Методика поверки «КОМПЛЕКСЫ ИЗМЕРИТЕЛЬНЫЕ ПРОГРАММНО-ТЕХНИЧЕСКИЕ «АЗИМУТ 4»» (ТБДД. 466534.030 ΜΠ)
УТВЕРЖДАЮ
Первый заместитель
КОМПЛЕКСЫ ИЗМЕРИТЕЛЬНЫЕ ПРОГРАММНО-ТЕХНИЧЕСКИЕ «АЗИМУТ 4»
МЕТОДИКА ПОВЕРКИ
ТБДД.466534.030 МН
1.И. Менделеев о 2019 г.
-
I Общие положения...................

-
4 Требования к квалификации поверителей • Л9Ч9999 99999««9999Ь99•«•••••••••••••••••«9 999999
I ОБЩИЕ ПОЛОЖЕНИЯ
-
1.1 Настоящий документ распространяется на комплексы измерительные программно-технические «Азимут 4» (далее - комплексы) всех исполнений и устанавливает методику, порядок и содержание их первичной и периодической поверок.
-
1.2 Объем первичной и периодической поверок приведен в таблице 1.
-
1.3 Дня комплексов, применяемых для контроля скорости движения транспортных средств в зоне контроля и на контролируемом участке по видеокадрам в случае изменения схем монтажа, а также изменения местоположения комплексов, производится внеочередная поверка в объеме периодической поверки.
-
1.4 Поверка по н.п. 7.5 и 7.7 осуществляется только по мест)' эксплуатации комплексов.
-
1.5 Интервал между поверками 2 года.
2 ОПЕРАЦИИ ПОВЕРКИ
2.1 При проведении поверки комплекса проводят операции, указанные в таблице 1. Таблица 1 2—.*— .
|
Наименование операции |
№ пункта методики |
Проведение операций при поверке | |
|
первичной |
периодической | ||
|
Внешний осмотр |
7.1 |
Да |
Да |
|
Опробование |
7.2 |
Да |
Да |
|
Идентификация программного обеспечении (НО) |
7.3 |
Да |
Да |
|
Определение метрологических характеристик: | |||
|
Определение абсолютной погрешности синхронизации внутренней шкалы времени (III В) комплексов к ШВ UTC(SU) |
7.4 |
Ди |
Да |
|
Определение погрешности измерений скорости движения транспортных средств (ТС) в зоне контроля по видеокадрам |
7.5 |
1 Ли |
Да |
|
Определение погрешности измерений скорости движения ТС в зоне контроля радиолокационным методом (исполнение 03) |
7.6 |
Да |
Да |
|
Определение погрешности измерений скорости движения ТС на контролируемом участке |
7.7 |
Да |
Да |
|
Определение абсолютной погрешности (при доверительной вероятности 0,95 и геометрическом факторе PDOP < 3) определения координат в плане |
7.8 |
Да |
Да |
-
2.2 Допускается проведение поверки меньшего числа измеряемых величин с обязательным указанием в свидетельстве о поверке информации об объеме проведенной поверки.
Метрологическая характеристика, поверяемая в обязательном порядке определена в п.7.4 и 7.8.
-
2.3 При получении отрицательных результатов поверки по любому пункту таблицы I. поверка прекращается и комплекс признается непригодным к применению.
3 СРЕДСТВА ПОВЕРКИ
3.1 При проведении поверки применяются средства измерений и вспомогательное оборудование, указанные в таблице 2.
'Таблица 2.
|
Номер пункта методики поверки |
Наименование и тип (условное обозначение) основного или вспомогательного средства поверки; обозначение нормативного документа, регламентирующего технические требования, и (или) метрологические и основные технические характеристики средства поверки |
|
Основные средства поверки | |
|
7.4 |
Источник первичный точного времени УКУС-ПИ 02ДМ, пределы абсолютной погрешности синхронизации ШВ выходного сигнала частотой 1 Гц (IPPS) относительно ШВ UTC(SU) в режиме синхронизации по сигналам ГНСС ГЛОНАСС/GPS ±1 мкс |
|
7.5 |
Лазерный дальномер Leica DISTO D510, пределы допускаемой абсолютной погрешности измерений расстояний ±1.0 мм |
|
7.5 |
Частотомер универсальный GFC-8010H. пределы относительной погрешности по частоте опорною генератора ±5-10** за 12 месяцев |
|
7.5. 7.7. 7.8 |
Аппаратура навигационно-временная потребителей глобальных навигационных спутниковых систем ГЛОНАСС/GPS /GAI.1I.EO/SBAS NV08C-CSM-DR (далее - навигационный приемник), пределы допускаемого среднего квадратического отклонения случайной составляющей инструментальной погрешности синхронизации ШВ к ШВ UTC(SU), UTC(USNO). системным 111В систем ГЛОНАСС и GPS ±15 нс; пределы инструментальной погрепшости (при доверительной вероятности 0.95) определения скорости ±0.1 м/с |
|
7.8 |
GNSS-приёмннк спутниковый геодезический многочастотный SIGMA, предел допускаемой абсолютной погрешности измерений длины базиса в плане ±3,(3±5-IO’7’D) мм. где D - измеренная длина базиса в мм |
|
7.6 |
Имитатор скорости движения транспортных средств «ИС-24»Д, значения имитируемой скорости движения цели 20. 70.90, 120. 150, 180, 250, 300 км/ч. пределы допускаемой абсолютной погрешности имитации скорости ±0.3 км/ч |
|
Вспомогательные средства поверки | |
|
7.5 |
Приспособлсние-микролифт для установки и наводки лазерного дальномера на цель (далее - штативная головка), штативная головка Manfrotto 410 с точным позиционированием |
|
7.5 |
Штатив, совместимый со штативной головкой Manfrotto 410 |
|
7.4 |
Индикатор времени ИВ-1, точность отображения времени до 0,0001 с |
|
7.2. 7.3. 7.4. 7.5. 7.6, 7.7. 7.8 |
Переносной компьютер типа "Ноутбук", удовлетворяющий требованиям к аппаратному и ПО согласно ТБДД.466534.030 РО 1 «Руководство оператора» |
-
3.2 Вместо указанных в таблице 2 средств поверки допускается применять другие аналогичные. обеспечивающие определение метрологических характеристик поверяемых комплексов е требуемой точностью.
-
3.3 Применяемые при поверке средства измерений должны быть исправны, поверены и иметь свидетельства о поверке или оттиск повернтельного клейма на приборе или в паспорте.
4 ТРЕБОВАНИЯ К КВАЛИФИКАЦИИ ИОВЕРИТЕЛЯ
-
4.1 Поверка должна осуществляться липами, аттестованными в качестве поверителей в порядке, установленном в ПР 50.2.012-94.
-
4.2 Персонал, проводящий поверку, должен быть ознакомлен с руководством по эксплуатации комплексов и настоящей методикой поверки.
5 ТРЕБОВАНИЯ БЕЗОПАСНОСТИ
-
5.1 При проведении поверки должны быть соблюдены требования безопасности, в соответствии с ГОСТ 12.3.019-80
6 УСЛОВИЯ ПОВЕРКИ
-
6.1 При проведении поверки необходимо соблюдать следующие условия:
- температура окружающего воздуха. °C...............................от минус 60 до плюс 60;
-относительная влажность окружающего воздуха при 30 °C. %, не более................95.
Примечание. При проведении поверки необходимо обеспечить выполнение условий эксплуатации для используемых средств поверки и принадлежностей согласно их эксплуатационной документации.
7 ПРОВЕДЕНИЕ ПОВЕРКИ
7.1 Внешний осмотр
При проведении внешнего осмотра установить соответствие поверяемого комплекса следующим требованиям:
-
- комплектность комплекса совпадает с указанной в паспорте;
-
- отсутствуют механические повреждения телевизионных (ТВ) датчиков, линий связи, элементов комплекса, в том числе, заземления, незакрепленные предметы:
-
- монтаж комплекса произведен в соответствии с его технической документации (для установленных на месте эксплуатации комплексов):
-
- имеются действующие клейма, пломбы, заводские номера на шильде вычислительного модуля комплекса.
7.2 Опробование
-
7.2.1 Подготовить комплекс к работе, при этом:
-
- включить питание комплекса, дождаться выходи комплекса на рабочий режим согласно «Руководства по эксплуатации» ГБДД.466534.030 РЭ (далее - РЭ) и «Руководства оператора»» ТБДД.466534.030 РО1 (далее РО);
-
- подключить ноутбук к комплексу согласно РЭ;
-
- запустить web-браузер и подключиться к комплексу согласно РО;
-в web-интерфейсе комплекса перейти на страницу «ГЛОНАСС/GPS». На странице должны отображаться данные о спутниках, координатах комплекса, дате и времени (рисунок 1);
йиюр» М
|
О-", • UW4M С>П«ги в |
1» п |
|
ОммМСМ Afr |
II»* |
|
ГРОР |
м |
|
»«эо» |
«1 |
|
5» | |
|
CletWL UMtMM |
ra*w«p«fkrw
|
ми»п |
I Dt«yVWM4 |
«Ш.М |
|
» |
It |
» |
|
* |
№ |
ra |
|
• |
Ira |
w |
|
« |
it | |
|
е |
;ж |
• |
|
• |
If» |
» |
|
[г |
• » |
W ' |
|
• |
,xr | |
|
» |
:at |
» |
|
- | ||
|
W |
|ra |
» |
|
га |
та |
a. |
|
U |
•га |
ra |
|
м |
|m |
a |
|
га |
.ГТ |
jr |
|
га |
>«• |
X? |
|
га |
И |
» |
|
га |
<n |
Ы |
|
М иная* |
Ю cnirtitM** |
■ли. ла |
г JIM ГТОНЖХ
ГЪиипыГЯЭ
tv—
GM.VS
Рисунок I - Страница «ГЛОНАСС/GPS»
-
7.2.2 В wch>-интерфейсе комплекса перейти на страницу «Мониторинг». В окнах страницы «Мониторинг» должны отображаться ГС. номера которых были распознаны комплексом.
-
7.2.3 Убедиться на примере проходящего транспорта, что распознавание комплексом государственного регистрационного знака (ГРЗ) проходящих ТС производится и ведется измерение скорости транспортных средств.
-
7.2.4 Согласно указаниям РЭ и РО, на экран монитора комплекса вывести информационные окна (рисунок 2) по соотвсгстнуюшнм каналам актуального коптроля и измерений скорости со всей необходимой информацией:
-
- изображение распознанного ТС.
-
- значение скорости ТС;
-
- распознанный ГРЗ*
'eer <
Рисунок 2 - 11н формационное окно
-
7.2.5 Результаты опробования считать положительными, если наблюдается совпадение номеров в контрольной строке и на изображении ТС на экране монитора.
Примечание - Пункты 7.2.2-7.2.5 выполняются только для комплексов, установленных на месте эксплуатации, для всех контролируемых полос и направлений движения.
7.3 Идентификация ПО
-
7.3.1 Используя web-интсрфейсс комплекса, перейти на страницу «Система».
-
7.3.2 11а странице система в подразделе «Идентификационные данные ПО» считать версию файла.
7.3.3 Результаты поверки считать положительными, если идентификационные данные соответствуют указанным в таблице 3.
Таблица 3
|
Идентификационные данные (признаки) |
Значение |
|
Идентификационное наименование ПО |
Азимут 4 |
|
Номер версии (идентификационный номер) ПО |
не ниже 4.0.0 |
|
Цифровой идентификатор ПО (контрольная сумма исполняемого кода) |
a25f33H2tbl IЬ8658Ь8Ь630956970са |
|
Алгоритм вычисления идентификатора ПО |
MD5 — |
-
7.4 Определение абсолютной погрешности синхронизации внутренней ШВ комплексов к ШВ UTC(Sli)
-
7.4.1 Определение абсолютной погрешности синхронизации внутренней ШВ комплекса к ШВ UTC(SU) проводить путем сравнения времени, записанного ни формируемом видеокадре, со значением эталонною времени. В качестве эталонного времени используется значение времени UTC(SU) с источника первичного точного времени.
-
7.4.2 Убедиться, что комплекс синхронизирован с ШВ ГЛОНАСС. Для этого в wch-иитерфейсс комплекса перейти на страницу «Дата и время» и убедиться, что значения, указанные в таблице "Синхронизация’’ соответствуют таблице 4.
Таблица 4
|
Наименование разделов |
Значение |
|
Источник синхронизации |
PPS |
|
Отклонение, мс |
от -1 до +1 |
|
Нестабильность, мс |
от-1 до +1 |
|
Поел, еннхр., с |
не более 60 |
Пример корректных значений приведен на рисунке 3.
Дата, время:
20 092019 11*00:02
Часовом ПОЯС
GMT *05 00
Сохранить
Синхронизаций
Источник синхронизации Отклонение, мс Нестабильность, мс Поел, синхр., с
PPS О ООО О 004
Рисунок 3 - Страница «Дата и время" web-интерфейса комплекса
7.4.3 Собрать схему в соответствии с рисунком 4.
I Гн
Рисунок 4 - Схема проведения измерений при определении абсолютной погрешности синхронизации
-
7.4.4 Обеспечить радиовидимость сигналов навигационных космических аппаратов ГЛОНАСС и GPS в верхней полусфере. В соответствии с эксплуатационной документацией на комплекс и УКУС-ПИ 02ДМ подготовить их к работе.
-
7.4.5 С помощью wcb-ннтерфейса комплекса сделать нс менее 10 фотографий средства визуализации, на фотографии должны быть видна индицируемое время и время, наложенное на
изображение комплекса в соответствии с рисунком 5.
Рисунок 5 - Индицируемое время н время, наложенное на изображение комплексами
-
7.4.6 Определить абсолютную погрешность синхронизации ШВ комплексов с национальной ШВ UTC(SU) по формуле (7.4.1) (с учетом поясного времени):
(7-4.1)
где АТ(/) - абсолютная погрешность синхронизации ШВ комплексов с национальной ШВ UTC(SU) в j-Й момент времени;
Т(/) - измеренное комплексами значение ШВ UTC(SU) в j-Й момент
времени, с;
Т.кгйгя» - действительное значение ШВ UTC(SU) в j-Й момент времени, с.
-
7.4.7 Результаты поверки считать положительными, если для каждого результата измерений значения абсолютной погрешности синхронизации внутренней ШВ комплексов к ШВ UTC(SU) находится в пределах ±1 мс.
7.5 Определение noipeiniiociи измерений скорости дннженнн ТС в зоне контролы но видеокадрам
7 5./ Определение погрешности измерений скорости ТС в зоне контроля по видеокадрам, вариант 1
Относительную погрешность измерения скорости <5 рассчитывать по формуле (7.5.1):

(7.5.1)
где - относительная погрешность измерения расстояния;
- относительная погрешность измерения времени.
-
7.5.1.1 Определение относительной шн-рсшностн измерения расстояния в зоне
контроля проводить в следующем порядке:
-
- установить лазерный дальномер на штативную головку;
-
- установить на лазерном дальномере режим измерения расстояния от передней поверхности прибора (см. руководство по эксплуатации используемого дальномера);
-
- в «зоне контроля» установить ТС так, чтобы передний ГРЗ находился в нижней четверги изображения; передние колеса автомобиля установить в положение «прямо» (рисунок 6);
M lv/p«iiMO дмсгннцми н км «с«п**п»
KiuujmiN* р*к»**ниг 11
«иыдоьИ
Тип Дата «•iwrpiiuiaa fPJ
HW «ими» ДЛМ«М
мм
Сг JtrtftZrtS 1КИ1.П! 0ПП»оо«
f t ОШ
Рисунок 6 - Установка лазерного дальномера к ГРЗ
СПЛ KMMC'HUU
-
- в диалоге «Живое видео» web-интерфейса комплекса ввести ГРЗ ТС;
-
- в диалоге «Живое видео» web-ин тсрфейса комплекса нажать кнопку «Старт измерений»;
-
- дождаться, когда после распознавания ГРЗ. кнопка «Старт измерений» станет неактивной, а кнопка «Стоп измерений» - активной;
-
- установить штатив с лазерным дальномером гак. чтобы передняя поверхность дальномера упиралась в середину ГРЗ;
-
- переместить ТС задним ходом вдоль направления движения автотранспорта так. чтобы ГРЗ оказался в верхней четверти зоны распознавания; при перемещении ТС дальномер должен остаться неподвижным;
-
- в диалоге -Живое видео» wcb-интерфейса комплекса нажать кнопку «Стоп измерений», считать измеренное значение расстояния (рисунок 7), записать его в таблицу 5 в графу 3;
-
- с помощью лазерного дальномера произвести измерение расстояния, на которое переместился ГРЗ, результат записать в таблицу 5 в графу 2. Расстояние нужно измерять, прицеливаясь в ту же точку ГРЗ. в которую была уперта передняя поверхность дальномера.
-
7.5.1.2 Повторить измерения по пункту 7.5. ГI три раза.
Таблица 5
|
1 кромешен не ГРЗ в зоне контроля | ||||
|
№ Измер. |
Расстояние, измеренное дальномером гад,мм |
Расстояние, рассчитанное комплексом (Лк], мм |
Абсолютная погрешность измерения (А), мм |
Относительная погрешность измерения [ $i. ],% |
|
/ |
2 |
4 |
5 | |
|
1 | ||||
|
2 | ||||
|
3 | ||||
Из результатов измерений относительной погрешности выбрать максимальное значение.
Жи»ов пндео
•-**< ’.тт* »«sca ггаДе,—— • и TJ
П*1 ±АП-И»
Нммцмтм йипииции «ян ««мцшлм
с»жх нмммо** С «т**1

Имярмша рлмтпимяа И
Itaa^MNiU
Тм Пят» Икмрахъм ГРЗ
|
"W |
■|>ММ |
ДИ**» UtJMKa «Mt | |
|
сг |
ЛЛГСЧ ’01X0 |
IftOUirr | |
|
С |
ttMXUI |
UQStftl | |
|
С2 |
2*лв»1й «V» |
ItM | |
|
Of |
ai.pww |
nfiTOwM | |
|
И |
Г 0»ЛЧ jc-^oar |
Ж22.2 | |
|
о |
«atjow |
ым:* |
./■.ГСтЛИ |
|
С.’ |
Л w.znv. | ||
|
сг |
2tMira. |
11С31Ы |
■У5’Чс<* |
Рисунок 7 - Окно измерения расстояния с помощью комплекса
-
7.5.1.3 Абсолютную погрешность измерения расстояния Д определить ио формуле (7.5.2):
А = Lk - Lp ,
(7.5.2)
где 1.к - расстояние, измеренное комплексом, мм: Lp - расстояние, измеренное дальномером, мм.
-
7.5.1.4 Относительную погрешность измерения расстояния 6Г определить по формуле (7.5.3):
<5, = —-100 %
(7.5.3)
Z/J
Где Д - абсолютная погрешность измерения расстояния, мм
Lp - расстояние измеренное дальномером, мм
-
7.5.1.5 Определение относительной погрешности измерения времени (погрешности времени следования кадровых синхроимпульсов).
-
7.5.1.5.1 Собрать схему в соответствии с рисунком 8.
Рисунок 8 - Схема для определения погрешности следования кадровых синхроимпульсов
Вход частотомера подключается к выходу «Синхро» панели инженера вычислительного модуля комплекса или инженерного разъема моноблока.
-
7.5.1.5.2 Подготовить частотомер к проведению измерений в соответствии с руководством по эксплуатации.
-
7.5.1.5.3 Установить частотомер в режим измерения периода следования импульсов (кнопка ослабления чувствительности входного сигнала «ЛТГ 1/1. 1/10» в положении 1/10. кнопка управления фильтром нижних частот «LPF ON/OFF» в положении ON. переключатель режимов «FREQ/PRID» в положении PRID, кнопка выбора времени счета «Gale Time» в положении 1 сек.).
-
7.5.1.5.4 В соответствии с руководством по эксплуатации частотомера, произвести три измерения периода следования кадровых синхроимпульсов.
Для каждого измерения рассчитать абсолютную А Г и относительную 8Т погрешности периода следования кадровых синхроимпульсов по формулам (7.5.4) и (7.5.5) соответственно:
(7.5.4)
где /де^лн- установленный период следования кадровых синхроимпульсов; Tuw - измеренный период следования кадровых синхроимпульсов;
•100%
(7.5.5)
Результаты внести в таблицу 6.
Таблица 6
|
Период следования кадровых синхроимпульсов | ||||
|
Иомер нзмер. |
Установленный период следования [Tmcw], мс |
Измеренный период следования |ТМШ]. мс |
Абсолютная погрешность измерения [ATJ, мс |
Относительная погрешность измерения ? ). % |
|
1 | ||||
|
2 | ||||
|
3 | ||||
Из результатов измерений относительной погрешности выбрать максимальное значение.
-
7.5.1.6 Рассчитать относительную погрешность измерения скорости по формуле (7.5.1).
-
7.5.1.7 Рассчитать абсолютную погрешность измерения скорости ТС ДИ для скоростей 1. 20. 70, 100 км/ч по формуле (7.5.6).
ДИ = <5-И/100% . (7.5.6)
где д - относительная погрешность измерения скорости;
К- значение скорости из ряда I. 20. 70. 100 км/ч.
-
7.5.1.8 Результаты поверки считать положительными, если значение относительной погрешности измерения скорости ТС находится в пределах ±1%, значение абсолютной погрешности измерения скорости ТС для ряда скоростей 1,20,70. 100 (включительно) находится в пределах ±1 км/ч.
7 3.2 Определение погрешности измерений скорости ТС в зоне контроля по видеокадрам, вариант 2
-
7.5.2.1 Подключить эталонный навигационный приемник к ПК с установленным ПО для записи данных в файл с этого приемника, и разместить их в ТС.
-
7.5.2.2 Установить частоту выдачи данных эталонным навигационным приемником (темп решения) 10 Гн. Начать запись донных с эталонного навигационного приемника.
-
7.5.2.3 Проехать на ТС зону контроля не менее 5 раз с разными скоростями, при этом две скорости должны быть минимально и максимально возможными на данном участке.
Примечание - Рекомендуется выбирать минимально и максимально возможные скорости движения ТС основываясь, в первую очередь, на обеспечении безопасности участников движения во время поверки.
-
7.5.2.4 Остановить запись данных с эталонного навигационного приемника.
-
7.5.2.5 По данным с комплекса определить время фиксации ГС в зоне контроля для всех проездов.
-
7.5.2.6 Выбрать из записанных данных с эталонного навигационного приемника данные, соответствующие моментам времени, зафиксированных комплексом, для всех проездов.
-
7.5.2.7 Для скоростей в диапазоне от 0 до 100 км/ч включительно для каждого из комплексов рассчитать значение абсолютной погрешности ДИ( измерении скорости ТС в зоне контроля по формуле (7.5.7):
, (7.5.7)
где Кг- значение скорости в зоне контроля, измеренное комплексом для i-ro проезда, выраженное в км/ч.
Fw - значение скорости измеренное эталонным навигационным приемником для i-ro проезда.
-
7.5.2.8 Для скоростей в диапазоне свыше 100 до 350 км/ч рассчитать относительную погрешность 6vi измерений скорости для каждого проезда по формуле (7.5.8):
dw = 100% • (Г, - Кя)/1^ . (7.5.8)
-
7.5.2.9 Результаты поверки считать положительными, если значения абсолютной погрешности измерений скорости ТС в зоне контроля для скоростей до 100 км/ч (включительно) находятся в пределах ±1 км/ч. значения относительной погрешности измерений скорости ТС для скоростей евшие 100 км/ч до 350 км/ч находятся в пределах ± 1 %.
-
7.6 Определение абсолютной погрешности измерений скорости движении ТС в зоне кон г родя радиолокационным методом (исполнение 03)
Определение погрешности измерений скорости в зоне контроля проводить путем сравнения значения скорости, измеренной комплексом и значения скорости, заданного имитатором.
-
7.6.1 Разместить в зоне видимости видеокамеры комплекса на расстоянии от 0,5 до 30 м имитатор скорости.
-
7.6.2 Установить имитируемою скорость из ряда 20. 70, 90, 120. 150. 180. 250, 300 км/ч.
-
7.6.3 В web-иитерфейсе комплекса (рисунок 9) перейти на страницу «Метрология».

КИП! ’AMuyt г * —


Рисунок 9 - Web-ннтсрфеЙс комплекса
-
7.6.4 Нажать кнопку «I !оверка».
-
7.6.5 В открывшемся окне (рисунок 10) выбрать вкладку «Поверка радара».
Поверка камеры Поверка радара
Частота кадров отображения:
25.0 к/с
Режим поверки
Вкл Выкл. Скорость нп имитвгоро: 20 Установить
Последнее измерение
Дата, время -
СКОРОСТЬ. КМ/ч -
Измерить
|
Скорость нп |
Измеренная |
Абс. | ||
|
Дат». |
имитаторе. |
скорость. |
погр. км/ |
Оги. |
|
время |
км/ч |
км/ч |
ч |
погр., % |
Рисунок 10 - Поверка радара
-
7.6.6 Включить режим поверки нажав кнопку «Вкл.».
-
7.6.7 Для отсечения посторонних целей и шумов указать скорость, установленную на имитаторе.
-
7.6.8 Зафиксировать измеренное комплексом значение скорости.
-
7.6.9 Провести измерение значении скорости для всего ряда имитируемых скоростей 20.70, 90, 120, 150, 180.250. 300 км/ч.
-
7.6.10 Для скоростей в диапазоне от 0 до 200 км/ч (включительно) рассчитать значение абсолютной погрешности АГ измерений скорости ТС в зоне контроля по формуле (7.6.1):

(7.6.1)
где Г<-скорость ТС, измеренная комплексами при имитируемой скорости 1'эг,
Vjt - имитируемая скорость ТС из ряда 20. 70. 90. 120, 150. 180 км/ч.
-
7.6.11 Для скоростей в диапазоне свыше 200 до 300 км/ч значение абсолютной погрешности измерений скорости ТС в зоне контроля по формуле (7.6.2):
, (7.6.2)
где Fi-скорость ГС. измеренная комплексами при имитируемой скорости Г’ъ:
- имитируемая скорость ТС из ряда 250, 300 км/ч.
-
7.6.12 Результаты поверки считать положительными, если значения абсолютной погрешности измерений скорости ТС в зоне контроля для скоростей до 200 км/ч (включительно) находятся в пределах ±1 км/ч, для скоростей свыше 200 км/ч до 300 км/ч -находятся в пределах ±2 км/ч
-
7.7 Определение погрешности измерений скорости движении ТС ня контролируемом участке
-
7.7.1 Определение погрешности измерений скорости на контролируемом участке проводить путем сравнения значения скорости, измеренной комплексами и значения скорости с эталонного навигационного приемника.
7 7.2. Подключить эталонный навигационный приемник к НК с установленным ПО для записи данных в файл с этого приемника и разместить их в ГС.
-
7.7.3. Установить частоту выдачи данных эталонным навигационным приемником (темп решения) 10 Гц. Начать запись данных с эталонного навигационного приемника.
-
7.7.4. Проехать на ТС контролируемый участок нс менее 3 раз с разными скоростями, при этом две скорости должны быть минимально и максимально возможными на данном участке.
Примечание - Рекомендуется выбирать минимально и максимально возможные скорости движения ТС основываясь, в первую очередь, на обеспечении безопасности участников движения на контролируемом участке во время поверки.
-
7.7.5. Остановить запись данных с эталонного навигационного приемника.
-
7.7.6. По данным с комплексов определить время фиксации ТС на въезде и выезде с контролируемою участка для всех проездов.
-
7.7.7. Выбрать из записанных данных с эталонного навигационного приемника данные, соответствующие интервалам времени нахождения ТС на контролируемом участке для всех проездов.
-
7.7.8. Определить скорость движения ТС на контролируемом участке по данным с эталонного навигационного приемника по формуле (7.7.1):
г = _^____
N . (7.7.1)
17
где ‘ - значение скорости на контролируемом участке по данным с эталонного навигационного приемника для i-ro проезда, выраженное в км/ч;
- Значения мгновенной скорости по данным с эталонного навигационного приемника для i-ro проезда. выраженные в км/ч;
.V - количество значении mi новенной скорости по данным с эталонного навигационного приемника для i-ro проезда.
-
7.7 9. Для скоростей в диапазоне от 0 до 100 км/ч (включительно) рассчитать значение абсолютной погрешности А Г измерений скорости ТС на контролируемом участке по формуле (7.7.2):
Д|/ =К-ИЭ, (772)
г/
где '*• - значение скорости на контролируемом участке по данным с эталонного навигационного приемника для i-ro проезда, вырижсннос в км/ч;
Г
- значение скорости на контролируемом участке, измеренное комплексами для i-ro проезда, выраженное в км/ч.
-
7.7.10 Для скоростей в диапазоне свыше 100 до 350 км/ч рассчитать относительную погрешность измерений скорости для каждого проезда по формуле (7.7.3):
^«l0O%(Pi-Kwy^ , (7.7.3)
-
7.7.11 Результаты поверки считать положительными, если значения абсолютной погрешности измерений скорости ТС для скоростей до 100 км/ч (включительно) находятся в пределах ±1 км/ч. значения относительной погрешности измерений скорости ТС для скоростей свыше 100 км/ч до 350 км/ч находятся в пределах ±1 %.
-
7.8 Определение абсолютной погрешности (при доверительной всронгносги 0,95 и геометрическом факторе POOP <3) определении координат в плане
-
7.8.1 С помощью геодезического приемника определить значения широты и ДОЛГОТЫ (£ и В) расположения комплексов.
-
7.8.2 С помощью диалога «Jlor GPS» страницы «GPS» web-интерфейса комплекса (рисунок 11) записать не менее 100 измерений GPS координат.
<Гкхм(Юмг». д»«нм* ОоКППЪ ГМХ
U*vc*»anrrwrurv*» 58006444 5ang»a»ifTW»»iin 66 22&S17
fWt<спр4даг«-на ыктснел;.г-.-. u 160
Km»«cc*«o *a«w** JW
|
Дят*. яреме (UTC) |
Шафога (Ы) |
Долго»a OwU |
POOP |
|
J0 10 20» or sait |
4 |
«22017 |
1 3 |
|
10 tO3019ОТ» 12 |
56006U4 |
«228817 |
О |
|
30*03019 0750!) |
58 006444 |
И 226517 |
1.1 |
|
Ж10 201» 07 5014 |
58006444 |
56226517 |
is |
|
30 10 201» 07.5024 |
5MOi'4U |
«22017 |
и |
|
30 10201007 5025 |
5*006444 |
5*22017 |
1Л |
|
Ж 10 *>1007 50» |
«006444 |
№226517 |
и |
|
Ж10201007502? |
5*006444 |
И726617 |
1.3 |
|
В 102019075070 |
50 006444 |
5622017 |
13 |
|
30 10 20» 07 50 29 |
56 006444 |
«22851Г |
14 |
3*«мгк
Рисунок 11 - Диалог «Лог GPS»
-
7.8.3 Определить систематическую составляющую погрешности определения координат для строк, в которых значение PDOP < 3. например, для координаты В (широта) по формулам (7.8.1) и (7.8.2):
-
(7.8.1)
-
(7.8.2)
где ВлсйсгаО) - действительное значение координаты В в j-ый момент времени, секунды; B(j)- измеренное значение координаты В в j-й момент времени, секунды;
N - количество измерений.
Аналогичным образом определить систематическую составляющую погрешности определения координаты I. (долгота).
-
7.8.4 Определить среднее квадратическое отклонение (СКО) случайной составляющей погрешности определения координат, например, для координаты В (широка) по формуле (7.8.3):
= -------- - (7.8.3)
Аналогичным образом определить СКО случайной составляющей погрешности определения координаты L (долгота).
-
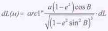
7.8.5 Перевести значения погрешностей определения координат в плане (широты и долготы) из угловых секунд в метры по формулам (7.8.4) и (7.8.5):
- для широты:
а(1-е2)
ав(м)=лги • -7=^=—=!= • ав J(l-e:sin: В У
(7.8.4)
- для долготы:

(7.8.5)
где a - большая полуось эллипсоида (ПЗ-90.11: а = 6378136 м);
е - первый эксцентрисзггет эллипсоида (Т13-90.11: е: = 6.6943662 • Ю’3);
1" =0.000004848136811095359933 радиан (аге Г).
-
7.8.6 Определить абсолютную погрешность (при доверительной вероятности 0,95) определения координат в плане по формуле (7.8.6):
П = ± (VdS2 + dt2 + 2Vae2 + aL2) , (7.8.6)
-
7.8.7 Результаты поверки считать положительными, если значения абсолютной погрешности (при доверительной вероятности 0,95 и геометрическом факторе PDOP < 3) определения координат в плане находятся в пределах ±3 м.
«.ОФОРМЛЕНИЕ РЕЗУЛЬТАТОВ ПОВЕРКИ
-
8.1 На комплекс, прошедший поверку с положительными результатами, выдается свидетельство о поверке по форме, установленной приказом Минпромторга России № 1815 от 02.07.2015 с протоколом, по форме, изложенной в приложении Л.
-
8.2 Для комплексов с измерением скорости на контролируемом участке на оборотной стороне свидетельства о поверке указываются заводские номера поверяемых комплексов, адреса мест установки, а также контролируемое направление движения между зонами контроля.
В остальных случаях на оборотной стороне свидетельства о поверке указывается заводской номер поверяемого комплекса, а также адрес места установки.
-
8.3 При отрицательных результатах поверки комплекс к применению не допускается, свидетельство о поверке аннулируется и на него выдастся извещение о непригодности к применению в соответствии с приказом Минпромторга России № 1815 от 02.07.2015.

В.И. Добровольский
Начальник НИО-6 ФГУП ВНИИФТРИ
Комплексы измерительные программно-техничоские «Азимут 4» ТБДД. 466534.030 МП Методика поверки Приложение Л
ПРОТОКОЛ
Метрологической поверки КИПТ ’’Азимут 4”
установленного_____________________________________________________
от_______________________
-
1. Общие данные.
-
1.1. Наименование вила изделия: Комплекс измерительный программно-технический
-
«Азимут 4 -____________»
-
1.2. Серийный номер №__________дата выпуска____________________________
установлен в районе адреса__
-
1.3. Изготовитель: ООО 1 etttonoi ни бвзопасадоти дорожногодвижения-. I Пермь
-
2. Определение абсолютной погрешности синхронизации внутренней шкалы времени комплекса к шкале времени l’TC(SU)
Абсолютная погрешность синхронизации внутренней шкалы времени Комплекса к шкале времени UTC(SU)_______мс
-
3. Определение погрешности измерений скоросги в зоне кош роля по видеокадрам
-
3.1. Вариант 1
-
3.1.1. Определение относительной погрешности измерений расстояния в зоне контроля
-
-
Канал №___
|
Расстояние в зоне контроля | ||||
|
Номер измер. |
Длина, измеренная (£/>].мм |
Длина, рассчитанная измерительным комплексом (£к]. мм |
Абсолютная погрешность измерения (А], мм |
Относительная погрешность измерения |
|
1 | ||||
|
2 | ||||
|
3 | ||||
Максимальная относительная погрешность измерения расстояния в зоне контроля канала №. <** z -______%
Повторит!» по каждому измерит ильному каналу.
-
3.1.2. Определение.* относительной iioipeniiiociii измерения времени (погрешности времени следования кадровых синхроимпульсов).
Результаты расчетов приведены в таблице:
|
Период следования кадровых синхроимпульсов | ||||
|
№ Измер. |
Действительный период следования [Галям], мс |
Измеренный период следования (Тиш), мс |
Абсолютная погрешность измерения 1 АТ], мс |
Относительная погрешность измерения ].% |
|
1 | ||||
|
2 | ||||
|
3 | ||||
Относительная погрешность измерения времени д г =____%
-
3.1.3. Определение относительной погрешности измерении скорости.
Относительную погрешность измерения скорости рассчитывали по формуле:


где • - относительная погрешность измерения расстояния:
- относительная погрешность измерения времени.
Максимальная относительная погрешность измерения скорости в зоне контроля Комплекса по видеокадрам 6 =_______%
Повторить по каждому измерительном) каналу.
-
3.1.4. Определение абсолютной noi решности измерений скорости.
Абсолютную погрешность измерений скорости для скоростей 1, 20. 70. 100 км/ч рассчитывается по формуле:
ДИ = 5-И/100% где J - относительная погрешность измерения скорости;
Р’-скорость из ряда 1. 20. 70.100 км/ч. Результаты расчетов приведены в таблице:
|
Скорость действительная, км/ч |
о. % |
AV. км/ч |
|
1 | ||
|
20 | ||
|
70 | ||
|
100 |
Максимальная абсолютная погрешность измерения скорости в зоне контроля Комплекса по видеокадрам ДУ =________км/ч
Повтори п> по каждому измерительному каналу.
-
3.2. Вариант 2
3.2.1. Определение абсолютной iioi рсшиости измерений скорости.
Абсолютную погрешность измерения скорости рассчитывали по формуле:
ДГ, = I' - уЛ
где Иг- значение скорости в зоне контроля, измеренное комплексом для i-ro проезда, выраженное в км/ч.
значение скорости измеренное навигационным приемником для i-ro проезда
Относительную погрешность измерений скорости рассчитывали по формуле:
8vie 100%ф(Уг-Уя)/У>г
Результаты расчетов приведены в таблице:
|
Скорость действительная, км/ч |
V» |
б,% |
ДУ, км/ч |
Максимальная абсолютная погрешность измерения скорости в зоне контроля Комплекса по видеокадрам AV =__км/ч
Максимальная относительная погрешность измерения скорости в зоне контроля Комплекса по видеокадрам 0 -_______%
Повторить по каждому измерительному каналу.
-
4. Определение абсолютной погрешности измерений скорости ТС в зоне контроля радиолокационным методом.
Максимальная абсолютная погрешность измерения скорости в зоне контроля Комплекса радиолокационным методом_____км/ч
-
5. Определение погрешности измерений скорости движения транспортных средств на кон гролируемом участке
Среднюю скорость движения ТС на контролируемом участке по данным с эталонного навигационного приемника рассчитывали по формуле:
-
, (7.7.1)
У
где л - значение скорости на контролируемом участке дороги по данным с эталонного навигационного приемника для i-ro проезда, выраженное в км/ч;
_ значение мгновенной скорости но данным с эталонного навигационного приемники для i-ro проезда, выраженное в км/ч.
.V - количество значений мгновенной скорости по данным с эталонного навигационного приемника для i-ro проезда.
Абсолютную погрешность измерения скорости рассчитывали по формуле:
где 1'г- значение скорости в зоне контроля, измеренное комплексами для i-ro проезда, выраженное в км/ч.
IS- значение скорости измеренное навигационным приёмником для i-ro проезда
Относительную погрешность измерений скорости рассчи тывали по формуле: Sv, = 100% (V, - V,()/V„
Результаты расчетов приведены в таблице:
|
Скорость действительная, км/ч |
Vi. км/ч |
«.% |
AV, км/ч |
Максимальная абсолютная погрешность измерения скорости на контролируемом участке
AV -______КМ ч
Максимальная относительная погрешность измерения скорости на контролируемом участке <5 =________%
-
6. Определение погрешности (при доверительной вероятности 0.95 и геометрическом факторе PDOP<3) определения координат в плане
Максимальная погрешность определения координат в плане Комплекса_________м
22
