Методика поверки «Комплекты мер ультразвуковых ККО-2» (ДШЕК.401926.002 ИЗ)
СОГЛАСОВАНО
Директор
. Патрушев
2015 г.
J________2015 г.
директора
Н.П. Муравская
Методика поверки
ДШЕК.401926.002 ИЗ
Главный метролог
ФГУП «вк^Иофи»
г-2/ С.Н. Не год а
«22» 77 2015 г.
2015
СОДЕРЖАНИЕПРИЛОЖЕНИЕ А
ПРИЛОЖЕНИЕ Б
ПРИЛОЖЕНИЕ В
ВВЕДЕНИЕНастоящая методика устанавливает методы и средства первичной и периодической поверки комплектов мер ультразвуковых ККО-2 (далее - комплекты мер).
Комплекты мер предназначены для воспроизведения и (или) хранения физической величины заданных геометрических размеров искусственных дефектов и применяются для проведения поверки, калибровки и настройки ультразвуковых дефектоскопов.
До ввода в эксплуатацию, комплекты мер подлежат первичной, а в процессе эксплуатации периодической поверке.
На поверку комплект мер может поставляться как в полной, так и в частичной комплектации.
Межповерочный интервал - 2 года.
1 ОПЕРАЦИИ ПОВЕРКИ-
1.1 Поверку средств измерений осуществляют аккредитованные в установленном порядке в области обеспечения единства измерений юридические лица и индивидуальные предприниматели.
-
1.2 Операции поверки комплекта мер приведены в таблице 1.1.
-
1.3 Поверка любой меры, входящей в комплект мер, прекращается в случае получения отрицательного результата при проведении хотя бы одной из операций, а меру признают не прошедшей поверку.
Таблица 1.1
|
№ п/п |
Наименование операции |
Номер пункта Методики поверки |
Прове onepat |
бдение iuu при |
|
первичной поверке |
периодич еской поверке | |||
|
1 |
Внешний осмотр |
7.1 |
да |
да |
|
Определение геометрических характеристик |
7.2 | |||
|
Определение геометрических характеристик меры KO-V1 и абсолютной погрешности их воспроизведения (рис. А.1, прил. А) |
7.3 | |||
|
2 |
Определение:
-расстояния АрЗ от базовой риски шкалы 3 до проекции центра искусственного дефекта Д1 на рабочую поверхность 2 |
7.3.1 |
да |
да |
|
да |
нет | |||
|
да |
нет | |||
|
да |
нет | |||
|
3 |
Определение:
|
7.3.2 |
да |
да |
|
да |
нет | |||
|
да |
нет | |||
|
4 |
Определение глубины Нп и ширины Ln паза |
7.3.3 |
да |
да |
|
5 |
Определение расстояния Ар4 от базовой риски шкалы 4 |
7.3.4 |
да |
нет |
|
до грани 2 | ||||
|
Определение геометрических характеристик меры KO-V2 и абсолютной погрешности их воспроизведения (рис. А.2, прил. А) |
7.4 | |||
|
6 |
Определение:
|
7.4.1 |
Да |
да |
|
да |
нет | |||
|
да |
нет | |||
|
7 |
Определение:
|
7.4.2 |
Да |
нет |
|
да |
нет | |||
|
8 |
Определение:
|
7.4.3 |
да |
нет |
|
да |
нет | |||
|
9 |
Определение угла наклона рабочей поверхности 1 к рабочей поверхности 2 |
7.4.4 |
да |
нет |
|
10 |
Определение отклонения от плоскостности рабочих поверхностей мер |
7.4.5 |
да |
да |
|
11 |
Определение положения оцифрованных рисок шкал относительно базовых рисок в мерах KO-V1 и KO-V2 |
7.5 |
да |
нет |
|
12 |
Определение шероховатости рабочих поверхностей в мерах KO-V1 и KO-V2 |
7.6 |
да |
да |
|
13 |
Определение скорости продольной ультразвуковой волны в мерах KO-V1 и KO-V2 |
7.7 |
Да |
Да |
-
2.1 Рекомендуемые средства поверки указаны в таблице 2.1.
-
2.2 Приведенные средства поверки могут быть заменены на их аналог с характеристиками не хуже указанных в скобках.
-
2.3 Средства поверки должны быть поверены и аттестованы в установленном порядке.
Таблица 2.1
|
Номер пункта методики поверки |
Наименование средства измерения или вспомогательного оборудования, номер документа, регламентирующего технические требования к средству, разряд по государственной поверочной схеме и (или) метрологические и основные технические характеристики |
|
7.3, 7.4, 7.5 |
Линейка контрольная визуально-цифровая. Обозначение типа КЛВЦ. Номер в Госреестре 51173-12. ГОСТ 19300-86. Диапазон измерений от 0 до 500 мм, пределы допускаемой абсолютной погрешности измерений ± (0,02 + 0,05-L) мм, где L - измеряемая длина в метрах (требуемые характеристики: пределы допускаемой абсолютной погрешности ± 0,025 мм в диапазоне измерений от 0 до 35 мм; пределы допускаемой абсолютной погрешности ± 0,03 мм в диапазоне измерений от 35 до 100 |
|
мм). | |
|
7.3, 7.4 |
Угольник поверочный 90° типа УШ. Номер в Госреестре 666-10. ГОСТ 3749-77. Диапазон измерений от 0 до 100 мм, класс точности 1, пределы допускаемой абсолютной погрешности измерений ± 0,006 мм (требуемые характеристики: пределы допускаемой абсолютной погрешности ± 0,01 мм в диапазоне измерений от 0 до 50 мм). |
|
7.4 |
Угломер с отсчетом по нониусу. Номер в Госреестре 34884-07. ГОСТ 5378- 88. Диапазон измерений от 0° до 180°, допускаемая погрешность ± 2'. |
|
7.4, 7.7 |
Плита поверочная и разметочная. Размер 630x400 мм, класс точности 0. ГОСТ 10905-86. Номер в Госреестре 11605-10. |
|
7.4 |
Линейка поверочная лекальная ЛД ГОСТ 8026-92. Номер в Госреестре 3461-73. Размер 75x25x6 мм, класс точности 0. |
|
7.4 |
Щупы набора №2 длиной 100 мм, класс точности 1. Номер в Госреестре 369-73. Диапазон измерений от 0,02 до 0,5 мм, пределы допускаемой абсолютной погрешности в диапазоне измерений от 0,02 до 0,06 мм составляют ± 3 мкм. |
|
7.6 |
Прибор для измерений параметров шероховатости поверхности SURTRONIC 25. Номер в Госреестре 45575-10. ГОСТ 19300-86. Диапазон измерений по параметру Ra от 0 до 40 мкм, пределы допускаемой основной систематической погрешности по параметру Ra ± 3,3 % (требуемые характеристики: пределы допускаемой относительной погрешности ± 10 % в диапазоне измерений по параметру Ra от 0 до 1,5 мкм). |
|
7.7 |
Тестер ультразвуковой УЗТ-РДМ (с совмещенными пьезоэлектрическими преобразователями П112-2,5-12-002 и П111-5,0-К6-002). Номер в Госреестре 44488-10. Диапазон регулировки задержки радиоимпульсов относительно синхроимпульсов от 0,3 до 1000 мкс, пределы допускаемой абсолютной погрешности установки задержки радиоимпульсов относительно синхроимпульсов ± (0,01 + 0,001Dx) мкс, где Dx - значение установленной задержки, мкс (требуемые характеристики: диапазон задержки радиоимпульсов относительно синхроимпульсов от 10 до 70 мкс). |
|
7.7 |
Микрометр МК 50. Номер в Госреестре 51486-12. ГОСТ 6507-90. Диапазон измерений от 25 до 50 мм. Пределы допускаемой абсолютной погрешности измерений ± 2,5 мкм (требуемые характеристики: пределы допускаемой абсолютной погрешности ± 0,01 мм). |
|
7.7 |
Микрометр МК 100. Номер в Госреестре 51486-12. ГОСТ 6507-90. Диапазон измерений от 75 до 100 мм. Пределы допускаемой абсолютной погрешности измерений ± 3,0 мкм (требуемые характеристики: пределы допускаемой абсолютной погрешности ± 0,01 мм). | |
Лица, допущенные к проведению измерений и обработке результатов наблюдений при поверке, должны быть аттестованы в установленном порядке на право проведения поверки средств измерений.
4 ТРЕБОВАНИЯ БЕЗОПАСНОСТИ-
4.1 При подготовке и проведении поверки должно быть обеспечено соблюдение требований безопасности работы и эксплуатации для оборудования и персонала, проводящего поверку, в соответствии с приведенными требованиями безопасности в нормативно-технической и эксплуатационной документации на средства поверки.
-
4.2 К работе по поверке должны допускаться лица, прошедшие обучение и инструктаж по правилам безопасности труда.
-
4.3 Поверку производить только после ознакомления и изучения инструкций по эксплуатации средств поверки.
-
4.4 При проведении поверки должны соблюдаться требования ГОСТ 12.3.019-80.
-
4.5 При проведении поверки все приборы с электрическим питанием от сети переменного тока должны быть заземлены.
-
5.1 Операции поверки комплекта мер ультразвуковых ККО-2 должны проводиться в нормальных климатических условиях:
-
• температура окружающего воздуха (20 ± 5) °C [(293 ± 5) К];
-
• относительная влажность воздуха (65 ± 15) %;
-
• атмосферное давление (750 ± 30) мм рт. ст. [(100 ± 4) кПа].
-
5.2 Номинальное напряжение сети переменного тока 220 В. Допускаемое отклонение ± 10%. Номинальная частота сети переменного тока 50 Гц. Допускаемое отклонение ± 0,5 Гц.
-
5.3 Внешние электрические и магнитные поля должны находиться в пределах, не влияющих на работу средств поверки.
-
6.1 Перед проведением поверки комплект ККО-2 или отдельная мера должны быть очищены от ржавчины и загрязнений. Эта процедура проводится организацией, предоставляющей указанные средства измерений на поверку.
-
6.2 Если комплект мер ультразвуковых и измерительная аппаратура до начала измерений находились в климатических условиях, отличающихся от указанных в п. 5.1, то комплект мер ультразвуковых выдерживают при этих условиях не менее двух часов, средства поверки - не менее часа, или времени, указанного в эксплуатационной документации на средства измерения.
-
6.3 Подготовить средства поверки к работе в соответствии с их руководствами по эксплуатации.
При проведении внешнего осмотра установить соответствие комплекта ККО-2 или отдельной меры следующим требованиям:
-
• комплектность комплекта мер - согласно паспорту;
-
• наличие маркировки на мерах:
-
- наименование предприятия-изготовителя: «Аптек»;
-
- наименование меры: KO-V1, KO-V2;
- заводской номер, содержащий: АБ-ВГД, где АБ - год изготовления (две последние цифры года), ВГД - порядковый номер меры в течение данного года выпуска;
-
• на рабочих поверхностях не допускаются механические повреждения и коррозия материала;
-
• на нерабочих поверхностях меры допускается наличие рисок, вмятин, царапин, которые не влияют на идентификацию меры и не искажают нанесенные на поверхности шкалы.
Мера считается прошедшей операцию поверки с положительным результатом, если выполняются вышеприведенные требования.
7.2 Определение геометрических характеристик мерОбработку результатов измерений проводить по ГОСТ Р 8.736-2011 «Государственная система обеспечения единства измерений. Измерения прямые многократные. Методы обработки результатов измерений. Основные положения» и МИ 2083-90 «Государственная система обеспечения единства измерений. Измерения косвенные. Определение результатов измерений и оценивание их погрешностей».
Применяемые при поверке средства измерений, указанные в табл. 2.1, предполагают нормальный закон распределения погрешности измерений. При косвенных измерениях зависимость между результатом измерений и измеряемыми аргументами линейная и корреляция между погрешностями измерений аргументов отсутствует. Неисключенная систематическая погрешность результата (НСП) образуется из НСП применяемых средств измерений.
При применении иных средств измерений закон распределения погрешности и значимость неисключенной систематической погрешности необходимо уточнить.
-
7.3 Определение геометрических характеристик меры KO-V1 и абсолютной погрешности их воспроизведения (рис. А. 1, прил. А)
-
7.3.1 Определение диаметра искусственного дефекта Д1, расстояний Ар1, Б1 и АрЗ в мере KO-V1
-
7.3.1.1 С помощью линейки КПВЦ провести измерения диаметра искусственного дефекта Д1 в трех разных направлениях с каждой стороны меры. Направления измерения диаметра искусственного дефекта Д1 должны пересекать окружность равномерно.
-
7.3.1.2 Вычислить среднее арифметическое значение диаметра искусственного дефекта х по шести измерениям:
6


(7.1)
где х, - /-й результат измерений.
-
7.3.1.3 Вычислить СКО результатов шести измерений по формуле:
7/15
Комплект мер ультразвуковых ККО-2. Методика поверки.
l^(x,-x)2
(7.2)
-
7.3.1.4 Проверить наличие грубых погрешностей и, при необходимости, исключить их. Вычислить критерии Граббса Gi, G2'.


(7-3)
где хтах - максимальное значение результата измерений;
xmin - минимальное значение результата измерений.
Если Gi>1,97, то хтах исключают, как маловероятное значение, если G2>1,97, то хт1п исключают, как маловероятное значение (здесь 1,97 - это критическое значение для критерия Граббса для шести результатов измерений).
Провести дополнительные измерения (если количество оставшихся результатов измерений стало меньше шести), повторить п.п. 7.2.1.1 - 7.2.1.4, чтобы количество измерений без грубых погрешностей оставалось равным шести.
-
7.3.1.5 Вычислить СКО среднего арифметического измеряемой величины:

(7.4)
-
7.3.1.6 Вычислить доверительные границы е случайной погрешности среднего арифметического измеряемой величины (диаметра искусственного дефекта) при Р=0,95:
(7.5)
s = 2,57-S-,
X
где 2,57 - значение коэффициента Стьюдента для доверительной вероятности Р=0,95 и числа результатов измерений равным 6.
-
7.3.1.7 Вычислить среднее квадратическое отклонение НСП:

(7.6)
где 0Е - сумма НСП применяемых средств измерений (в данном случае - линейки КЛВЦ).
-
7.3.1.8 Вычислить суммарное среднее квадратическое отклонение оценки измеряемой величины:

(7-7)
-
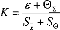
7.3.1.9 Вычислить коэффициент К:

(7-8)
-
7.3.1.10 Вычислить абсолютную погрешность измеряемой величины:
(7-9)
-
Результат измерений диаметра Д1 записать в виде:
Д1 = х±Д, Р=0,95 .
(7.Ю)
Записать полученные в результате вычислений:
Д1ср - среднее арифметическое диаметра искусственного дефекта Д1, мм;
Дд1 - абсолютная погрешность Д1ср измеряемой величины Д1, мм.
Мера считается прошедшей операцию поверки с положительным результатом, если измеряемая величина х (диаметр искусственного дефекта) составляет 50,0 ± 0,1 мм, и абсолютная погрешность не превышает ± 0,05 мм.
-
7.3.1.11 Для определения положения базовой риски шкалы 1 относительно центра искусственного дефекта Д1 установить угольник опорной поверхностью на рабочую поверхность 1 меры (см. рисунок А.1, приложение А) и зафиксировать угольник в прижатом состоянии таким образом, чтобы плоская поверхность стойки угольника лежала в одной плоскости с лицевой поверхностью меры.
-
7.3.1.12 С помощью линейки КЛВЦ провести измерения расстояния 1_р1 от базовой риски шкалы 1 до измерительной поверхности угольника (см. рисунок А.1). Измерения провести шесть раз. Обработку результатов измерений провести аналогично п.п. 7.3.1.2 -7.3.1.10с учетом следующих добавлений.
Записать полученные в результате вычислений:
Lp1Cp - среднее арифметическое значение расстояния Lp1, мм;
Д£! - абсолютная погрешность 1_р1ср измеряемой величины 1_р1, мм.
-
7.3.1.13 С помощью линейки КЛВЦ провести измерение расстояния L1 от измерительной поверхности угольника до ближайшего края искусственного дефекта Д1 (см. рисунок А.1). Измерения проводятся по три раза с лицевой и оборотной стороны. Обработку результатов измерений провести аналогично п.п. 7.3.1.2 - 7.3.1.10 с учетом следующих добавлений.
Записать полученные в результате вычислений:
L1 ср - среднее арифметическое значение расстояния L1, мм;
Д£1 - абсолютная погрешность 1_1ср измеряемой величины L1, мм.
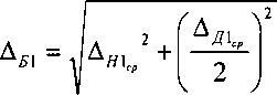
Рассчитать расстояние А1 для искусственного дефекта Д1 по формуле:
А1 = Л
(7-11)
ср 2
Рассчитать абсолютную погрешность воспроизведения расстояния А1 по формуле:

(7.12)
-
7.3.1.14 Рассчитать расстояние от проекции центра искусственного дефекта Д1 на рабочей поверхности 1 до базовой риски шкалы 1 по формуле:
Ар\ = Lp\cp - Al (7.13)
Рассчитать абсолютную погрешность воспроизведения расстояния Ар1 от проекции центра искусственного дефекта Д1 до базовой риски шкалы 1 по формуле:

(7.14)
Мера считается прошедшей операцию поверки с положительным результатом, если измеряемая величина Ар1 соответствует значению 51,96 ± 0,10 мм, и абсолютная погрешность не превышает ± 0,05 мм.
-
7.3.1.15 С помощью линейки КЛВЦ провести измерение расстояния Н1 от рабочей поверхности 1 до ближайшего края искусственного дефекта Д1 (см. рисунок А.1). Измерения проводятся по три раза с лицевой и оборотной стороны.
-
7.3.1.16 Обработку результатов измерений провести аналогично п.п. 7.3.1.2 - 7.3.1.10 с учетом следующих добавлений.
Записать полученные в результате вычислений:
Н1Ср - среднее арифметическое значение расстояния Н1, мм;
ДЯ1 - абсолютная погрешность Н1ср измеряемой величины Н1, мм.
Рассчитать расстояние Б1 от центра искусственного дефекта Д1 до рабочей поверхности 1 по формуле:
Рассчитать абсолютную погрешность воспроизведения расстояния Б1 по формуле:

(7-16)
Мера считается прошедшей операцию поверки с положительным результатом, если расстояние Б1 соответствует значению 30,0 ±0,1 мм и абсолютная погрешность не превышает ± 0,05 мм.
-
7.3.1.17 Провести измерения расстояния АрЗ аналогично п.п. 7.3.1.11 - 7.3.1.14.
-
7.3.1.18 Обработку результатов измерений провести аналогично п.п. 7.3.1.2-7.3.1.10.
-
7.3.1.19 Мера считается прошедшей операцию поверки с положительным результатом, если измеряемая величина АрЗ (расстояние от проекции центра искусственного дефекта Д1 на рабочую поверхность 2 до базовой риски шкалы 3) соответствует значению 40,41 ± 0,10 мм, и абсолютная погрешность не превышает ± 0,05 мм.
-
7.3.2. Определение диаметра искусственного дефекта Д2, расстояний Ар2 и Б2 в мере KO-V1
7.3.2.1.Провести измерения аналогично п.п. 7.3.1.11 - 7.3.1.16 для искусственного дефекта Д2 и расстояний Ар2 и Б2.
-
7.3.2.2 Обработку результатов измерений провести аналогично п.п. 7.3.1.2 - 7.3.1.10.
-
7.3.2.3 Мера считается прошедшей операцию поверки с положительным результатом, если:
-
- измеряемая величина Д2 (диаметр искусственного дефекта) составляет 3,0 ± 0,1 мм, и абсолютная погрешность не превышает ± 0,05 мм;
-
- измеряемая величина Ар2 (расстояние от проекции центра искусственного дефекта Д2 на рабочую поверхность 2 до базовой риски шкалы 2) соответствует значению 32,17 ± 0,10 мм, и абсолютная погрешность не превышает ± 0,05 мм;
-
- расстояние Б2 (от рабочей поверхности 2 до центра искусственного дефекта Д2) соответствует значению 15,0 ± 0,1 мм и абсолютная погрешность не превышает ± 0,05 мм.
-
7.3.3 Определение глубины Нп и ширины Ln паза в мере KO-V1
-
7.3.3.1 С помощью линейки КЛВЦ провести измерения глубины Нп и ширины Ln паза по три раза с каждой стороны меры.
-
7.3.3.2 Обработку результатов измерений провести аналогично п.п. 7.3.1.2 - 7.3.1.10.
-
7.3.3.3 Мера считается прошедшей операцию поверки с положительным результатом, если:
-
- измеряемая величина Нп (глубина паза) составляет 15,0 ±0,1 мм, и абсолютная погрешность не превышает ± 0,05 мм;
-
- измеряемая величина Ln (ширина паза) составляет 2,0 ± 0,1 мм, и абсолютная погрешность не превышает ± 0,05 мм.
-
7.3.4 Определение расстояния Ар4 от базовой риски шкалы 4 до грани 2 в мере KO-V1
-
7.3.4.1 С помощью линейки КЛВЦ провести измерения расстояния от базовой риски шкалы 4 до грани 2 (см. рисунок А.1). Измерения провести шесть раз в разных направлениях, заканчивающихся на грани 2 в точках, равно отстоящих друг от друга.
-
7.3.4.2 Обработку результатов измерений провести аналогично п.п. 7.3.1.2 - 7.3.1.10.
-
7.3.4.3 Мера считается прошедшей операцию поверки с положительным результатом, если расстояние Ар4 (от базовой риски шкалы 4 до грани 2) соответствует значению 100 ± 0,1 мм и абсолютная погрешность не превышает ± 0,05 мм.
-
7.4 Определение геометрических характеристик меры KO-V2 и абсолютной погрешности их воспроизведения (рис. А.2, прил. А)
-
7.4.1 Определение диаметра искусственного дефекта Д, расстояний Ар2 и Б2 в мере KO-V2
-
7.4.1.1 С помощью линейки КЛВЦ провести измерения диаметра искусственного дефекта Д в трех разных направлениях с каждой стороны меры.
-
7.4.1.2 Обработку результатов измерений провести аналогично п.п. 7.3.1.2-7.3.1.10.
-
7.4.1.3 Провести измерения аналогично п.п. 7.3.1.11 - 7.3.1.16 для расстояний Ар2 и Б2 (см. рисунок А.2, приложение А).
-
7.4.1.4 Обработку результатов измерений провести аналогично п.п. 7.3.1.2 - 7.3.1.10.
-
7.4.1.5 Мера считается прошедшей операцию поверки с положительным результатом, если:
-
- измеряемая величина Д (диаметр искусственного дефекта) составляет 5,0 ± 0,1 мм, и абсолютная погрешность не превышает ± 0,05 мм;
-
- измеряемая величина Ар2 (расстояние от проекции центра искусственного дефекта Д на рабочую поверхность 1 до базовой риски шкалы 2) соответствует значению 16,78 ±0,1 мм, и абсолютная погрешность не превышает ± 0,05 мм;
-
- расстояние Б2 (от рабочей поверхности 1 до центра искусственного дефекта Д) соответствует значению 20 ± 0,1 мм и абсолютная погрешность не превышает ± 0,05 мм.
-
7.4.2 Определение расстояний АрЗ и БЗ в мере KO-V2
-
7.4.2.1 Провести измерения аналогично п.п. 7.3.1.11 - 7.3.1.16 для расстояний АрЗ и БЗ (см. рисунок А.2).
-
7.4.2.2 Обработку результатов измерений провести аналогично п.п. 7.3.1.2 -7.3.1.10.
-
7.4.2.3 Мера считается прошедшей операцию поверки с положительным результатом, если:
-
- измеряемая величина АрЗ (расстояние от проекции центра искусственного дефекта Д на рабочую поверхность 2 до базовой риски шкалы 3) соответствует значению
-
16,5 ± 0,1 мм, и абсолютная погрешность не превышает ± 0,05 мм;
-
- расстояние БЗ (от рабочей поверхности 2 до центра искусственного дефекта Д) соответствует значению 7,7 ±0,1 мм и абсолютная погрешность не превышает ± 0,05 мм.
-
7.4.3 Определение расстояния от базовой риски шкалы 1 до грани 1 и грани 2 в мере KO-V2
-
7.4.3.1 С помощью линейки КПВЦ провести измерения расстояния от базовой риски шкалы 1 до грани 1 (см. рисунок А.2). Измерения провести шесть раз в разных направлениях.
-
7.4.3.2 Обработку результатов измерений провести аналогично п.п. 7.3.1.2-7.3.1.10.
-
7.4.3.3 С помощью линейки КЛВЦ провести измерения расстояния от базовой риски шкалы 1 до грани 2 (см. рисунок А.2). Измерения провести шесть раз в разных направлениях.
-
7.4.3.4 Обработку результатов измерений провести аналогично п.п. 7.3.1.2 -7.3.1.10.
-
7.4.3.5 Мера считается прошедшей операцию поверки с положительным результатом, если:
-
- расстояние Ар1 (от базовой риски шкалы 1 до грани 1) соответствует значению 25,0 ±0,1 мм и абсолютная погрешность не превышает ± 0,05 мм;
-
- расстояние Ар4 (от базовой риски шкалы 1 до грани 2) соответствует значению 50,0 ±0,1 мм и абсолютная погрешность не превышает ± 0,05 мм.
-
7.4.4 Определение угла наклона рабочей поверхности 1 к рабочей поверхности 2 в мере
KO-V2 .■
-
7.4.4.1 С помощью угломера провести измерения угла наклона рабочей поверхности 1 к рабочей поверхности 2 (см. рисунок А.2).
-
7.4.4.2 Обработку результатов измерений провести аналогично п.п.7.3.1.2 - 7.3.1.10.
-
7.4.4.3 Мера считается прошедшей операцию поверки с положительным результатом, если измеряемая величина Р (угол наклона) составляет 30° ± 10', и абсолютная погрешность не превышает ± 5'.
-
7.4.5 Определение отклонения от плоскостности рабочих поверхностей мер
-
7.4.5.1 Определение отклонения от плоскостности рабочих поверхностей производится при помощи линейки поверочной лекальной (далее - лекальная линейка) и щупов набора №2 толщиной 0,02 мм в десяти точках, расположенных равномерно по всей длине рабочей поверхности.
-
7.4.5.2 Меру KO-V1 положить на поверочную плиту сначала рабочей поверхностью №2. Лекальную линейку приложить острым краем перпендикулярно плоскости рабочей поверхности и её оси симметрии, после чего в образовавшийся зазор поместить щуп толщиной 0,02 мм. Измерения производятся поочередно в десяти точках, расположенных равномерно по всей длине рабочей поверхности. Затем эту меру поместить на поверочную плиту рабочей поверхностью №1 и повторить процедуру измерения.
-
7.4.5.3 Повторить п. 7.4.5.2 для меры KO-V2.
-
7.4.5.4 Мера считается прошедшей операцию поверки с положительным результатом, если отклонение от плоскостности рабочих поверхностей не превышает 0,02 мм.
-
7.5 Определение положения оцифрованных рисок шкал относительно базовых рисок
-
7.5.1 С помощью линейки КЛВЦ провести измерения расстояний Р от базовой риски шкалы 1 до каждой оцифрованной риски на шкале 1. Измерения проводятся по шесть раз.
-
7.5.2 Обработку результатов измерений провести аналогично п.п. 7.3.1.2-7.3.1.10.
-
7.5.3 Провести измерения аналогично п.п. 7.5.1 - 7.5.2 для оцифрованных рисок всех шкал в мерах KO-V1 и KO-V2 (см. рисунок А.1 и А.2).
-
7.5.4 Мера считается прошедшей операцию поверки с положительным результатом, если измеряемая величина Р (расстояние от базовой риски до оцифрованной риски) соответствует значениям приведенным в приложении Б, и абсолютная погрешность не превышает ± 0,05 мм. Формулы расчета величины Р приведены в таблице 7.5.
Таблица 7.5
|
KO-V1 | |
|
Расстояние Р оцифрованных рисок, мм
|
30(tga-tg60°)±0,1; 15 (tga - tg65°) ± 0,1; 70 (tga - tg30°) ± 0,1; 10 ± 0,1; где a - значение угла ввода, соответствующее данной риске |
|
KO-V2 | |
|
Расстояние Р оцифрованных рисок, мм
|
5 ± 0,1; 20(tga-tg40°)±0,1; 7,69(tga-tg65°)±0,1; где а значение угла ввода, соответствующее данной риске |
7.6 Определение шероховатости рабочих поверхностей в мерах KO-V1 и KO-V2
-
7.6.1 С помощью профилометра провести измерения шероховатости Ra рабочей поверхности 1 меры KO-V1 (см. приложение А). Измерения проводить по два раза с краевых сторон и два раза по середине рабочей поверхности меры вдоль рисок шкалы.
-
7.6.2 Повторить п. 7.6.1 для рабочей поверхности 2 меры KO-V1 и всех рабочих поверхностей меры KO-V2.
-
7.6.3 Мера считается прошедшей операцию поверки с положительным результатом, если измеряемая величина шероховатости Ra рабочей поверхности меры не превышает
-
1.6 мкм при каждом измерении.
-
7.7 Определение скорости продольной ультразвуковой волны в мерах K0-V1 и KO-V2
-
7.7.1 Положить меру KO-V1 любой рабочей поверхностью на поверочную плиту и с помощью микрометра МК 100 провести измерения высоты Н этой меры в шести точках, равномерно распределённых по общей длине рабочих поверхностей 1 и 2.
Значение высоты меры не должно превышать 100,00 ± 0,01 мм для меры KO-V1.
-
7.7.2 Обработку результатов измерений провести аналогично п.п. 7.3.1.2-7.3.1.10.
-
7.7.3 Подключить совмещенный пьезоэлектрический преобразователь П112-2,5-12-002 к тестеру УЗТ-РДМ. Установить на тестере настройки в соответствии с подключенным преобразователем. Установить преобразователь на рабочую поверхность 1 меры KO-V1 вне зоны отверстий, гравировки и сегментных отражателей, предварительно нанеся слой контактной жидкости.
-
7.7.4 Получить два донных сигнала на экране тестера. Стробами тестера измерить время прохождения ультразвуковых колебаний в образце (время между первым и вторым донными сигналами). Измерения выполнить шесть раз.
-
7.7.5 Обработку результатов измерений провести аналогично п.п. 7.3.1.2 - 7.3.1.10 с учетом следующих добавлений.
Полученные результаты обозначить:
tcp - среднее арифметическое значение времени прохождения ультразвуковых колебаний в образце, мкс;
А - абсолютная погрешность tcp измеряемой величины t, мкс.
-
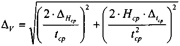
7.7.6 Рассчитать скорость V продольной ультразвуковой волны в мерах по формуле:
V = - , мм/мкс, (7.17)
fcp
где Нср - среднее арифметическое значение высоты меры Н, мм.
Рассчитать абсолютную погрешность воспроизведения скорости продольной ультразвуковой волны в мере по формуле:
, мм/мкс
Привести рассчитанные значения к единицам измерения м/с, умножив полученное значение на 1000.
-
7.7.7 Повторить измерения по п.п. 7.7.3 - 7.7.6 для меры KO-V2 (используется микрометр МК 50, пьезоэлектрический преобразователь П111-5,0-К6-002, пьезоэлектрический преобразователь устанавливается на боковую поверхность меры, при расчетах используется толщина меры, толщина меры не должна превышать 12,50 ± 0,05 мм).
-
7.7.8 Мера считается прошедшей операцию поверки с положительным результатом, если скорость распространения продольной ультразвуковой волны в мерах находится в диапазоне (5920 ± 30) м/с, и абсолютная погрешность не превышает ± 15 м/с.
-
8.1 Результаты поверки заносят в протокол. Рекомендуемая форма протокола приведена в приложении В к методике поверки.
-
8.2 При положительных результатах поверки оформляют свидетельство о поверке в установленной форме.
-
8.3 При отрицательных результатах поверки, комплект мер признается непригодным к применению, и на него выдается извещение о непригодности с указанием причин непригодности.


Рисунок А.1 Эскиз меры КО-VI
Рабочая поверхность 1
Базоваяриска 1 шкалы 1

Базовая риска 2 шкалы 2
Угольник ЧШ-1


Рисунок А.2 Эскиз меры KO-V2
ПРИЛОЖЕНИЕ БТАБЛИЦА Б.1
Мера K0-V1. Положение рисок шкалы 1 относительно базовой риски
|
0° |
Р, мм (допуск ±0,1 мм) |
а° |
Р, мм (допуск ±0,1 мм) |
|
Номинал |
Номинал | ||
|
58 |
3,95 |
68 |
22,29 |
|
59 |
2,03 |
69 |
26,19 |
|
60 |
0,00 |
70 |
30,46 |
|
61 |
2,16 |
71 |
35,16 |
|
62 |
4,46 |
72 |
40,37 |
|
63 |
6,92 |
73 |
46,16 |
|
64 |
9,55 |
74 |
52,66 |
|
65 |
12,37 |
75 |
60,00 |
|
66 |
15,42 |
76 |
68,36 |
|
67 |
18,71 |
77 |
77,98 |
ТАБЛИЦА Б.2
Мера KO-V1. Положение рисок шкалы 2 относительно базовой риски
|
а° |
Р, мм (допуск ±0,1 мм) |
0° |
Р, мм (допуск ±0,1 мм) |
|
Номинал |
Номинал | ||
|
63 |
2,73 |
72 |
14,00 |
|
64 |
1,41 |
73 |
16,90 |
|
65 |
0,00 |
74 |
20,14 |
|
66 |
1,52 |
75 |
23,81 |
|
67 |
3,17 |
76 |
27,99 |
|
68 |
4,96 |
77 |
32,80 |
|
69 |
6,91 |
78 |
38,40 |
|
70 |
9,04 |
79 |
45,00 |
|
71 |
11,40 |
80 |
52,90 |
ТАБЛИЦА Б.З
Мера KO-V1. Положение рисок шкалы 3 относительно базовой риски
|
а° |
Р, мм (допуск ±0,1 мм) |
а° |
Р, мм (допуск ±0,1 мм) |
|
Номинал |
Номинал | ||
|
30 |
0,00 |
46 |
32,07 |
|
31 |
1,65 |
47 |
34,65 |
|
32 |
3,33 |
48 |
37,33 |
|
33 |
5,04 |
49 |
40,11 |
|
34 |
6,80 |
50 |
43,01 |
|
35 |
8,60 |
51 |
46,03 |
|
36 |
10,44 |
52 |
49,18 |
|
37 |
12,33 |
53 |
52,48 |
|
38 |
14,28 |
54 |
55,93 |
|
39 |
16,27 |
55 |
59,56 |
|
40 |
18,32 |
56 |
63,36 |
|
41 |
20,44 |
57 |
67,38 |
|
42 |
22,61 |
58 |
71,61 |
|
43 |
24,86 |
59 |
76,09 |
|
44 |
27,18 |
60 |
80,83 |
|
45 |
29,59 |
ТАБЛИЦА Б.4
Мера K0-V1. Положение рисок шкалы 4 относительно базовой риски
|
Левая часть шкалы |
Правая часть шкалы | ||
|
Риска |
Р, мм (допуск ±0,1 мм) |
Риска |
Р, мм (допуск ±0,1 мм) |
|
Номинал |
Номинал | ||
|
0 |
0 |
0 |
0 |
|
1 |
1 |
1 |
1 |
|
2 |
2 |
2 |
2 |
|
3 |
3 |
3 |
3 |
|
4 |
4 |
4 |
4 |
|
5 |
5 |
5 |
5 |
|
6 |
6 |
6 |
6 |
|
7 |
7 |
7 |
7 |
|
8 |
8 |
8 |
8 |
|
9 |
9 |
9 |
9 |
|
10 |
10 |
10 |
10 |
ТАБЛИЦА Б.5
Мера KO-V2. Положение рисок шкалы 1 относительно базовой риски
|
1евая часть шкалы |
П |
равая часть шкалы | |
|
Риска |
Р, мм (допуск ±0,1 мм) |
Риска |
Р, мм (допуск ±0,1 мм) |
|
Номинал |
Номинал | ||
|
0 |
0 |
0 |
0 |
|
1 |
1 |
1 |
1 |
|
2 |
2 |
2 |
2 |
|
3 |
3 |
3 |
3 |
|
4 |
4 |
4 |
4 |
|
5 |
5 |
5 |
5 |
ТАБЛИЦА Б.6
Мера K0-V2. Положение рисок шкалы 2 относительно базовой риски
|
а° |
Р, мм (допуск ±0,1 мм) |
а° |
Р, мм (допуск ±0,1 мм) |
|
Номинал |
Номинал | ||
|
40 |
0,00 |
55 |
11,78 |
|
45 |
3,22 |
60 |
17,86 |
|
50 |
7,05 |
65 |
26,11 |
ТАБЛИЦА Б.7
Мера KO-V2. Положение рисок шкалы 3 относительно базовой риски
|
а0 |
Р, мм (допуск ±0,1 мм) |
|
Номинал | |
|
65 |
0,00 |
|
70 |
4,64 |
|
75 |
12,21 |
ПРОТОКОЛ первичной/периодической поверки №
от «______»______________20__года
Средство измерений_________________________________________________
Заводской номер_____________________________________________________
Изготовленное_________________________________________________________
Принадлежащее_________________________________________________
Поверено в соответствии с методикой поверки_____________________________
При следующих значениях влияющих факторов:
Температура окружающей среды______________________________________
Атмосферное давление________________________________________________
Относительная влажность______________________________________________
С применением эталонов:
|
Наименование |
Тип |
Зав. № |
Предел измерений |
Погреши, измерений |
Сведения о поверке |
Результаты поверки:
1. Внешний осмотр.
2. Результаты определения метрологических характеристик.
2.1. Определение диаметра отверстия Д1.
|
Параметр |
Ед. изм. |
Номинал |
Допуск |
Результаты измерений |
Среднее арифм. |
Критерий Граббса |
Абсолютная погреш-ность |
Заключение | |
|
G1 |
G2 | ||||||||
|
Диаметр отверстия Д1 | |||||||||
-
2.2. Определение расстояния Ар2 от базовой риски шкалы 2 до проекции центра отверстия Д1 на рабочую поверхность 1.
Параметр
Ед. изм.
Номинал
Допуск
Результаты измерений
Среднее арифм.
Критерий Граббса
Абсолютная погрет-ность
Заключение
G1
G2
Расстояние
Ар2
-
2.3. Определение расстояния Б2 от центра отверстия Д1 до рабочей поверхности 1.
Параметр
Ед.
изм.
Номинал
Допуск
Результаты измерений
Среднее арифм.
Критерий Граббса
Абсолютная погрет-ность
Заключение
G1
G2
Расстояние
Б2
-
2.4. Определение расстояния АрЗ от базовой риски шкалы 3 до проекции центра отверстия Д1 на рабочую поверхность 2.
Параметр
Ед. изм.
Номинал
Допуск
Результаты измерений
Среднее арифм.
Критерий Граббса
Абсолютная погрет-ность
Заключение
G1
G2
Расстояние
АрЗ
-
2.5. Определение расстояния БЗ от центра отверстия Д1 до рабочей поверхности 2.
Параметр
Ед.
изм.
Номинал
Допуск
Результаты измерений
Среднее арифм.
Критерий Граббса
Абсолютная погрет-ность
Заключение
G1
G2
Расстояние БЗ
2.6. Определение расстояния Apl от базовой риски шкалы 1 до грани 1.

Заключение:
На основании результатов первичной/периодической поверки_________________________
соответствует описанию типа и признана пригодной к применению.
Поверитель:___________________________________________________
Протокол поверки меры № KO-V2 из комплекта мер ультразвуковых KKO-2
4/4
