.
, дБ. Зафиксировать верхнюю гра
Без подачи мощности с порта генератора векторного анализатора цепей провести измерения модуля комплексного коэффициента передачи ницу АЧХ шума N, дБ.
Увеличивая мощность сигнала с порта генератора анализатора, зафиксировать опорный
уровень, при котором обеспечивается условие pl2 (Д)| > (N + SO), дБ.
Изменяя ослабление аттенюатора от 0 до 40 дБ с шагом 10 дБ, провести измерения модуля комплексного коэффициента передачи.
Погрешность измерений модуля комплексного коэффициента передачи на каждой частоте/ , указанной в п. 8.3.1.1, рассчитать как разность (в логарифмических единицах) между из
меренным значением модуля коэффициента передачи
512Ш
, дБ, и действительным значени
ем ослабления аттенюатора £(/), дБ, записанным в его технической документации (свидетельстве о поверке), по формуле (11):
^,(Z)=512(/)-Z(Z). (11)
За погрешность 9А} для каждого номинала ослабления, соответствующего относительному уровню амплитудного распределения электромагнитного поля М, принять максимальное значение погрешности измерений #<,(/)соответствующего номинала ослабления аттенюатора
в установленной полосе частот в линейном масштабе (12):
0™ =maxho
20
(12)
Результаты поверки записать в таблицу 4.
Таблица 4 - Результаты оценки погрешности измерений модуля комплексного коэффициента передачи анализатором из состава комплекса
Ослабление аттенюатора L, дБ |
Относительный уровень амплитудного распределения М, дБ |
Погрешность измерений 6»л|, дБ |
10 |
-10 | |
20 |
-20 | |
30 |
-30 | |
40 |
-40 |
-
8.3.1.3 Погрешность измерений, обусловленную неидеальной поляризационной развязкой антенн-зондов из состава комплекса, определить по формуле (13):
0А2 = (1 + 100Ш7Р)2-1, (13)
где КПР - минимальный уровень кроссполяризационной развязки антенн-зондов из состава комплекса, принимаемый равным минус 20 дБ.
-
8.3.1.4 Погрешность измерений фазы комплексного коэффициента передачи векторным анализатором цепей из состава комплекса определить с помощью набора мер коэффициентов передачи и отражения 85056А и аттенюатора 84908М.
В измерительный тракт комплекса внести аттенюатор и меру фазового сдвига из состава набора 85056А таким образом, чтобы они соединяли разъемы радиочастотных кабелей для подключения испытываемой антенны и антенны-зонда. Ослабление аттенюатора установить равным 0 дБ.
Провести полную двухпортовую калибровку анализатора из состава комплекса в комплекте с штатными радиочастотными кабелями, аттенюатором, в соответствии с технической документацией на него.
Изменяя ослабление аттенюатора от 0 до 40 дБ с шагом 10 дБ, провести измерения фазы комплексного коэффициента передачи при следующих настройках анализатора:
-
- полоса анализа от 0,15 до 10,0 ГГц;
-
- ширина полосы пропускания 500 Гц;
-
- уровень мощности выходного колебания 0 дБ (мВт);
-
- режим измерений фазы комплексного коэффициента передачи S21;
-
- количество точек 3601.
Погрешность измерений фазы комплексного коэффициента передачи на каждой частоте /, указанной в п. 8.3.1.1, рассчитать как разность между измеренным значением фазы коэффициента передачи arg(S12(/,)), рад, и действительным значением установленного фазового сдвига мерыФ1Л)(//), рад, записанным в его технической документации (14):
C>(/i) = arg(512(Z))-0(",(/,). (14)
За погрешность 0Ф] для каждого номинала относительного уровня фазового распределения электромагнитного поля принять максимальное значение погрешности измерений 0ф1} (Z) соответствующего номинала ослабления аттенюатора в установленной полосе частот (15):
^’ = тах^> (/,)}. (15)
Результаты поверки записать в таблицу 5.
Таблица 5 - Результаты оценки погрешности измерений фазы комплексного коэффициента пе-
редачи анализатором из состава комплекса
Ослабление аттенюатора L, дБ |
Относительный уровень амплитудного распределения М, дБ |
Погрешность измерений 0Ф1, градус |
10 |
-10 | |
20 |
-20 | |
30 |
-30 | |
40 |
-40 |
-
8.3.1.5 Погрешность измерений фазы, обусловленную неточностью позиционирования антенны-зонда в плоскости сканирования, определить с помощью системы лазерной координатно-измерительной Leica Absolute Tracker АТ401.
Подготовить комплекс к измерению характеристик антенн в ближней зоне в соответствии с РЭ.
Подготовить систему Leica Absolute Tracker АТ401 к измерению в соответствии с эксплуатационной документацией на нее.
Оптический отражатель из состава системы Leica Absolute Tracker АТ401 закрепить на антенну-зонд, установленную на сканере из состава комплекса, в соответствии со схемой, приведенной на рисунке 1.
L | |||
ЙЯЯИИВЯ |
ЕЙ | ||

1 - антенна-зонд; 2 - оптический отражатель; 3 - система Leica Absolute Tracker АТ401; 4 - сканер
Рисунок 1 - Схема измерений характеристик позиционирования сканера
С помощью программы ручного управления сканером (рисунок 2) в соответствующей вкладке программного продукта для измерений в ближней зоне «FrequencyMeas» переместить антенну-зонд в крайнее центральное левое положение. Переместить антенну-зонд в крайнее заднее положение по оси Z. Зафиксировать показания системы Leica Absolute Tracker АТ401.
Контроллер движения Приемник Равноеправление Измерения
Дост/хяеосм |
Ру*ое/траеле»ме ОсьХ |
| 0 00 мм |
Скорость 100000 |
у ООО***' |
Нсеая лозкхия | мм Установить |
Q. Поляризация ООО град |
Смешение 0 00 ьм Установить |
* J * | |
Найти моль Обнулить поз | |
Рисунок 2 - Меню программы для ручного управления движением сканера
Переместить антенну зонд вдоль оси Oz в крайнее переднее положение и зафиксировать показания системы Leica Absolute Tracker АТ401.
Перемещая антенну-зонд с установленным оптическим отражателем вдоль оси Ох в пределах рабочей зоны сканера с шагом Лдаш/2 (где Лтм - минимальная длина волны, соответствующая верхней границе диапазона рабочих частот комплекса, до срабатывания механического ограничителя), фиксировать показания системы Leica Absolute Tracker АТ401.
С помощью программы ручного управления сканером (рисунок 2) в соответствующей вкладке программного продукта для измерений в ближней зоне «FrequencyMeas» переместить антенну-зонд в крайнее центральное нижнее положение. Зафиксировать показания системы Leica Absolute Tracker АТ401.
Перемещая антенну-зонд с установленным оптическим отражателем вдоль оси Оу в пределах рабочей зоны сканера с шагом Лт<„/2, до срабатывания механического ограничителя, фиксировать показания системы Leica Absolute Tracker АТ401.
По формуле (16) рассчитать погрешность позиционирования антенны-зонда как разность между координатами плоскости сканирования и координатами положения антенны-зонда Дз измеренными с использованием Leica Absolute Tracker АТ401, м.
^г“|^верт — ^измер I 0^)
Погрешность измерений фазы Д$?(/), рад, обусловленную неточностью позиционирования антенны-зонда в плоскости сканирования, для каждого номинала частоты, указанного в п. 8.3.1.1, определить по формуле (17):
(17)
Др(/)=£-Дг,
где к = Ул/Л - волновое число, 1/м;
Л - длина волны, соответствующая частотам, указанным в п. 5.1.1, м.
За погрешность измерений фазы 0Ф2 для каждого номинала частоты, указанного в п.
8.3.1.1, принять среднее квадратическое значение погрешности, определенное по формуле (18):
5W,))2(18)
1=0______________
М
где М - число точек, в которых проводились измерения пространственного положения антенны-зонда.
Размеры рабочей области сканирования по осям Ох, Оу, Oz рассчитать как разность между показаниями системы Leica Absolute Tracker АТ401 в момент срабатывания механического ограничителя сканера при установке антенны-зонда в крайние положения.
/ =1y — у I-
х 1 нач кон1’ ] =|у _ V
мнжч * кон1» tr=|ZHr,-Z,(m|. (19)
-
8.3.1.6 Погрешность измерений фазы, обусловленную случайными перегибами радиочастотного тракта комплекса определить с помощью набора меры отражения из состава мер коэффициентов передачи и отражения 85056А.
В измерительный тракт комплекса внести меру отражения таким образом, чтобы он замыкал соединитель радиочастотного кабеля для подключения антенны-зонда.
Провести однопортовую калибровку анализатора из состава комплекса в диапазоне частот от 0,15 до 10,0 ГГц в соответствии с технической документацией на него.
Провести измерения фазы комплексного коэффициента отражения при следующих настройках анализатора:
-
- полоса анализа от 0,15 до 10,0 ГГц;
-
- ширина полосы пропускания 500 Гц;
-
- уровень мощности выходного колебания минус 10 дБ (мВт);
-
- режим измерений фазы комплексного коэффициента отражения SI 1.
С помощью программы ручного управления сканером (рис. 2) в соответствующей вкладке программного продукта для измерений в ближней зоне «FrequencyMeas» переместить антенну-зонд в крайнее нижнее положение.
Перемещая антенну-зонд с установленным оптическим отражателем вдоль оси хОу в пределах рабочей зоны сканера с шагом 20 см, фиксировать показания анализатора.
За оценку погрешности измерений фазы, обусловленную случайными перегибами радиочастотного тракта комплекса, принять разность между максимальным и минимальным значением измеренной фазы комплексного коэффициента отражения на частоте 10 ГГц. Расчеты произвести по формуле (20):
= max(arg(S12fay))) - mirifargfSllfay))) (20)
где arg(S12(x,y))- значением фазы коэффициента передачи в соответствующих координатах плоскости сканирования, рад.
-
8.3.1.7 Оценку среднего квадратического отклонения результатов измерений амплитудного и фазового распределений (АФР) проводить методом прямых измерений с многократными наблюдениями распределения поля, формируемого на плоскости сканирования антенной П6-140.
Антенну П6-140 установить на опорно-поворотное устройство в положение, соответствующее вертикальной поляризации, таким образом, чтобы плоскость раскрыва была параллельна плоскости сканирования.
Используя режим ручного или дистанционного управления сканера, установить антенну-зонд соосно с антенной П6-140 в положение, соответствующее вертикальной поляризации.
Расстояние между раскрывами антенны П6-140 и антенны-зонда установить равным в пределах ЗХ, где X - максимальная длина волны измеряемого поддиапазона частот.
Запустить программу измерений в частотной области.
В соответствии с РЭ на комплекс установить полосу частот анализатора от 8,0 до 10,0 ГГц, ширину полосы пропускания 100 Гц, шаг перестройки по частоте 1,0 ГГц, уровень мощности выходного сигнала анализатора 0 дБ (мВт).
Далее установить следующие настройки:
-
- шаг сканирования - не более Х/2;
-
- режим сканирования - непрерывное сканирование без реверса;
-
- поляризация измеряемой антенны - вертикальная;
-
- поляризация зонда - вертикальная;
-
- размеры области сканирования 600 х 900 мм.
Нажать кнопку «НАЧАТЬ ИЗМЕРЕНИЯ».
Измерить АФР не менее 7 раз с интервалом не менее 5 мин (далее по тексту - результаты измерений АФР, полученные в ходе одного сканирования, - реализация).
Запустить программу расчета характеристик антенн по данным в ближнем поле, входящую в комплект поставки комплекса. На частоте 10,0 ГГц рассчитать амплитудные /1 и фазовые (р, распределения, а также среднее квадратическое отклонение результатов измерений амплитудного и фазового распределений по формулам (4) и (8).
-
8.3.1.8 Результаты поверки считать положительными, если значения погрешности измерений амплитудного распределения электромагнитного поля при динамическом диапазоне измерений амплитудного распределения не менее 50 дБ и кроссполяризационной развязке антенны-зонда не менее 20 дБ находятся в следующих пределах для относительных уровней амплитудного распределения:
-
- минус 10 дБ..................±0,2 дБ;
-
- минус 20 дБ..................±0,3 дБ;
-
- минус 30 дБ..................±0,5 дБ;
-
- минус 40 дБ..................±0,8 дБ,
а значения абсолютной погрешности измерений фазового распределения электромагнитного поля при динамическом диапазоне измерений амплитудного распределения не менее 50 дБ находятся в следующих пределах при относительном уровне амплитудного распределения:
В противном случае результаты поверки считать отрицательными и последующие операции поверки не проводить, комплекс бракуется и подлежит ремонту.
-
8.3.2 Определение относительной погрешности измерений относительных уровней амплитудных диаграмм направленности и абсолютной погрешности измерений фазовых диаграмм направленности
-
8.3.2.1 Определение погрешности измерений относительных уровней амплитудных диаграмм направленности (АДН) и фазовых диаграмм направленности (ФДН) осуществить методом математического моделирования с учетом результатов, полученных в п. 8.3.1 настоящей МП, путем сравнения невозмущенных амплитудных диаграмм направленности, определенных для антенн с равномерным синфазным распределением токов на апертуре, и тех же диаграмм направленности, но с учетом погрешности измерений амплитудного и фазового распределений (АФР).
-
8.3.2.2 Невозмущенную диаграмму направленности оценить следующим образом.
-
Размеры плоскости сканирования выбрать из критерия максимального сектора углов восстанавливаемой диаграммы направленности, равного ±65°, по формулам (21):
Lx =a + 2R -tgO, (21)
Ly =b+2R• tg(p,
где Lx, Ar- размеры плоскости сканирования в соответствующих плоскостях, м;
а, b - размеры раскрыва в соответствующих плоскостях, м, а = Ь>5Лтах, где Лотаг - длина волны, соответствующая частотам 0,15; 5,0 и 10,0 ГГц;
R - измерительное расстояние, R = 3 Лтах, м;
0 = 2,27 рад..
Интервал дискретизации выбрать равным 0.52mat.
Для частоты 0,5 ГГц пересчитать АФР в раскрыве антенны в АФР на плоскости сканирования по формуле (22):
] .(22)
Jfx-x, )2 + ( v- V, )2 + R2 A
где J(x2,y2) - АФР на плоскости сканирования; (X2, У2) - координаты на плоскости сканирования, м;
Ао - амплитуда сигнала (Ao = 1 В)\
(ро - фаза сигнала ((ро = 0 рад)\
N(M) =
Lx(Ly) &х(Ay)
- число шагов сканирования в каждой из плоскостей, где Ах, Ау - шаг ска
нирования в плоскости X и Y, соответственно.
Рассчитать нормированные АДН и ФДН по формулам (23) и (24):
-
(23)
-
(24)
F0(w,v) = arg[3(J(x2,^2))] , где |...| - модуль комплексной величины;
3 (...) - оператор двумерного дискретного преобразования Фурье;
МАХ - максимальное значение амплитудной диаграммы направленности; arg - аргумент функции;
и = sin 0 • cos (р, v = sin3- sin (р - угловые координаты;
Л Л
U = ±---N, V = ±---М - угловые сектора в системе координат направляющих косинусов
2zLj^ 2^у (m,v), в пределах которых восстанавливается диаграмма, рад;
w = д/1 -м2 - v2
( И
= arccos iv, (р = arctg —
-
8.3.2.3 АДН и ФДН антенны с учетом погрешности измерений АФР оценить следующим образом.
Значения погрешности измерений АФР для каждого относительного уровня амплитудного распределения М задавать программно с учетом оценки погрешности измерений АФР, полученных в п. 8.3.1, по формулам (25) и (26):
ЗА = Norm(0,cr2 а), (25)
\(р = Norm(Q,(j2q>), (26)
где Norm - генератор случайных величин, распределенных по нормальному закону;
аА - среднее квадратическое отклонение результатов измерений амплитудного распределения сЙ = 10 “/2,45;
сго - среднее квадратическое отклонение результатов измерений фазового распределения <*л = А®/2.45.
Рассчитать АФР электромагнитного поля на плоскости сканирования с учетом погрешности их измерений по формуле (27):
j'(*2 .У2 ) = ИХ2 - У2 X1 + 54 )eXPWarg(ЛХ2 > ))+ Д'?)) • (27)
Аналогичным образом провести расчет «возмущенных» диаграмм направленности 7 раз. При каждой последующей реализации воспроизводить новые случайные величины по законам (21).
-
8.3.2.4 Погрешность измерений относительных уровней АДН и ФДН оценить следующим образом.
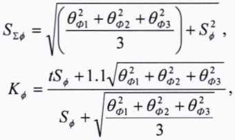
Среднее квадратическое отклонение результатов измерений уровней АДН и ФДН в двух главных сечениях при (р=0 и (р=л/2 рассчитать по формулам (28) и (29):

9
(29)
где к- число реализаций моделирования, к = 7.
Рассчитать погрешность измерений уровней АДН и ФДН по формулам (30) и (31):
SFa = ±201g(l + 2,45<rFj; (30)
AF,=±—2,45оРф.
(31)
Д’
±0,3 дБ;
±0,5 дБ;
±0,8 дБ;
±1,4 дБ;
-
8.3.2.5 Результаты поверки считать положительными, если значения погрешности измерений относительных уровней АДН до уровней (при кроссполяризационной развязке антенны-зонда не менее 20 дБ, динамическом диапазоне измеренного амплитудного распределения антенны не менее 50 дБ) при относительных уровнях АДН, находятся в пределах:
-
- минус 10 дБ
-
- минус 20 дБ
-
- минус 30 дБ
-
- минус 40 дБ
±3°;
±5°;
±9°;
±14°.
и значения абсолютной погрешности измерений ФДН (при кроссполяризационной развязке антенны-зонда не менее 20 дБ, динамическом диапазоне измеренного амплитудного распределения антенны не менее 50 дБ) при относительных уровнях АДН, находятся в пределах:
-
- минус 10 дБ
-
- минус 20 дБ
-
- минус 30 дБ
-
- минус 40 дБ
В противном случае результаты поверки считать отрицательными и последующие операции поверки не проводить, комплекс бракуется и подлежит ремонту.
8.3.3 Определение относительной погрешности измерений коэффициента усиления антенн
8.3.3.1 Относительную погрешность измерений коэффициента усиления определить расчетным путем при использовании результатов измерений, полученных в п. 8.3.2 настоящей МП.
Относительную погрешность измерений коэффициента усиления 5, дБ, рассчитать по формуле (32):
8 = ±10 lg(l +1,1 ■ 7^+<522 + <332),
(32)
где 3/ - погрешность измерений АДН до уровней минус 10 дБ, <5/=0,072;
-
32 - погрешность коэффициента усиления эталонной антенны. 32=0,07; 0,12; 0,2; 0,41; 0,6;
-
33 - погрешность за счет рассогласования.
За погрешность Зз принять максимальное из двух значений, рассчитанных по формулам (33) и (34):
<?; =
53 =
(’-№) |
(i+NKI)2 |
(1-КэГ) |
(•-N-N)2 |
>-Кэ|2 |
(1-lrJ-l^l)2 |
(1-КэГ! |
(i+N-N)2 |
-i,
-1,
(33)
(34)
где Гэ, Ги, Гк - коэффициенты отражения входов эталонной, испытываемой антенн, входа анализатора из состава комплекса.
где Гэ, Ги, Гк- коэффициенты отражения входов эталонной, испытываемой антенн, входа анализатора из состава комплекса.
Модуль коэффициента отражения связан с коэффициентом стоячей волны по напряжению (КСВН) соотношением (35):
и=—(35)
1 1 tf + l
-
8.3.3.2 При расчетах погрешности за счет рассогласования значение КСВН эталонной антенны, используемой при проведении измерений, не должно превышать 1,5, испытываемой антенны - 2,0, КСВН входа векторного анализатора цепей - 1,7.
-
8.3.3.3 Результаты поверки считать положительными, если значения относительной погрешности измерений коэффициента усиления антенны методом замещения при КСВН испытываемой антенны не более 2 и погрешности измерений коэффициента усиления эталонной антенны находятся в пределах:
0,3 дБ
±0,5 дБ;
±0,7 дБ;
±1,0 дБ;
±1,7 дБ;
±2,3 дБ.
0,5 дБ
0,8 дБ
-
1,5 дБ
2,0 дБ
В противном случае результаты поверки считать отрицательными и последующие операции поверки не проводить, комплекс бракуется и подлежит ремонту.
8.3.4 Определение диапазона рабочих частот-
8.3.4.1 Проверку диапазона рабочих частот проводить по результатам определения погрешностей измерений АФР (п. 8.3.1).
-
8.3.4.2 Результаты поверки считать положительными, если в диапазоне частот от 0,15 до 10,0 ГГц значения погрешностей измерений АФР находятся в допускаемых пределах, приведенных в п. 8.3.1. В этом случае диапазон частот комплекса составляет от 0,15 до 10,0 ГГц.
В противном случае результаты поверки считать отрицательными и последующие операции поверки не проводить, комплекс бракуется и подлежит ремонту.
8.3.5 Определение размеров рабочей области сканирования-
8.3.5.1 Определение размеров рабочей области сканирования осуществить по результатам измерений, выполненных в соответствии с п. 8.3.1.5 настоящей МП.
-
8.3.5.2 Результаты поверки считать положительными, если размеры рабочей области сканирования комплекса (длина х высота х ширина) не менее 26х 13х3 м.
В противном случае результаты поверки считать отрицательными и последующие операции поверки не проводить, комплекс бракуется и подлежит ремонту.
8.3.6 Определение сектора углов восстанавливаемых диаграмм направленности-
8.3.6.1 Определение сектора углов восстанавливаемых диаграмм направленности осуществить по результатам определения погрешности измерений по п.8.3.2.
-
8.3.6.2 Результаты поверки считать положительными и сектор углов восстанавливаемой амплитудной диаграммы направленности в азимутальной и угломестной плоскостях составляет от минус 65° до плюс 65°, если при заданных в п. 8.3.2 условиях моделирования (секторы углов 0 и (р) рассчитанная погрешность измерений относительных уровней АДН находятся в допускаемых пределах, приведенных в п. 8.3.2.
В противном случае результаты поверки считать отрицательными и последующие операции поверки не проводить, комплекс бракуется и подлежит ремонту.
9 ОФОРМЛЕНИЕ РЕЗУЛЬТАТОВ ПОВЕРКИ-
9.1 Комплекс признается годным, если в ходе поверки все результаты поверки положительные.
-
9.2 Результаты поверки удостоверяются свидетельством о поверке установленной формы.
-
9.3 Если по результатам поверки комплекс признан непригодным к применению, свидетельство о поверке аннулируется и выписывается извещение о непригодности к применению с указанием причин забракования.
Начальник НИО-1 ФГУП «ВНИИФТРИ»
Начальник отдела 13 ФГУП «ВНИИФТРИ»
Инженер лаборатории 133
ФГУП «ВНИИФТРИ»

куркин


17